Номер 794, страница 162 - гдз по алгебре 7 класс учебник Макарычев, Миндюк

Алгебра, 7 класс Учебник, авторы: Макарычев Юрий Николаевич, Миндюк Нора Григорьевна, Нешков Константин Иванович, Суворова Светлана Борисовна, издательство Просвещение, Москва, 2023, белого цвета

Авторы: Макарычев Ю. Н., Миндюк Н. Г., Нешков К. И., Суворова С. Б.

Тип: Учебник

Издательство: Просвещение

Год издания: 2023 - 2026

Уровень обучения: базовый

Цвет обложки: белый, оранжевый, фиолетовый

ISBN: 978-5-09-102535-4, 978-5-09-110804-0

Допущено Министерством просвещения Российской Федерации

Популярные ГДЗ в 7 классе

Глава 4. Многочлены. Дополнительные упражнения к главе IV. К параграфу 10 - номер 794, страница 162.

№794 (с. 162)
Условие. №794 (с. 162)
скриншот условия
Алгебра, 7 класс Учебник, авторы: Макарычев Юрий Николаевич, Миндюк Нора Григорьевна, Нешков Константин Иванович, Суворова Светлана Борисовна, издательство Просвещение, Москва, 2023, белого цвета, страница 162, номер 794, Условие

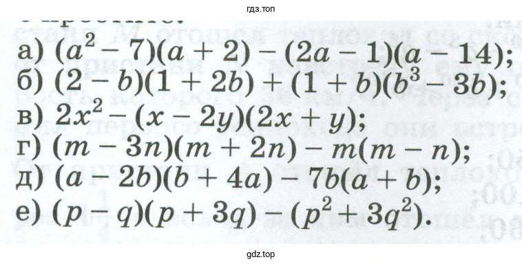
794. Упростите:

Упражнение 794. Упростите
Решение 1. №794 (с. 162)
скриншот решения
Алгебра, 7 класс Учебник, авторы: Макарычев Юрий Николаевич, Миндюк Нора Григорьевна, Нешков Константин Иванович, Суворова Светлана Борисовна, издательство Просвещение, Москва, 2023, белого цвета, страница 162, номер 794, Решение 1

а) (a² - 7) (a + 2) - (2a - 1) ×
× (a - 14) = a³ + 2a² - 7a - 14 -
- (2a² - 28a - a + 14) =

=a3+2a2-7a-14-2a2+28a+
+a-14=a3+22a-28;

б) (2 - b) (1 + 2b) + (1 + b) ×
×(b³ - 3b) = 2 + 4b - b - 2b² +
+ b³ - 3b + b⁴ - 3b² =
= b⁴ + b³ - 5b² + 2;

в) 2x² - (x - 2y) (2x + y) - 2x² -
- (2x² + xy - 4xy - 2y²) =
= 2x² - 2x² - xy + 4xy + 2y² =
= 3xy + 2y²;

г) (m - 3n) (m + 2n) - m(m - n) =
= m² + 2mn - 3mn - 6n² - m² +
+ mn = -6n²;

д) (a - 2b) (b + 4a) - 7b(a + b) =
= ab + 4a² - 2b² - 8ab - 7ab -
- 7b² = 4a² - 14ab - 9b²;

е) (p - q) (p + 3q) - (p² + 3q²) =
= p² + 3pq - pq - 3q² - p² - 3q² =
= 2pq - 6q².

Решение 2. №794 (с. 162)

а) Для упрощения выражения раскроем скобки и приведем подобные слагаемые. Сначала перемножим многочлены в скобках:

$(a^2 - 7)(a + 2) = a^2 \cdot a + a^2 \cdot 2 - 7 \cdot a - 7 \cdot 2 = a^3 + 2a^2 - 7a - 14$

$(2a - 1)(a - 14) = 2a \cdot a + 2a \cdot (-14) - 1 \cdot a - 1 \cdot (-14) = 2a^2 - 28a - a + 14 = 2a^2 - 29a + 14$

Теперь подставим полученные выражения в исходное и выполним вычитание:

$(a^3 + 2a^2 - 7a - 14) - (2a^2 - 29a + 14) = a^3 + 2a^2 - 7a - 14 - 2a^2 + 29a - 14$

Приведем подобные слагаемые:

$a^3 + (2a^2 - 2a^2) + (-7a + 29a) + (-14 - 14) = a^3 + 0 + 22a - 28 = a^3 + 22a - 28$

Ответ: $a^3 + 22a - 28$.

б) Раскроем скобки, перемножая многочлены, а затем приведем подобные слагаемые:

$(2 - b)(1 + 2b) = 2 \cdot 1 + 2 \cdot 2b - b \cdot 1 - b \cdot 2b = 2 + 4b - b - 2b^2 = 2 + 3b - 2b^2$

$(1 + b)(b^3 - 3b) = 1 \cdot b^3 + 1 \cdot (-3b) + b \cdot b^3 + b \cdot (-3b) = b^3 - 3b + b^4 - 3b^2$

Сложим полученные выражения:

$(2 + 3b - 2b^2) + (b^4 + b^3 - 3b^2 - 3b) = 2 + 3b - 2b^2 + b^4 + b^3 - 3b^2 - 3b$

Сгруппируем и приведем подобные слагаемые, располагая их по убыванию степеней:

$b^4 + b^3 + (-2b^2 - 3b^2) + (3b - 3b) + 2 = b^4 + b^3 - 5b^2 + 2$

Ответ: $b^4 + b^3 - 5b^2 + 2$.

