Номер 4.39, страница 266 - гдз по алгебре 7 класс учебник Арефьева, Пирютко

Алгебра, 7 класс Учебник, авторы: Арефьева Ирина Глебовна, Пирютко Ольга Николаевна, издательство Народная асвета, Минск, 2022, зелёного цвета

Авторы: Арефьева И. Г., Пирютко О. Н.

Тип: Учебник

Издательство: Народная асвета

Год издания: 2022 - 2026

Цвет обложки: зелёный с графиком

ISBN: ISBN 978-985-03-3770-2

Допущено Министерством образования Республики Беларусь

Популярные ГДЗ в 7 классе

Глава 4. Системы двух линейных уравнений с двумя переменными. Параграф 22. График линейного уравнения ax + by = c с двумя переменными - номер 4.39, страница 266.

№4.39 (с. 266)
Условие. №4.39 (с. 266)
скриншот условия
Алгебра, 7 класс Учебник, авторы: Арефьева Ирина Глебовна, Пирютко Ольга Николаевна, издательство Народная асвета, Минск, 2022, зелёного цвета, страница 266, номер 4.39, Условие

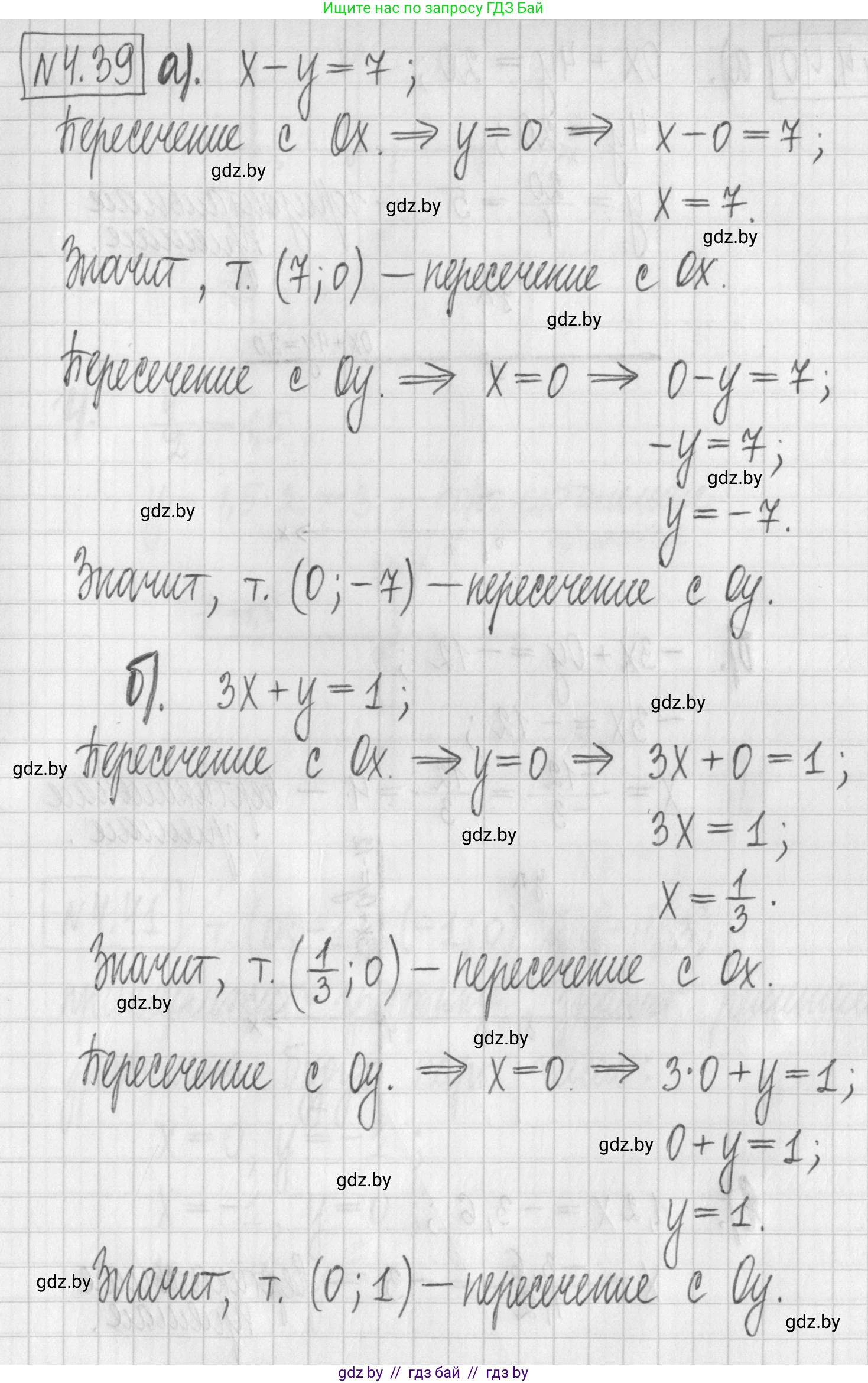
4.39. Найдите координаты точек пересечения прямой с осями координат:

