Номер 4.111, страница 286 - гдз по алгебре 7 класс учебник Арефьева, Пирютко

Алгебра, 7 класс Учебник, авторы: Арефьева Ирина Глебовна, Пирютко Ольга Николаевна, издательство Народная асвета, Минск, 2022, зелёного цвета

Авторы: Арефьева И. Г., Пирютко О. Н.

Тип: Учебник

Издательство: Народная асвета

Год издания: 2022 - 2026

Цвет обложки: зелёный с графиком

ISBN: ISBN 978-985-03-3770-2

Допущено Министерством образования Республики Беларусь

Популярные ГДЗ в 7 классе

Глава 4. Системы двух линейных уравнений с двумя переменными. Параграф 24. Способы решения системы линейных уравнений с двумя переменными - номер 4.111, страница 286.

№4.111 (с. 286)
Условие. №4.111 (с. 286)
скриншот условия
Алгебра, 7 класс Учебник, авторы: Арефьева Ирина Глебовна, Пирютко Ольга Николаевна, издательство Народная асвета, Минск, 2022, зелёного цвета, страница 286, номер 4.111, Условие

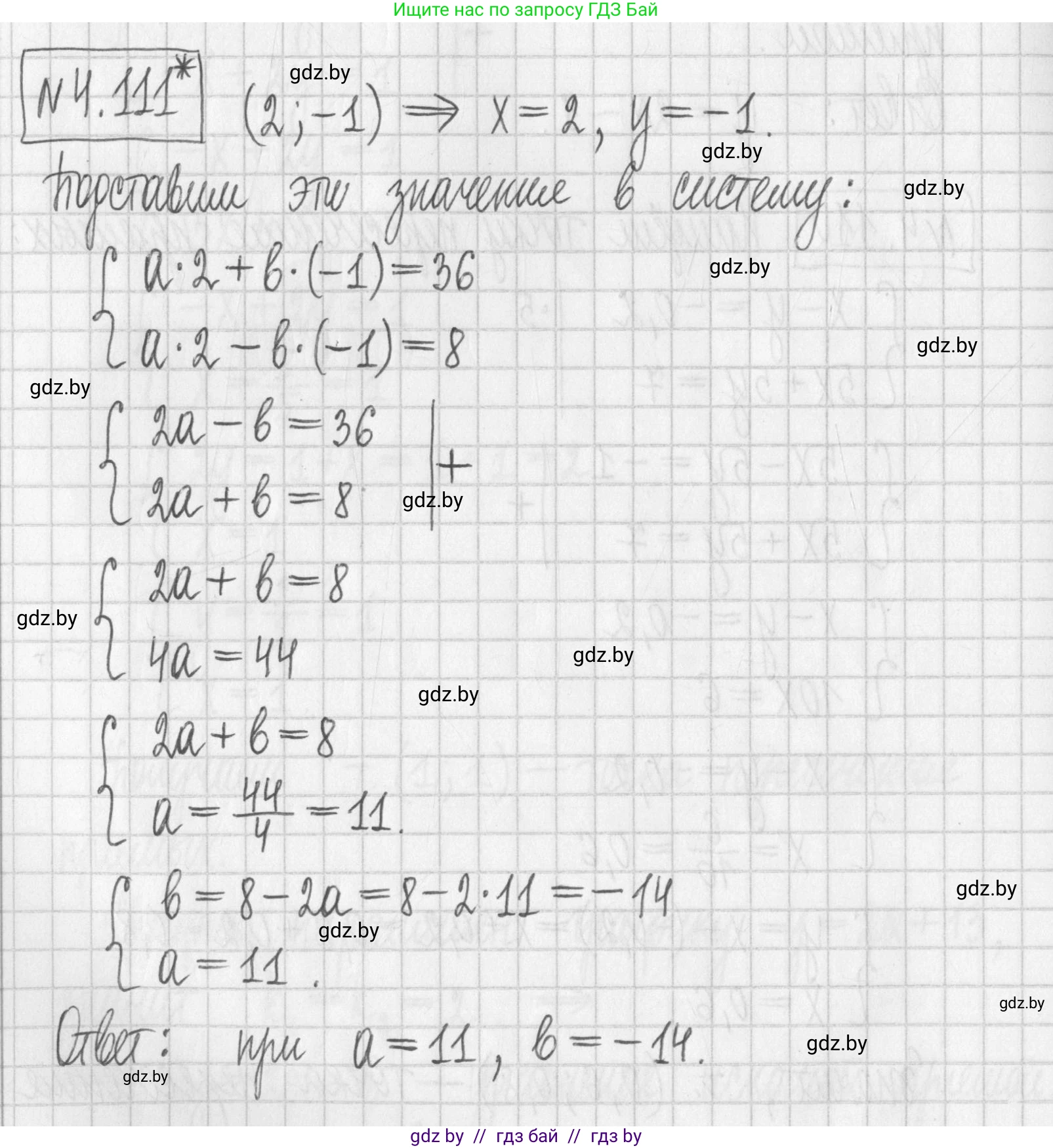
4.111*. Найдите, при каких значениях $a$ и $b$ пара чисел $(2; -1)$ является решением системы уравнений

