Номер 1237, страница 236 - гдз по алгебре 7 класс учебник Макарычев, Миндюк

Алгебра, 7 класс Учебник, авторы: Макарычев Юрий Николаевич, Миндюк Нора Григорьевна, Нешков Константин Иванович, Суворова Светлана Борисовна, издательство Просвещение, Москва, 2023, белого цвета

Авторы: Макарычев Ю. Н., Миндюк Н. Г., Нешков К. И., Суворова С. Б.

Тип: Учебник

Издательство: Просвещение

Год издания: 2023 - 2026

Уровень обучения: базовый

Цвет обложки: белый, оранжевый, фиолетовый

ISBN: 978-5-09-102535-4, 978-5-09-110804-0

Допущено Министерством просвещения Российской Федерации

Популярные ГДЗ в 7 классе

Глава 6. Системы линейных уравнений. Задачи повышенной трудности - номер 1237, страница 236.

№1237 (с. 236)
Условие. №1237 (с. 236)
скриншот условия
Алгебра, 7 класс Учебник, авторы: Макарычев Юрий Николаевич, Миндюк Нора Григорьевна, Нешков Константин Иванович, Суворова Светлана Борисовна, издательство Просвещение, Москва, 2023, белого цвета, страница 236, номер 1237, Условие

1237. Решите систему уравнений:

Упражнение 1237. Решите систему уравнений
Решение 1. №1237 (с. 236)
скриншот решения
Алгебра, 7 класс Учебник, авторы: Макарычев Юрий Николаевич, Миндюк Нора Григорьевна, Нешков Константин Иванович, Суворова Светлана Борисовна, издательство Просвещение, Москва, 2023, белого цвета, страница 236, номер 1237, Решение 1
Алгебра, 7 класс Учебник, авторы: Макарычев Юрий Николаевич, Миндюк Нора Григорьевна, Нешков Константин Иванович, Суворова Светлана Борисовна, издательство Просвещение, Москва, 2023, белого цвета, страница 236, номер 1237, Решение 1 (продолжение 2)

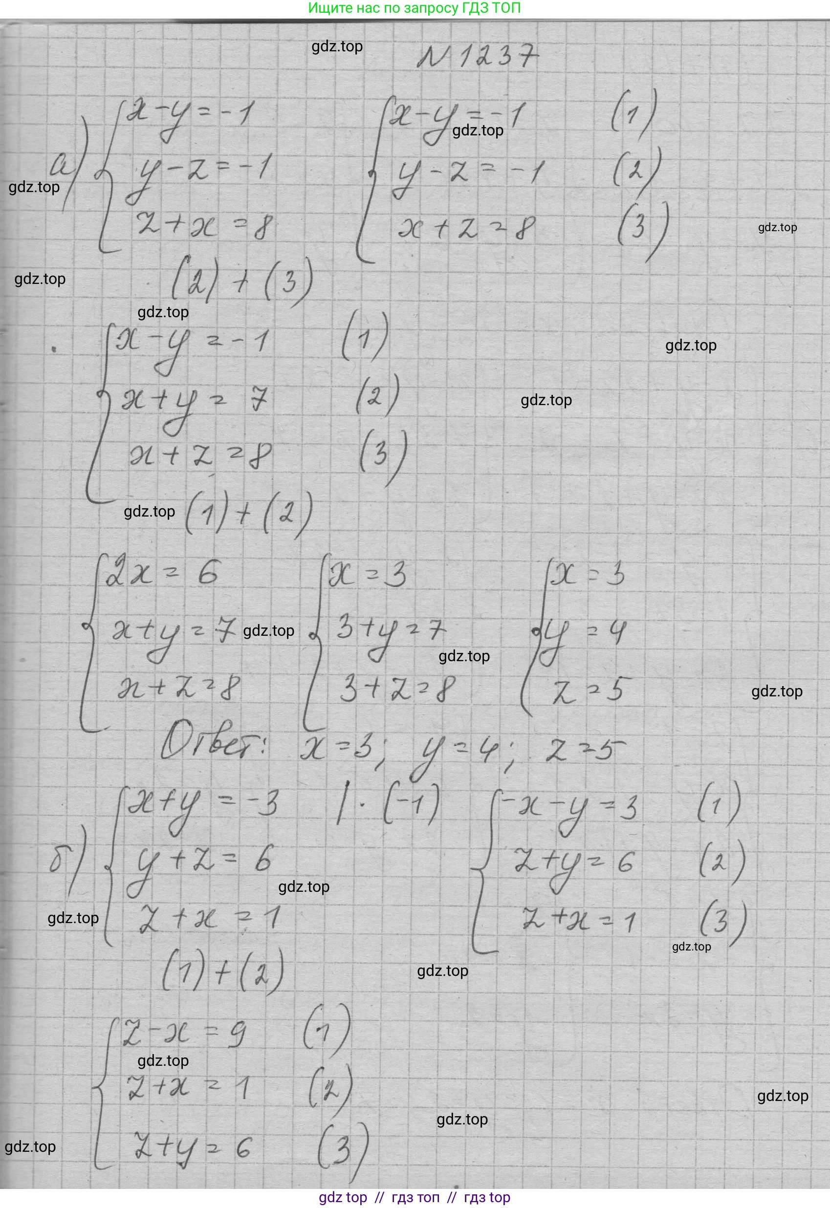
а) x-y=-1, y-z=-1,z+x=8;x-y=-1, (1) y-z=-1, (2)x+z=8      (3)

