Номер 7, страница 301 - гдз по алгебре 7 класс учебник Арефьева, Пирютко

Алгебра, 7 класс Учебник, авторы: Арефьева Ирина Глебовна, Пирютко Ольга Николаевна, издательство Народная асвета, Минск, 2022, зелёного цвета

Авторы: Арефьева И. Г., Пирютко О. Н.

Тип: Учебник

Издательство: Народная асвета

Год издания: 2022 - 2026

Цвет обложки: зелёный с графиком

ISBN: ISBN 978-985-03-3770-2

Допущено Министерством образования Республики Беларусь

Популярные ГДЗ в 7 классе

Глава 4. Системы двух линейных уравнений с двумя переменными. Я проверяю свои знания - номер 7, страница 301.

№7 (с. 301)
Условие. №7 (с. 301)
скриншот условия
Алгебра, 7 класс Учебник, авторы: Арефьева Ирина Глебовна, Пирютко Ольга Николаевна, издательство Народная асвета, Минск, 2022, зелёного цвета, страница 301, номер 7, Условие

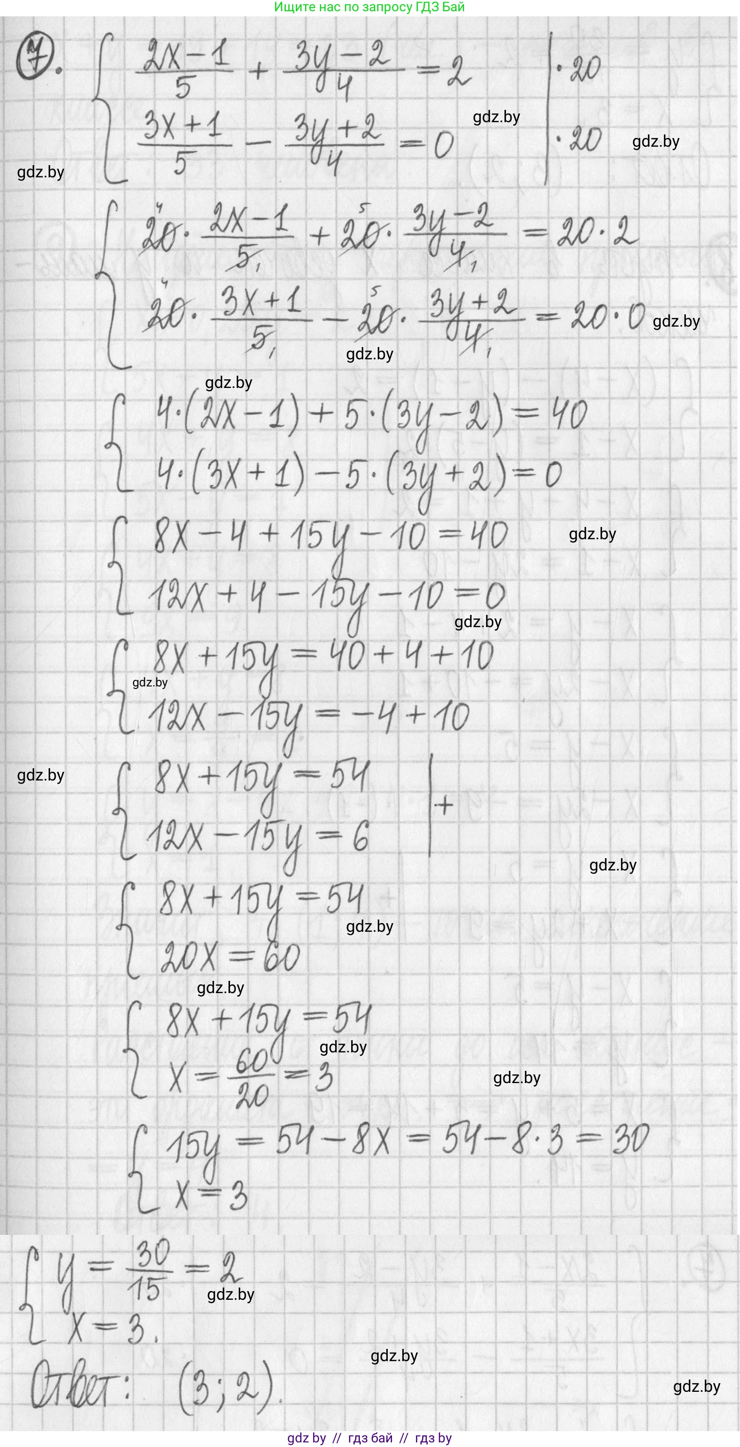
7. Решите систему уравнений $\begin{cases}\frac{2x-1}{5} + \frac{3y-2}{4} = 2, \\ \frac{3x+1}{5} - \frac{3y+2}{4} = 0.\end{cases}$

