Номер 653, страница 140 - гдз по алгебре 7 класс учебник Макарычев, Миндюк

Алгебра, 7 класс Учебник, авторы: Макарычев Юрий Николаевич, Миндюк Нора Григорьевна, Нешков Константин Иванович, Суворова Светлана Борисовна, издательство Просвещение, Москва, 2023, белого цвета

Авторы: Макарычев Ю. Н., Миндюк Н. Г., Нешков К. И., Суворова С. Б.

Тип: Учебник

Издательство: Просвещение

Год издания: 2023 - 2026

Уровень обучения: базовый

Цвет обложки: белый, оранжевый, фиолетовый

ISBN: 978-5-09-102535-4, 978-5-09-110804-0

Допущено Министерством просвещения Российской Федерации

Популярные ГДЗ в 7 классе

Глава 4. Многочлены. Параграф 9. Произведение одночлена и многочлена. 27. Умножение одночлена на многочлен - номер 653, страница 140.

№653 (с. 140)
Условие. №653 (с. 140)
скриншот условия
Алгебра, 7 класс Учебник, авторы: Макарычев Юрий Николаевич, Миндюк Нора Григорьевна, Нешков Константин Иванович, Суворова Светлана Борисовна, издательство Просвещение, Москва, 2023, белого цвета, страница 140, номер 653, Условие

653. Найдите корень уравнения:

Упражнение 653. Найдите корень уравнения
Решение 1. №653 (с. 140)
скриншот решения
Алгебра, 7 класс Учебник, авторы: Макарычев Юрий Николаевич, Миндюк Нора Григорьевна, Нешков Константин Иванович, Суворова Светлана Борисовна, издательство Просвещение, Москва, 2023, белого цвета, страница 140, номер 653, Решение 1
Алгебра, 7 класс Учебник, авторы: Макарычев Юрий Николаевич, Миндюк Нора Григорьевна, Нешков Константин Иванович, Суворова Светлана Борисовна, издательство Просвещение, Москва, 2023, белого цвета, страница 140, номер 653, Решение 1 (продолжение 2)

а) 1-x-32=2-x3+4 /·6;
6 - 3(x - 3) = 2(2 - x) + 24;
6 - 3x + 9 = 4 - 2x + 24;
-3x + 2x = 28 - 6 - 9;
-x = 13;
x = -13.

Ответ: -13.

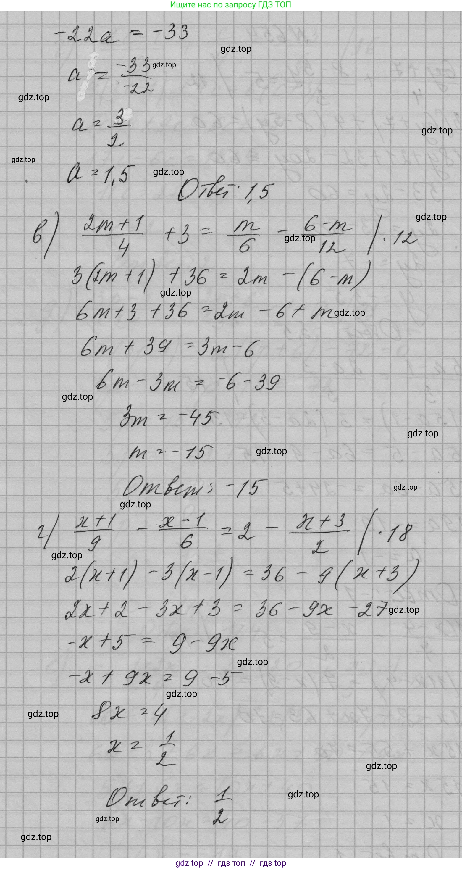
б) a+1310-2a5=3-a15+a2 /·30;
3(a + 13) - 6 ⋅ 2a = 2(3 - a) + 15a;
3a + 39 - 12a = 6 - 2a + 15a;

39 - 9a = 6 + 13a;
-9a - 13a = 6 - 39;
-22a = -33;
a=-33-22;
a=32;
a = 1,5.

Ответ: 1,5.

в) 2m+14+3=m6-6-m12 /·12;
3(2m + 1) + 36 = 2m - (6 - m);
6m + 3 + 36 = 2m - 6 + m;

6m + 39 = 3m - 6;
6m - 3m = -6 - 39;
3m = -45;
m = -15.

Ответ: -15.

г) x+19-x-16=2-x+32 /·18;
2(x + 1) - 3(x - 1) = 36 - 9(x + 3);
2x + 2 - 3x + 3 = 36 - 9x - 27;

-x + 5 = 9 - 9x;
-x + 9x = 9 - 5;
8x = 4;
x=12.

Ответ:12.