(2) + (3)

x-y=-1, (1) x+y=7,     (2)x+z=8      (3)

(1) + (2)

2x=6, x+y=7,x+z=8; x=3, 3+y=7,3+z=8;x=3, y=4,x=5.

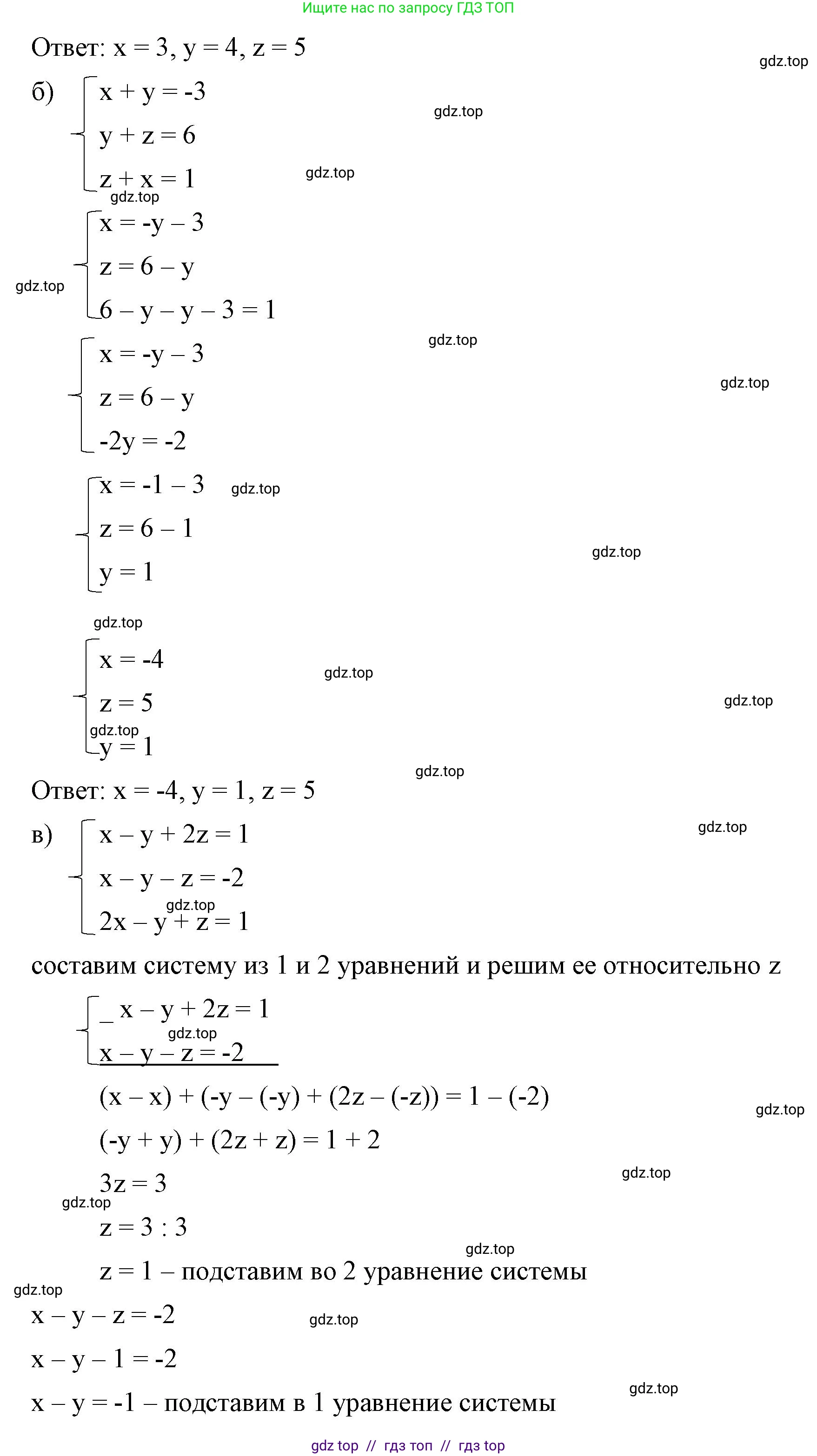
Ответ: x = 3; y = 4; z = 5.