Решение. №7 (с. 301)
Алгебра, 7 класс Учебник, авторы: Арефьева Ирина Глебовна, Пирютко Ольга Николаевна, издательство Народная асвета, Минск, 2022, зелёного цвета, страница 301, номер 7, Решение
Решение 2. №7 (с. 301)
Решите систему уравнений

Дана система уравнений:

$$ \begin{cases} \frac{2x - 1}{5} + \frac{3y - 2}{4} = 2 \\ \frac{3x + 1}{5} - \frac{3y + 2}{4} = 0 \end{cases} $$

Шаг 1: Упрощение уравнений.

Чтобы избавиться от дробей в уравнениях, умножим обе части каждого уравнения на наименьшее общее кратное знаменателей 5 и 4, которое равно 20.

Для первого уравнения:

$$ 20 \cdot \left(\frac{2x - 1}{5}\right) + 20 \cdot \left(\frac{3y - 2}{4}\right) = 20 \cdot 2 $$

$$ 4(2x - 1) + 5(3y - 2) = 40 $$

Раскроем скобки:

$$ 8x - 4 + 15y - 10 = 40 $$

Приведем подобные слагаемые и перенесем свободные члены в правую часть:

$$ 8x + 15y = 40 + 4 + 10 $$

$$ 8x + 15y = 54 $$

Для второго уравнения:

$$ 20 \cdot \left(\frac{3x + 1}{5}\right) - 20 \cdot \left(\frac{3y + 2}{4}\right) = 20 \cdot 0 $$

$$ 4(3x + 1) - 5(3y + 2) = 0 $$

Раскроем скобки:

$$ 12x + 4 - 15y - 10 = 0 $$

Приведем подобные слагаемые и перенесем свободные члены в правую часть:

$$ 12x - 15y = 10 - 4 $$

$$ 12x - 15y = 6 $$

Шаг 2: Решение полученной системы линейных уравнений.

Теперь система имеет упрощенный вид:

$$ \begin{cases} 8x + 15y = 54 \\ 12x - 15y = 6 \end{cases} $$

Воспользуемся методом сложения, так как коэффициенты при переменной $y$ являются противоположными числами ($15$ и $-15$). Сложим два уравнения:

$$ (8x + 15y) + (12x - 15y) = 54 + 6 $$

$$ 20x = 60 $$

Найдем значение $x$:

$$ x = \frac{60}{20} = 3 $$

Шаг 3: Нахождение значения y.

Подставим найденное значение $x=3$ в любое из упрощенных уравнений, например, в первое: $8x + 15y = 54$.

$$ 8(3) + 15y = 54 $$

$$ 24 + 15y = 54 $$

$$ 15y = 54 - 24 $$

$$ 15y = 30 $$

Найдем значение $y$:

$$ y = \frac{30}{15} = 2 $$

Решением системы является пара чисел ($x=3, y=2$).

Ответ: $x=3, y=2$.

Помогло решение? Оставьте отзыв в комментариях ниже.

Присоединяйтесь к Телеграм-группе @gdz_by_belarus

Присоединиться

Мы подготовили для вас ответ c подробным объяснением домашего задания по алгебре за 7 класс, для упражнения номер 7 расположенного на странице 301 к учебнику 2022 года издания для учащихся школ и гимназий.

Теперь на нашем сайте ГДЗ.ТОП вы всегда легко и бесплатно найдёте условие с правильным ответом на вопрос «Как решить ДЗ» и «Как сделать» задание по алгебре к упражнению №7 (с. 301), авторов: Арефьева (Ирина Глебовна), Пирютко (Ольга Николаевна), учебного пособия издательства Народная асвета.