Номер 4.153, страница 295 - гдз по алгебре 7 класс учебник Арефьева, Пирютко

Алгебра, 7 класс Учебник, авторы: Арефьева Ирина Глебовна, Пирютко Ольга Николаевна, издательство Народная асвета, Минск, 2022, зелёного цвета

Авторы: Арефьева И. Г., Пирютко О. Н.

Тип: Учебник

Издательство: Народная асвета

Год издания: 2022 - 2026

Цвет обложки: зелёный с графиком

ISBN: ISBN 978-985-03-3770-2

Допущено Министерством образования Республики Беларусь

Популярные ГДЗ в 7 классе

Глава 4. Системы двух линейных уравнений с двумя переменными. Параграф 25. Решение текстовых задач с помощью системы линейных уравнений - номер 4.153, страница 295.

№4.153 (с. 295)
Условие. №4.153 (с. 295)
скриншот условия
Алгебра, 7 класс Учебник, авторы: Арефьева Ирина Глебовна, Пирютко Ольга Николаевна, издательство Народная асвета, Минск, 2022, зелёного цвета, страница 295, номер 4.153, Условие

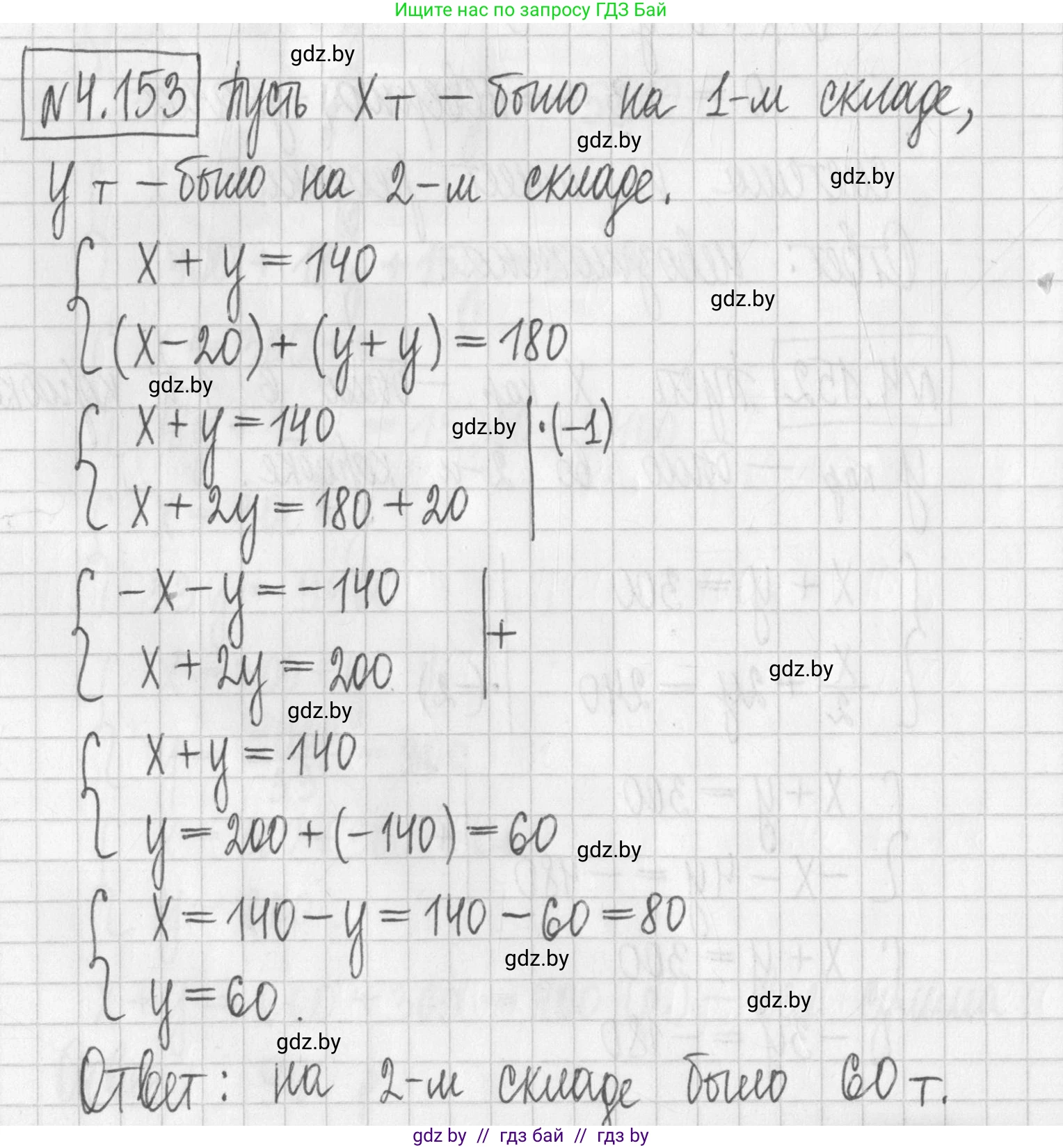
4.153. На двух складах вместе 140 т картофеля. После того как с первого склада вывезли 20 т, а на второй привезли еще столько, сколько на нем было, на обоих складах стало 180 т картофеля. Найдите, сколько тонн картофеля было на втором складе.