Решение 2. №653 (с. 140)

а) $1 - \frac{x-3}{2} = \frac{2-x}{3} + 4$
Чтобы избавиться от дробей, умножим обе части уравнения на наименьшее общее кратное знаменателей (2 и 3), то есть на 6:
$6 \cdot 1 - 6 \cdot \frac{x-3}{2} = 6 \cdot \frac{2-x}{3} + 6 \cdot 4$
$6 - 3(x-3) = 2(2-x) + 24$
Раскроем скобки:
$6 - 3x + 9 = 4 - 2x + 24$
Приведем подобные слагаемые в каждой части уравнения:
$15 - 3x = 28 - 2x$
Перенесем слагаемые с $x$ в левую часть, а числа — в правую:
$-3x + 2x = 28 - 15$
$-x = 13$
$x = -13$
Ответ: -13

б) $\frac{a+13}{10} - \frac{2a}{5} = \frac{3-a}{15} + \frac{a}{2}$
Наименьшее общее кратное знаменателей (10, 5, 15, 2) равно 30. Умножим обе части уравнения на 30:
$30 \cdot \frac{a+13}{10} - 30 \cdot \frac{2a}{5} = 30 \cdot \frac{3-a}{15} + 30 \cdot \frac{a}{2}$
$3(a+13) - 6(2a) = 2(3-a) + 15a$
Раскроем скобки:
$3a + 39 - 12a = 6 - 2a + 15a$
Приведем подобные слагаемые:
$39 - 9a = 6 + 13a$
Перенесем слагаемые с $a$ в правую часть, а числа — в левую:
$39 - 6 = 13a + 9a$
$33 = 22a$
$a = \frac{33}{22}$
$a = \frac{3}{2} = 1.5$
Ответ: 1,5

в) $\frac{2m+1}{4} + 3 = \frac{m}{6} - \frac{6-m}{12}$
Наименьшее общее кратное знаменателей (4, 6, 12) равно 12. Умножим обе части уравнения на 12:
$12 \cdot \frac{2m+1}{4} + 12 \cdot 3 = 12 \cdot \frac{m}{6} - 12 \cdot \frac{6-m}{12}$
$3(2m+1) + 36 = 2m - (6-m)$
Раскроем скобки. Обратим внимание на знак минус перед второй дробью в правой части:
$6m + 3 + 36 = 2m - 6 + m$
Приведем подобные слагаемые:
$6m + 39 = 3m - 6$
Перенесем слагаемые с $m$ в левую часть, а числа — в правую:
$6m - 3m = -6 - 39$
$3m = -45$
$m = \frac{-45}{3}$
$m = -15$
Ответ: -15

г) $\frac{x+1}{9} - \frac{x-1}{6} = 2 - \frac{x+3}{2}$
Наименьшее общее кратное знаменателей (9, 6, 2) равно 18. Умножим обе части уравнения на 18:
$18 \cdot \frac{x+1}{9} - 18 \cdot \frac{x-1}{6} = 18 \cdot 2 - 18 \cdot \frac{x+3}{2}$
$2(x+1) - 3(x-1) = 36 - 9(x+3)$
Раскроем скобки:
$2x + 2 - 3x + 3 = 36 - 9x - 27$
Приведем подобные слагаемые:
$-x + 5 = 9 - 9x$
Перенесем слагаемые с $x$ в левую часть, а числа — в правую:
$-x + 9x = 9 - 5$
$8x = 4$
$x = \frac{4}{8}$
$x = \frac{1}{2} = 0.5$
Ответ: 0,5

Решение 3. №653 (с. 140)
Алгебра, 7 класс Учебник, авторы: Макарычев Юрий Николаевич, Миндюк Нора Григорьевна, Нешков Константин Иванович, Суворова Светлана Борисовна, издательство Просвещение, Москва, 2023, белого цвета, страница 140, номер 653, Решение 3
Алгебра, 7 класс Учебник, авторы: Макарычев Юрий Николаевич, Миндюк Нора Григорьевна, Нешков Константин Иванович, Суворова Светлана Борисовна, издательство Просвещение, Москва, 2023, белого цвета, страница 140, номер 653, Решение 3 (продолжение 2)
Решение 4. №653 (с. 140)
Алгебра, 7 класс Учебник, авторы: Макарычев Юрий Николаевич, Миндюк Нора Григорьевна, Нешков Константин Иванович, Суворова Светлана Борисовна, издательство Просвещение, Москва, 2023, белого цвета, страница 140, номер 653, Решение 4
Решение 5. №653 (с. 140)
Алгебра, 7 класс Учебник, авторы: Макарычев Юрий Николаевич, Миндюк Нора Григорьевна, Нешков Константин Иванович, Суворова Светлана Борисовна, издательство Просвещение, Москва, 2023, белого цвета, страница 140, номер 653, Решение 5 Алгебра, 7 класс Учебник, авторы: Макарычев Юрий Николаевич, Миндюк Нора Григорьевна, Нешков Константин Иванович, Суворова Светлана Борисовна, издательство Просвещение, Москва, 2023, белого цвета, страница 140, номер 653, Решение 5 (продолжение 2)

Помогло решение? Оставьте отзыв в комментариях ниже.

Присоединяйтесь к Телеграм-группе @top_gdz

Присоединиться

Мы подготовили для вас ответ c подробным объяснением домашего задания по алгебре за 7 класс, для упражнения номер 653 расположенного на странице 140 к учебнику 2023 года издания для учащихся школ и гимназий.

Теперь на нашем сайте ГДЗ.ТОП вы всегда легко и бесплатно найдёте условие с правильным ответом на вопрос «Как решить ДЗ» и «Как сделать» задание по алгебре к упражнению №653 (с. 140), авторов: Макарычев (Юрий Николаевич), Миндюк (Нора Григорьевна), Нешков (Константин Иванович), Суворова (Светлана Борисовна), ФГОС (новый, красный) базовый уровень обучения учебного пособия издательства Просвещение.