в) Сначала выполним умножение многочленов в скобках:

$(x - 2y)(2x + y) = x \cdot 2x + x \cdot y - 2y \cdot 2x - 2y \cdot y = 2x^2 + xy - 4xy - 2y^2 = 2x^2 - 3xy - 2y^2$

Теперь подставим результат в исходное выражение:

$2x^2 - (2x^2 - 3xy - 2y^2) = 2x^2 - 2x^2 + 3xy + 2y^2$

Приведем подобные слагаемые:

$(2x^2 - 2x^2) + 3xy + 2y^2 = 3xy + 2y^2$

Ответ: $3xy + 2y^2$.

г) Раскроем скобки в каждой части выражения:

$(m - 3n)(m + 2n) = m^2 + 2mn - 3mn - 6n^2 = m^2 - mn - 6n^2$

$m(m - n) = m^2 - mn$

Вычтем второе выражение из первого:

$(m^2 - mn - 6n^2) - (m^2 - mn) = m^2 - mn - 6n^2 - m^2 + mn$

Приведем подобные слагаемые:

$(m^2 - m^2) + (-mn + mn) - 6n^2 = -6n^2$

Ответ: $-6n^2$.

д) Раскроем скобки в каждой части выражения:

$(a - 2b)(b + 4a) = a \cdot b + a \cdot 4a - 2b \cdot b - 2b \cdot 4a = ab + 4a^2 - 2b^2 - 8ab = 4a^2 - 7ab - 2b^2$

$7b(a + b) = 7ab + 7b^2$

Вычтем второе выражение из первого:

$(4a^2 - 7ab - 2b^2) - (7ab + 7b^2) = 4a^2 - 7ab - 2b^2 - 7ab - 7b^2$

Приведем подобные слагаемые:

$4a^2 + (-7ab - 7ab) + (-2b^2 - 7b^2) = 4a^2 - 14ab - 9b^2$

Ответ: $4a^2 - 14ab - 9b^2$.

е) Раскроем скобки и приведем подобные слагаемые:

$(p - q)(p + 3q) = p^2 + 3pq - pq - 3q^2 = p^2 + 2pq - 3q^2$

Подставим результат в исходное выражение:

$(p^2 + 2pq - 3q^2) - (p^2 + 3q^2) = p^2 + 2pq - 3q^2 - p^2 - 3q^2$

Приведем подобные слагаемые:

$(p^2 - p^2) + 2pq + (-3q^2 - 3q^2) = 2pq - 6q^2$

Ответ: $2pq - 6q^2$.

Решение 3. №794 (с. 162)
Алгебра, 7 класс Учебник, авторы: Макарычев Юрий Николаевич, Миндюк Нора Григорьевна, Нешков Константин Иванович, Суворова Светлана Борисовна, издательство Просвещение, Москва, 2023, белого цвета, страница 162, номер 794, Решение 3
Решение 4. №794 (с. 162)
Алгебра, 7 класс Учебник, авторы: Макарычев Юрий Николаевич, Миндюк Нора Григорьевна, Нешков Константин Иванович, Суворова Светлана Борисовна, издательство Просвещение, Москва, 2023, белого цвета, страница 162, номер 794, Решение 4
Решение 5. №794 (с. 162)
Алгебра, 7 класс Учебник, авторы: Макарычев Юрий Николаевич, Миндюк Нора Григорьевна, Нешков Константин Иванович, Суворова Светлана Борисовна, издательство Просвещение, Москва, 2023, белого цвета, страница 162, номер 794, Решение 5 Алгебра, 7 класс Учебник, авторы: Макарычев Юрий Николаевич, Миндюк Нора Григорьевна, Нешков Константин Иванович, Суворова Светлана Борисовна, издательство Просвещение, Москва, 2023, белого цвета, страница 162, номер 794, Решение 5 (продолжение 2)

Помогло решение? Оставьте отзыв в комментариях ниже.

Присоединяйтесь к Телеграм-группе @top_gdz

Присоединиться

Мы подготовили для вас ответ c подробным объяснением домашего задания по алгебре за 7 класс, для упражнения номер 794 расположенного на странице 162 к учебнику 2023 года издания для учащихся школ и гимназий.

Теперь на нашем сайте ГДЗ.ТОП вы всегда легко и бесплатно найдёте условие с правильным ответом на вопрос «Как решить ДЗ» и «Как сделать» задание по алгебре к упражнению №794 (с. 162), авторов: Макарычев (Юрий Николаевич), Миндюк (Нора Григорьевна), Нешков (Константин Иванович), Суворова (Светлана Борисовна), ФГОС (новый, красный) базовый уровень обучения учебного пособия издательства Просвещение.