Номер 767, страница 159 - гдз по алгебре 7 класс учебник Макарычев, Миндюк

Алгебра, 7 класс Учебник, авторы: Макарычев Юрий Николаевич, Миндюк Нора Григорьевна, Нешков Константин Иванович, Суворова Светлана Борисовна, издательство Просвещение, Москва, 2023, белого цвета

Авторы: Макарычев Ю. Н., Миндюк Н. Г., Нешков К. И., Суворова С. Б.

Тип: Учебник

Издательство: Просвещение

Год издания: 2023 - 2026

Уровень обучения: базовый

Цвет обложки: белый, оранжевый, фиолетовый

ISBN: 978-5-09-102535-4, 978-5-09-110804-0

Допущено Министерством просвещения Российской Федерации

Популярные ГДЗ в 7 классе

Глава 4. Многочлены. Дополнительные упражнения к главе IV. К параграфу 9 - номер 767, страница 159.

№767 (с. 159)
Условие. №767 (с. 159)
скриншот условия
Алгебра, 7 класс Учебник, авторы: Макарычев Юрий Николаевич, Миндюк Нора Григорьевна, Нешков Константин Иванович, Суворова Светлана Борисовна, издательство Просвещение, Москва, 2023, белого цвета, страница 159, номер 767, Условие

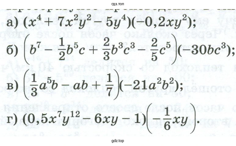
767. Преобразуйте произведение в многочлен:

Упражнение 767. Преобразуйте произведение в многочлен
Решение 1. №767 (с. 159)
скриншот решения
Алгебра, 7 класс Учебник, авторы: Макарычев Юрий Николаевич, Миндюк Нора Григорьевна, Нешков Константин Иванович, Суворова Светлана Борисовна, издательство Просвещение, Москва, 2023, белого цвета, страница 159, номер 767, Решение 1

а) (x⁴ + 7x²y² - 5y⁴) (-0,2xy²) =
= -0,2x⁵y² - 1,4x³y⁴ + xy⁶;

б) b7-12b5c+23b3c3-25c5×

×-30bc3=-30bc3 · b7+30bc3×

×12b5c-30bc3 · 23b3c3+30bc3 · 25c5=

=-30b8c3+15b6c4-20b4c6+12bc8;

в) 13a5b-ab+17 -21a2b2=

=-21a2b2 · 13a5b+21a2b2ab-21a2b2·17=

=-7a7b3+21a3b3-3a2b2;

г) 0,5x7y12-6xy-1 -16xy=

=-16xy· 0,5x7y12+16xy · 6xy+16xy=

=-112x8y13+x2y2+16xy.

Решение 2. №767 (с. 159)

а) Чтобы преобразовать данное произведение в многочлен, необходимо каждый член многочлена $(x^4 + 7x^2y^2 - 5y^4)$ умножить на одночлен $(-0,2xy^2)$, используя распределительное свойство умножения.

$(x^4 + 7x^2y^2 - 5y^4) \cdot (-0,2xy^2) = x^4 \cdot (-0,2xy^2) + 7x^2y^2 \cdot (-0,2xy^2) - 5y^4 \cdot (-0,2xy^2)$

Выполним умножение для каждого члена:

1. $x^4 \cdot (-0,2xy^2) = -0,2x^{4+1}y^2 = -0,2x^5y^2$

2. $7x^2y^2 \cdot (-0,2xy^2) = (7 \cdot (-0,2))x^{2+1}y^{2+2} = -1,4x^3y^4$

3. $-5y^4 \cdot (-0,2xy^2) = (-5 \cdot (-0,2))xy^{4+2} = 1xy^6 = xy^6$

Теперь сложим полученные одночлены, чтобы получить итоговый многочлен:

$-0,2x^5y^2 - 1,4x^3y^4 + xy^6$

Ответ: $-0,2x^5y^2 - 1,4x^3y^4 + xy^6$.

б) Умножим каждый член многочлена $(b^7 - \frac{1}{2}b^5c + \frac{2}{3}b^3c^3 - \frac{2}{5}c^5)$ на одночлен $(-30bc^3)$.

$(b^7 - \frac{1}{2}b^5c + \frac{2}{3}b^3c^3 - \frac{2}{5}c^5) \cdot (-30bc^3) = b^7(-30bc^3) - \frac{1}{2}b^5c(-30bc^3) + \frac{2}{3}b^3c^3(-30bc^3) - \frac{2}{5}c^5(-30bc^3)$

Вычислим каждое произведение:

1. $b^7 \cdot (-30bc^3) = -30b^{7+1}c^3 = -30b^8c^3$

2. $-\frac{1}{2}b^5c \cdot (-30bc^3) = (-\frac{1}{2} \cdot (-30))b^{5+1}c^{1+3} = 15b^6c^4$

3. $\frac{2}{3}b^3c^3 \cdot (-30bc^3) = (\frac{2}{3} \cdot (-30))b^{3+1}c^{3+3} = -20b^4c^6$

4. $-\frac{2}{5}c^5 \cdot (-30bc^3) = (-\frac{2}{5} \cdot (-30))bc^{5+3} = 12bc^8$

Сложим полученные одночлены:

$-30b^8c^3 + 15b^6c^4 - 20b^4c^6 + 12bc^8$

Ответ: $-30b^8c^3 + 15b^6c^4 - 20b^4c^6 + 12bc^8$.