Решение. №4.153 (с. 295)
Алгебра, 7 класс Учебник, авторы: Арефьева Ирина Глебовна, Пирютко Ольга Николаевна, издательство Народная асвета, Минск, 2022, зелёного цвета, страница 295, номер 4.153, Решение
Решение 2. №4.153 (с. 295)

Для решения задачи можно использовать логический подход или составить систему уравнений. Рассмотрим логическое решение, так как оно более прямолинейно.

Шаг 1: Находим общее изменение количества картофеля.

Изначально на двух складах вместе было 140 тонн картофеля. После всех операций на них стало 180 тонн. Найдем, на сколько изменилось общее количество картофеля на обоих складах:

$180\text{ т} - 140\text{ т} = 40\text{ т}$

Следовательно, общее количество картофеля увеличилось на 40 тонн.

Шаг 2: Анализируем, из чего сложилось это изменение.

Общее количество картофеля изменилось в результате двух действий:

  • С первого склада вывезли 20 тонн. Это действие уменьшило общее количество на 20 тонн.
  • На второй склад привезли столько, сколько на нем было. Если обозначить первоначальное количество картофеля на втором складе за $y$, то это действие увеличило общее количество на $y$ тонн.

Шаг 3: Составляем и решаем уравнение.

Суммарное изменение общего количества картофеля равно $(-20 + y)$ тонн. Из Шага 1 мы знаем, что это изменение составляет 40 тонн. Составим уравнение:

$y - 20 = 40$

Решим уравнение, чтобы найти $y$:

$y = 40 + 20$

$y = 60$

Проверка:

Если на втором складе изначально было 60 т, то на первом было $140 - 60 = 80$ т.

После изменений:

  • На первом складе стало: $80 - 20 = 60$ т.
  • На втором складе стало (количество удвоилось): $60 + 60 = 120$ т.

Общее количество на обоих складах после изменений: $60 + 120 = 180$ т. Все условия задачи выполнены.

Ответ: 60

Помогло решение? Оставьте отзыв в комментариях ниже.

Присоединяйтесь к Телеграм-группе @gdz_by_belarus

Присоединиться

Мы подготовили для вас ответ c подробным объяснением домашего задания по алгебре за 7 класс, для упражнения номер 4.153 расположенного на странице 295 к учебнику 2022 года издания для учащихся школ и гимназий.

Теперь на нашем сайте ГДЗ.ТОП вы всегда легко и бесплатно найдёте условие с правильным ответом на вопрос «Как решить ДЗ» и «Как сделать» задание по алгебре к упражнению №4.153 (с. 295), авторов: Арефьева (Ирина Глебовна), Пирютко (Ольга Николаевна), учебного пособия издательства Народная асвета.