б) x+y=-3 /·(-1), y+z=6,z+x=1;-x-y=3, (1) z+y=6,    (2)z+x=1;    (3)

(1) + (2)

z-x=9, (1) z+x=1, (2)z+y=6; (3)

(1) + (2)

2z=10, z+x=1,z+y=6; z=5,5+x=1, 5+y=6;z=5, x=-4,y=1.

Ответ: x = -4; y = 1; z = 5.

в) x-y+2z=1, x-y-z=-2,2x-y+z=1;x-y=1-2z, 1-2z-z=-2,2x-y+z=1;

x-y=1-2z, 1-3z=-2,2x-y+z=1,x-y=1-2z, 3z=3,2x-y+z=1;

z=1, x-y=1-2·1,2x-y+1=1;z=1, x-y=-1,2x-y=0;

z=1, y=2x,x-2x=-1,z=1, -x=-1,y=2x;z=1, x=1,y=2.

Ответ: x = 1; y = 2; z = 1.

Решение 2. №1237 (с. 236)

а)

Дана система уравнений:

$ \begin{cases} x - y = -1 & (1) \\ y - z = -1 & (2) \\ z + x = 8 & (3) \end{cases} $

Сложим все три уравнения системы:

$(x - y) + (y - z) + (z + x) = -1 + (-1) + 8$

Раскроем скобки и приведем подобные слагаемые:

$x - y + y - z + z + x = 6$

$2x = 6$

$x = 3$

Теперь подставим найденное значение $x=3$ в первое и третье уравнения, чтобы найти $y$ и $z$.

Из уравнения (1):

$3 - y = -1$

$y = 3 + 1 = 4$

Из уравнения (3):

$z + 3 = 8$

$z = 8 - 3 = 5$

Проверим найденные значения по второму уравнению:

$y - z = 4 - 5 = -1$. Равенство верно.

Ответ: $(3; 4; 5)$.

б)

Дана система уравнений:

$ \begin{cases} x + y = -3 & (1) \\ y + z = 6 & (2) \\ z + x = 1 & (3) \end{cases} $

Сложим все три уравнения системы:

$(x + y) + (y + z) + (z + x) = -3 + 6 + 1$

$2x + 2y + 2z = 4$

Разделим обе части полученного уравнения на 2:

$x + y + z = 2 \quad (4)$

Теперь, чтобы найти каждую переменную, вычтем из уравнения (4) поочередно уравнения (1), (2) и (3).

