Номер 986, страница 195 - гдз по алгебре 7 класс учебник Макарычев, Миндюк

Алгебра, 7 класс Учебник, авторы: Макарычев Юрий Николаевич, Миндюк Нора Григорьевна, Нешков Константин Иванович, Суворова Светлана Борисовна, издательство Просвещение, Москва, 2023, белого цвета

Авторы: Макарычев Ю. Н., Миндюк Н. Г., Нешков К. И., Суворова С. Б.

Тип: Учебник

Издательство: Просвещение

Год издания: 2023 - 2026

Уровень обучения: базовый

Цвет обложки: белый, оранжевый, фиолетовый

ISBN: 978-5-09-102535-4, 978-5-09-110804-0

Допущено Министерством просвещения Российской Федерации

Популярные ГДЗ в 7 классе

Глава 5. Формулы сокращенного умножения. Дополнительные упражнения к главе V. К параграфу 11 - номер 986, страница 195.

№986 (с. 195)
Условие. №986 (с. 195)
скриншот условия
Алгебра, 7 класс Учебник, авторы: Макарычев Юрий Николаевич, Миндюк Нора Григорьевна, Нешков Константин Иванович, Суворова Светлана Борисовна, издательство Просвещение, Москва, 2023, белого цвета, страница 195, номер 986, Условие

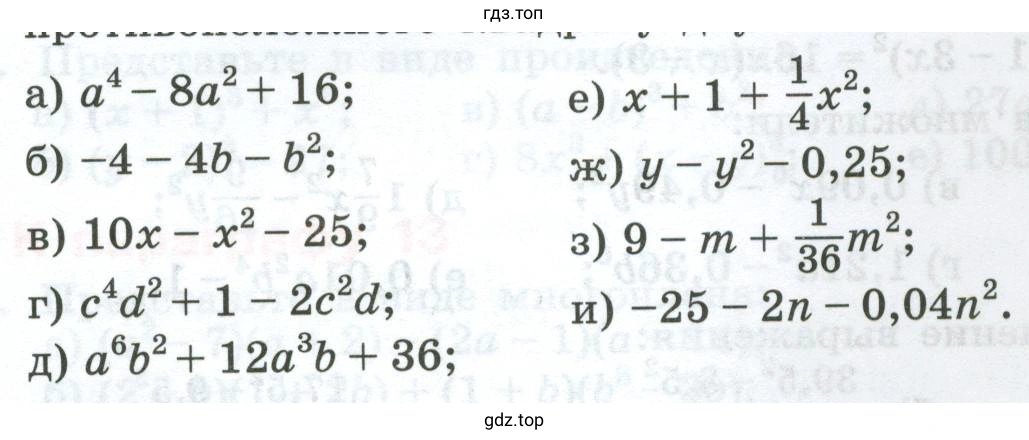
986. Представьте в виде квадрата двучлена или в виде выражения, противоположного квадрату двучлена:

Упражнение 986. Представьте в виде квадрата двучлена или в виде выражения, противоположного квадрату двучлена
Решение 1. №986 (с. 195)
скриншот решения
Алгебра, 7 класс Учебник, авторы: Макарычев Юрий Николаевич, Миндюк Нора Григорьевна, Нешков Константин Иванович, Суворова Светлана Борисовна, издательство Просвещение, Москва, 2023, белого цвета, страница 195, номер 986, Решение 1

а) a⁴ - 8a² + 16 = (a² - 4)²;

б) -4 - 4b - b² =
= -(4 + 4b + b²) = -(2 + b)²;

в) 10x - x² - 25 =
= -(x² - 10x + 25) = -(x - 5)²;

г) c⁴d² + 1 - 2c²d = (c²d - 1)²;

д) a⁶b² + 12a³b + 36 =
= (a³b + 6)²;

е) x+1+14x2=12x+12;

ж) y - y² - 0,25 =
= -(y² - y + 0,25) = -(y - 0,5)²;

з) 9-m+136m2=16m-32;

и) -25 - 2n - 0,04n² =
= -(25 + 2n + 0,04n²) =
= -(5 + 0,2n)².

Решение 2. №986 (с. 195)

а) Данное выражение $a^4 - 8a^2 + 16$ можно представить в виде квадрата разности по формуле $(x-y)^2 = x^2 - 2xy + y^2$.
Определим $x$ и $y$. Первый член $a^4 = (a^2)^2$, значит $x=a^2$.
Третий член $16 = 4^2$, значит $y=4$.
Проверим средний член: $-2xy = -2 \cdot a^2 \cdot 4 = -8a^2$. Он совпадает со средним членом в исходном выражении.
Следовательно, выражение сворачивается в квадрат разности: $a^4 - 8a^2 + 16 = (a^2 - 4)^2$.
Ответ: $(a^2 - 4)^2$.

б) В выражении $-4 - 4b - b^2$ все члены отрицательны. Вынесем знак минус за скобки: $-(4 + 4b + b^2)$.
Выражение в скобках $b^2 + 4b + 4$ является квадратом суммы по формуле $(x+y)^2 = x^2 + 2xy + y^2$.
Здесь $x^2 = b^2$, значит $x=b$.
$y^2 = 4 = 2^2$, значит $y=2$.
Проверим средний член: $2xy = 2 \cdot b \cdot 2 = 4b$. Он совпадает.
Таким образом, $b^2 + 4b + 4 = (b+2)^2$.
Исходное выражение равно $-(b+2)^2$.
Ответ: $-(b + 2)^2$.