$\begin{cases} ax + by = 36, \\ ax - by = 8. \end{cases}$

Решение. №4.111 (с. 286)
Алгебра, 7 класс Учебник, авторы: Арефьева Ирина Глебовна, Пирютко Ольга Николаевна, издательство Народная асвета, Минск, 2022, зелёного цвета, страница 286, номер 4.111, Решение
Решение 2. №4.111 (с. 286)

По условию задачи, нам нужно найти значения параметров $a$ и $b$, при которых пара чисел $(2; -1)$ является решением системы уравнений:

$$ \begin{cases} ax + by = 36 \\ ax - by = 8 \end{cases} $$

Если пара чисел $(2; -1)$ является решением, это означает, что при подстановке в уравнения системы значений $x=2$ и $y=-1$, мы получим верные числовые равенства.

Выполним подстановку $x=2$ и $y=-1$ в оба уравнения:

$$ \begin{cases} a \cdot (2) + b \cdot (-1) = 36 \\ a \cdot (2) - b \cdot (-1) = 8 \end{cases} $$

После упрощения мы получим новую систему линейных уравнений, но уже с неизвестными $a$ и $b$:

$$ \begin{cases} 2a - b = 36 \quad (1) \\ 2a + b = 8 \quad (2) \end{cases} $$

Теперь нам нужно решить эту систему. Для этого можно использовать метод сложения, так как коэффициенты при переменной $b$ являются противоположными числами ($-1$ и $1$).

Значение a
Сложим левые и правые части уравнений (1) и (2): $$ (2a - b) + (2a + b) = 36 + 8 $$ $$ 4a = 44 $$ Разделим обе части уравнения на 4, чтобы найти $a$: $$ a = \frac{44}{4} $$ $$ a = 11 $$ Ответ: 11

Значение b
Теперь, зная значение $a$, подставим его в любое из уравнений системы. Например, подставим $a=11$ в уравнение (2): $$ 2a + b = 8 $$ $$ 2(11) + b = 8 $$ $$ 22 + b = 8 $$ Выразим $b$: $$ b = 8 - 22 $$ $$ b = -14 $$ Ответ: -14

Помогло решение? Оставьте отзыв в комментариях ниже.

Присоединяйтесь к Телеграм-группе @gdz_by_belarus

Присоединиться

Мы подготовили для вас ответ c подробным объяснением домашего задания по алгебре за 7 класс, для упражнения номер 4.111 расположенного на странице 286 к учебнику 2022 года издания для учащихся школ и гимназий.

Теперь на нашем сайте ГДЗ.ТОП вы всегда легко и бесплатно найдёте условие с правильным ответом на вопрос «Как решить ДЗ» и «Как сделать» задание по алгебре к упражнению №4.111 (с. 286), авторов: Арефьева (Ирина Глебовна), Пирютко (Ольга Николаевна), учебного пособия издательства Народная асвета.