а) $x - y = 7$;

б) $3x + y = 1$.

Решение. №4.39 (с. 266)
Алгебра, 7 класс Учебник, авторы: Арефьева Ирина Глебовна, Пирютко Ольга Николаевна, издательство Народная асвета, Минск, 2022, зелёного цвета, страница 266, номер 4.39, Решение
Решение 2. №4.39 (с. 266)

Найдите координаты точек пересечения прямой с осями координат:

Для нахождения координат точек пересечения прямой с осями координат, нужно поочередно подставить в уравнение прямой значение $x=0$ (для нахождения пересечения с осью ординат Oy) и $y=0$ (для нахождения пересечения с осью абсцисс Ox).

а) $x - y = 7$

1. Пересечение с осью Ox (осью абсцисс):
В этом случае $y=0$. Подставляем в уравнение: $x - 0 = 7$
$x = 7$
Координаты точки пересечения с осью Ox: $(7, 0)$.

2. Пересечение с осью Oy (осью ординат):
В этом случае $x=0$. Подставляем в уравнение: $0 - y = 7$
$-y = 7$
$y = -7$
Координаты точки пересечения с осью Oy: $(0, -7)$.

Ответ: $(7, 0)$ и $(0, -7)$.


б) $3x + y = 1$

1. Пересечение с осью Ox (осью абсцисс):
В этом случае $y=0$. Подставляем в уравнение: $3x + 0 = 1$
$3x = 1$
$x = \frac{1}{3}$
Координаты точки пересечения с осью Ox: $(\frac{1}{3}, 0)$.

2. Пересечение с осью Oy (осью ординат):
В этом случае $x=0$. Подставляем в уравнение: $3 \cdot 0 + y = 1$
$0 + y = 1$
$y = 1$
Координаты точки пересечения с осью Oy: $(0, 1)$.

Ответ: $(\frac{1}{3}, 0)$ и $(0, 1)$.

Помогло решение? Оставьте отзыв в комментариях ниже.

Присоединяйтесь к Телеграм-группе @gdz_by_belarus

Присоединиться

Мы подготовили для вас ответ c подробным объяснением домашего задания по алгебре за 7 класс, для упражнения номер 4.39 расположенного на странице 266 к учебнику 2022 года издания для учащихся школ и гимназий.

Теперь на нашем сайте ГДЗ.ТОП вы всегда легко и бесплатно найдёте условие с правильным ответом на вопрос «Как решить ДЗ» и «Как сделать» задание по алгебре к упражнению №4.39 (с. 266), авторов: Арефьева (Ирина Глебовна), Пирютко (Ольга Николаевна), учебного пособия издательства Народная асвета.