Вычтем (1) из (4):

$(x + y + z) - (x + y) = 2 - (-3)$

$z = 5$

Вычтем (2) из (4):

$(x + y + z) - (y + z) = 2 - 6$

$x = -4$

Вычтем (3) из (4):

$(x + y + z) - (z + x) = 2 - 1$

$y = 1$

Ответ: $(-4; 1; 5)$.

в)

Дана система уравнений:

$ \begin{cases} x - y + 2z = 1 & (1) \\ x - y - z = -2 & (2) \\ 2x - y + z = 1 & (3) \end{cases} $

Вычтем уравнение (2) из уравнения (1). Это позволит нам исключить переменные $x$ и $y$ одновременно.

$(x - y + 2z) - (x - y - z) = 1 - (-2)$

$x - y + 2z - x + y + z = 1 + 2$

$3z = 3$

$z = 1$

Подставим значение $z = 1$ в уравнения (2) и (3), чтобы получить систему из двух уравнений с двумя переменными.

$ \begin{cases} x - y - 1 = -2 \\ 2x - y + 1 = 1 \end{cases} $

Упростим систему:

$ \begin{cases} x - y = -1 & (4) \\ 2x - y = 0 & (5) \end{cases} $

Вычтем уравнение (4) из уравнения (5):

$(2x - y) - (x - y) = 0 - (-1)$

$2x - y - x + y = 1$

$x = 1$

Подставим $x=1$ в уравнение (5), чтобы найти $y$:

$2(1) - y = 0$

$2 - y = 0$

$y = 2$

Ответ: $(1; 2; 1)$.

Решение 3. №1237 (с. 236)
Алгебра, 7 класс Учебник, авторы: Макарычев Юрий Николаевич, Миндюк Нора Григорьевна, Нешков Константин Иванович, Суворова Светлана Борисовна, издательство Просвещение, Москва, 2023, белого цвета, страница 236, номер 1237, Решение 3
Алгебра, 7 класс Учебник, авторы: Макарычев Юрий Николаевич, Миндюк Нора Григорьевна, Нешков Константин Иванович, Суворова Светлана Борисовна, издательство Просвещение, Москва, 2023, белого цвета, страница 236, номер 1237, Решение 3 (продолжение 2)
Решение 4. №1237 (с. 236)
Алгебра, 7 класс Учебник, авторы: Макарычев Юрий Николаевич, Миндюк Нора Григорьевна, Нешков Константин Иванович, Суворова Светлана Борисовна, издательство Просвещение, Москва, 2023, белого цвета, страница 236, номер 1237, Решение 4
Решение 5. №1237 (с. 236)
Алгебра, 7 класс Учебник, авторы: Макарычев Юрий Николаевич, Миндюк Нора Григорьевна, Нешков Константин Иванович, Суворова Светлана Борисовна, издательство Просвещение, Москва, 2023, белого цвета, страница 236, номер 1237, Решение 5 Алгебра, 7 класс Учебник, авторы: Макарычев Юрий Николаевич, Миндюк Нора Григорьевна, Нешков Константин Иванович, Суворова Светлана Борисовна, издательство Просвещение, Москва, 2023, белого цвета, страница 236, номер 1237, Решение 5 (продолжение 2)

Помогло решение? Оставьте отзыв в комментариях ниже.

Присоединяйтесь к Телеграм-группе @top_gdz

Присоединиться

Мы подготовили для вас ответ c подробным объяснением домашего задания по алгебре за 7 класс, для упражнения номер 1237 расположенного на странице 236 к учебнику 2023 года издания для учащихся школ и гимназий.

Теперь на нашем сайте ГДЗ.ТОП вы всегда легко и бесплатно найдёте условие с правильным ответом на вопрос «Как решить ДЗ» и «Как сделать» задание по алгебре к упражнению №1237 (с. 236), авторов: Макарычев (Юрий Николаевич), Миндюк (Нора Григорьевна), Нешков (Константин Иванович), Суворова (Светлана Борисовна), ФГОС (новый, красный) базовый уровень обучения учебного пособия издательства Просвещение.