в) Умножим каждый член многочлена $(\frac{1}{3}a^5b - ab + \frac{1}{7})$ на одночлен $(-21a^2b^2)$.

$(\frac{1}{3}a^5b - ab + \frac{1}{7}) \cdot (-21a^2b^2) = \frac{1}{3}a^5b(-21a^2b^2) - ab(-21a^2b^2) + \frac{1}{7}(-21a^2b^2)$

Вычислим каждое произведение:

1. $\frac{1}{3}a^5b \cdot (-21a^2b^2) = (\frac{1}{3} \cdot (-21))a^{5+2}b^{1+2} = -7a^7b^3$

2. $-ab \cdot (-21a^2b^2) = (-1 \cdot (-21))a^{1+2}b^{1+2} = 21a^3b^3$

3. $\frac{1}{7} \cdot (-21a^2b^2) = (\frac{1}{7} \cdot (-21))a^2b^2 = -3a^2b^2$

Объединяем результаты в многочлен:

$-7a^7b^3 + 21a^3b^3 - 3a^2b^2$

Ответ: $-7a^7b^3 + 21a^3b^3 - 3a^2b^2$.

г) Умножим каждый член многочлена $(0,5x^7y^{12} - 6xy - 1)$ на одночлен $(-\frac{1}{6}xy)$. Для удобства вычислений представим десятичную дробь $0,5$ в виде обыкновенной дроби $\frac{1}{2}$.

$(\frac{1}{2}x^7y^{12} - 6xy - 1) \cdot (-\frac{1}{6}xy) = \frac{1}{2}x^7y^{12}(-\frac{1}{6}xy) - 6xy(-\frac{1}{6}xy) - 1(-\frac{1}{6}xy)$

Вычислим каждое произведение:

1. $\frac{1}{2}x^7y^{12} \cdot (-\frac{1}{6}xy) = (\frac{1}{2} \cdot (-\frac{1}{6}))x^{7+1}y^{12+1} = -\frac{1}{12}x^8y^{13}$

2. $-6xy \cdot (-\frac{1}{6}xy) = (-6 \cdot (-\frac{1}{6}))x^{1+1}y^{1+1} = 1x^2y^2 = x^2y^2$

3. $-1 \cdot (-\frac{1}{6}xy) = \frac{1}{6}xy$

Сложив полученные одночлены, получаем итоговый многочлен:

$-\frac{1}{12}x^8y^{13} + x^2y^2 + \frac{1}{6}xy$

Ответ: $-\frac{1}{12}x^8y^{13} + x^2y^2 + \frac{1}{6}xy$.

Решение 3. №767 (с. 159)
Алгебра, 7 класс Учебник, авторы: Макарычев Юрий Николаевич, Миндюк Нора Григорьевна, Нешков Константин Иванович, Суворова Светлана Борисовна, издательство Просвещение, Москва, 2023, белого цвета, страница 159, номер 767, Решение 3
Алгебра, 7 класс Учебник, авторы: Макарычев Юрий Николаевич, Миндюк Нора Григорьевна, Нешков Константин Иванович, Суворова Светлана Борисовна, издательство Просвещение, Москва, 2023, белого цвета, страница 159, номер 767, Решение 3 (продолжение 2)
Решение 4. №767 (с. 159)
Алгебра, 7 класс Учебник, авторы: Макарычев Юрий Николаевич, Миндюк Нора Григорьевна, Нешков Константин Иванович, Суворова Светлана Борисовна, издательство Просвещение, Москва, 2023, белого цвета, страница 159, номер 767, Решение 4
Решение 5. №767 (с. 159)
Алгебра, 7 класс Учебник, авторы: Макарычев Юрий Николаевич, Миндюк Нора Григорьевна, Нешков Константин Иванович, Суворова Светлана Борисовна, издательство Просвещение, Москва, 2023, белого цвета, страница 159, номер 767, Решение 5 Алгебра, 7 класс Учебник, авторы: Макарычев Юрий Николаевич, Миндюк Нора Григорьевна, Нешков Константин Иванович, Суворова Светлана Борисовна, издательство Просвещение, Москва, 2023, белого цвета, страница 159, номер 767, Решение 5 (продолжение 2)

Помогло решение? Оставьте отзыв в комментариях ниже.

Присоединяйтесь к Телеграм-группе @top_gdz

Присоединиться

Мы подготовили для вас ответ c подробным объяснением домашего задания по алгебре за 7 класс, для упражнения номер 767 расположенного на странице 159 к учебнику 2023 года издания для учащихся школ и гимназий.

Теперь на нашем сайте ГДЗ.ТОП вы всегда легко и бесплатно найдёте условие с правильным ответом на вопрос «Как решить ДЗ» и «Как сделать» задание по алгебре к упражнению №767 (с. 159), авторов: Макарычев (Юрий Николаевич), Миндюк (Нора Григорьевна), Нешков (Константин Иванович), Суворова (Светлана Борисовна), ФГОС (новый, красный) базовый уровень обучения учебного пособия издательства Просвещение.