Номер 3.370, страница 247 - гдз по алгебре 7 класс учебник Арефьева, Пирютко
Авторы: Арефьева И. Г., Пирютко О. Н.
Тип: Учебник
Издательство: Народная асвета
Год издания: 2022 - 2026
Цвет обложки: зелёный с графиком
ISBN: ISBN 978-985-03-3770-2
Допущено Министерством образования Республики Беларусь
Популярные ГДЗ в 7 классе
Глава 3. Линейные уравнения. Линейные неравенства. Линейная функция. Параграф 20. Линейная функция и ее свойства - номер 3.370, страница 247.
№3.370 (с. 247)
Условие. №3.370 (с. 247)
скриншот условия
3.370. Какая из прямых $y = 2x + 4$; $y = -\frac{x}{4}$; $y = 4x - 2$ проходит через точку $A(0; 4)$? Постройте эту прямую. Пользуясь графиком, найдите, при каких значениях аргумента соответствующая функция принимает положительные значения.
Решение. №3.370 (с. 247)
Решение 2. №3.370 (с. 247)
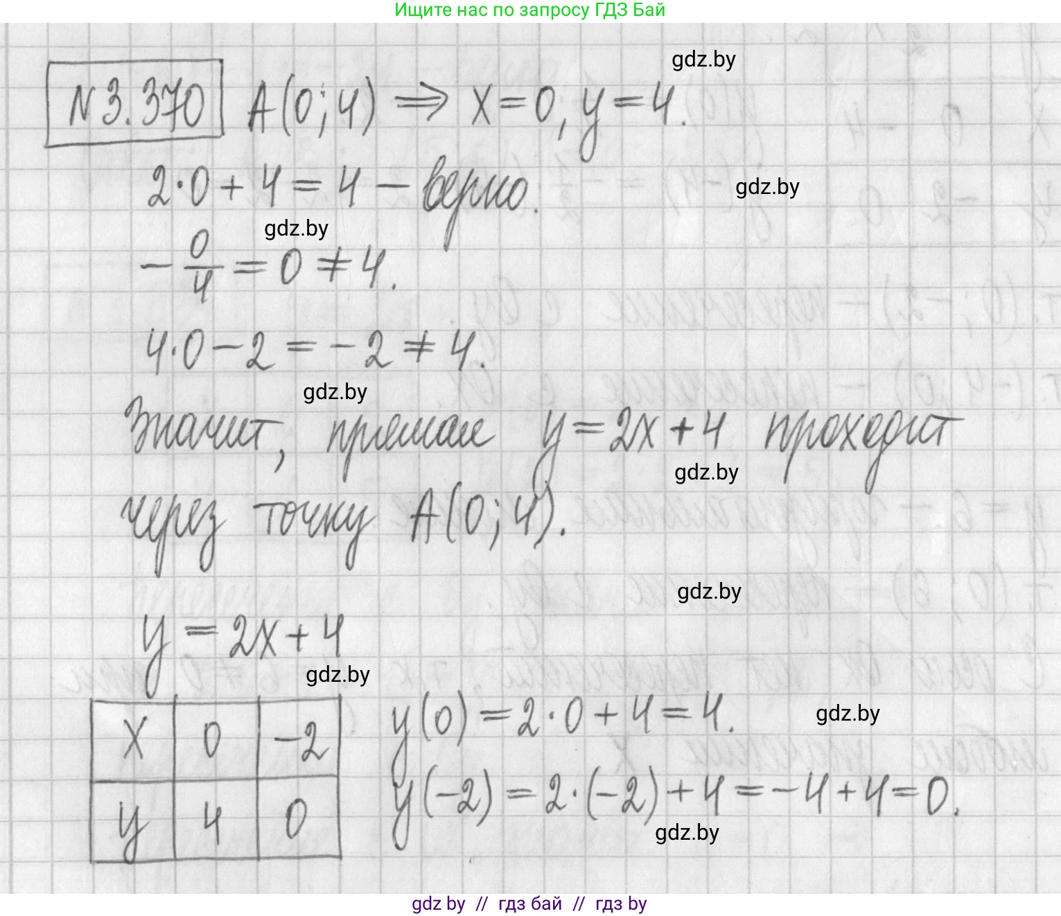
Даны три уравнения прямых: $y=2x+4$; $y=-\frac{x}{4}$; $y=4x-2$ и точка $A(0; 4)$.
Чтобы проверить, проходит ли прямая через точку, необходимо подставить координаты точки $A(0; 4)$ (где $x=0$, а $y=4$) в каждое из уравнений.
- Проверка для $y=2x+4$:
$4 = 2 \cdot 0 + 4$
$4 = 0 + 4$
$4 = 4$ (Верно) - Проверка для $y=-\frac{x}{4}$:
$4 = -\frac{0}{4}$
$4 = 0$ (Неверно) - Проверка для $y=4x-2$:
$4 = 4 \cdot 0 - 2$
$4 = 0 - 2$
$4 = -2$ (Неверно)
Следовательно, только прямая $y=2x+4$ проходит через точку $A(0; 4)$.
Ответ: $y=2x+4$.
Для построения прямой $y=2x+4$ достаточно найти координаты двух любых точек, принадлежащих этой прямой.
- Первая точка уже известна из условия — это точка $A(0; 4)$. Эта точка является точкой пересечения прямой с осью ординат (OY).
- Для нахождения второй точки найдем точку пересечения прямой с осью абсцисс (OX). Для этого приравняем $y$ к нулю и найдем соответствующее значение $x$:
$0 = 2x+4$
$2x = -4$
$x = -2$
Таким образом, вторая точка — $B(-2; 0)$.
Отметив на координатной плоскости точки $A(0; 4)$ и $B(-2; 0)$ и соединив их прямой линией, мы получим график функции $y=2x+4$.
Ответ: Прямая строится по точкам с координатами $(0; 4)$ и $(-2; 0)$.
Функция принимает положительные значения ($y > 0$), когда ее график расположен выше оси абсцисс (OX).
Из построенного графика видно, что прямая $y=2x+4$ находится выше оси OX справа от точки ее пересечения с этой осью.
Точка пересечения с осью OX имеет координаты $(-2; 0)$.
Следовательно, функция принимает положительные значения при всех значениях $x$, которые больше $-2$.
Ответ: Функция принимает положительные значения при $x > -2$.
Другие задания:
Помогло решение? Оставьте отзыв в комментариях ниже.
Присоединяйтесь к Телеграм-группе @gdz_by_belarus
ПрисоединитьсяМы подготовили для вас ответ c подробным объяснением домашего задания по алгебре за 7 класс, для упражнения номер 3.370 расположенного на странице 247 к учебнику 2022 года издания для учащихся школ и гимназий.
Теперь на нашем сайте ГДЗ.ТОП вы всегда легко и бесплатно найдёте условие с правильным ответом на вопрос «Как решить ДЗ» и «Как сделать» задание по алгебре к упражнению №3.370 (с. 247), авторов: Арефьева (Ирина Глебовна), Пирютко (Ольга Николаевна), учебного пособия издательства Народная асвета.