в) В выражении $10x - x^2 - 25$ вынесем минус за скобки, чтобы получить стандартный вид трехчлена: $-(x^2 - 10x + 25)$.
Выражение в скобках $x^2 - 10x + 25$ является квадратом разности $(a-b)^2 = a^2 - 2ab + b^2$.
Здесь $a^2=x^2$, значит $a=x$.
$b^2=25=5^2$, значит $b=5$.
Проверим средний член: $-2ab = -2 \cdot x \cdot 5 = -10x$. Он совпадает.
Следовательно, $x^2 - 10x + 25 = (x-5)^2$.
Исходное выражение равно $-(x-5)^2$.
Ответ: $-(x - 5)^2$.

г) Переставим члены в выражении $c^4d^2 + 1 - 2c^2d$ для удобства: $c^4d^2 - 2c^2d + 1$.
Это выражение соответствует формуле квадрата разности $(a-b)^2 = a^2 - 2ab + b^2$.
Здесь $a^2 = c^4d^2 = (c^2d)^2$, значит $a=c^2d$.
$b^2 = 1 = 1^2$, значит $b=1$.
Проверим средний член: $-2ab = -2 \cdot c^2d \cdot 1 = -2c^2d$. Он совпадает.
Таким образом, выражение равно $(c^2d - 1)^2$.
Ответ: $(c^2d - 1)^2$.

д) Выражение $a^6b^2 + 12a^3b + 36$ является квадратом суммы по формуле $(x+y)^2 = x^2 + 2xy + y^2$.
Здесь $x^2 = a^6b^2 = (a^3b)^2$, значит $x=a^3b$.
$y^2 = 36 = 6^2$, значит $y=6$.
Проверим средний член: $2xy = 2 \cdot a^3b \cdot 6 = 12a^3b$. Он совпадает.
Следовательно, выражение равно $(a^3b + 6)^2$.
Ответ: $(a^3b + 6)^2$.

е) Переставим члены в выражении $x + 1 + \frac{1}{4}x^2$ для удобства: $\frac{1}{4}x^2 + x + 1$.
Это выражение соответствует формуле квадрата суммы $(a+b)^2 = a^2 + 2ab + b^2$.
Здесь $a^2 = \frac{1}{4}x^2 = (\frac{1}{2}x)^2$, значит $a=\frac{1}{2}x$.
$b^2 = 1 = 1^2$, значит $b=1$.
Проверим средний член: $2ab = 2 \cdot \frac{1}{2}x \cdot 1 = x$. Он совпадает.
Таким образом, выражение равно $(\frac{1}{2}x + 1)^2$.
Ответ: $(\frac{1}{2}x + 1)^2$.

ж) В выражении $y - y^2 - 0,25$ вынесем минус за скобки: $-(y^2 - y + 0,25)$.
Выражение в скобках $y^2 - y + 0,25$ является квадратом разности $(a-b)^2 = a^2 - 2ab + b^2$.
Здесь $a^2 = y^2$, значит $a=y$.
$b^2 = 0,25 = 0,5^2$, значит $b=0,5$.
Проверим средний член: $-2ab = -2 \cdot y \cdot 0,5 = -y$. Он совпадает.
Следовательно, $y^2 - y + 0,25 = (y - 0,5)^2$.
Исходное выражение равно $-(y - 0,5)^2$.
Ответ: $-(y - 0,5)^2$.

з) Выражение $9 - m + \frac{1}{36}m^2$ можно представить в виде квадрата разности по формуле $(a-b)^2 = a^2 - 2ab + b^2$.
Здесь $a^2 = 9 = 3^2$, значит $a=3$.
$b^2 = \frac{1}{36}m^2 = (\frac{1}{6}m)^2$, значит $b=\frac{1}{6}m$.
Проверим средний член: $-2ab = -2 \cdot 3 \cdot \frac{1}{6}m = -m$. Он совпадает.
Таким образом, выражение равно $(3 - \frac{1}{6}m)^2$.
Ответ: $(3 - \frac{1}{6}m)^2$.

и) В выражении $-25 - 2n - 0,04n^2$ все члены отрицательны. Вынесем минус за скобки: $-(25 + 2n + 0,04n^2)$.
Выражение в скобках $25 + 2n + 0,04n^2$ является квадратом суммы $(a+b)^2 = a^2 + 2ab + b^2$.
Здесь $a^2 = 25 = 5^2$, значит $a=5$.
$b^2 = 0,04n^2 = (0,2n)^2$, значит $b=0,2n$.
Проверим средний член: $2ab = 2 \cdot 5 \cdot 0,2n = 2n$. Он совпадает.
Следовательно, $25 + 2n + 0,04n^2 = (5 + 0,2n)^2$.
Исходное выражение равно $-(5 + 0,2n)^2$.
Ответ: $-(5 + 0,2n)^2$.

Решение 3. №986 (с. 195)
Алгебра, 7 класс Учебник, авторы: Макарычев Юрий Николаевич, Миндюк Нора Григорьевна, Нешков Константин Иванович, Суворова Светлана Борисовна, издательство Просвещение, Москва, 2023, белого цвета, страница 195, номер 986, Решение 3
Решение 4. №986 (с. 195)
Алгебра, 7 класс Учебник, авторы: Макарычев Юрий Николаевич, Миндюк Нора Григорьевна, Нешков Константин Иванович, Суворова Светлана Борисовна, издательство Просвещение, Москва, 2023, белого цвета, страница 195, номер 986, Решение 4
Решение 5. №986 (с. 195)
Алгебра, 7 класс Учебник, авторы: Макарычев Юрий Николаевич, Миндюк Нора Григорьевна, Нешков Константин Иванович, Суворова Светлана Борисовна, издательство Просвещение, Москва, 2023, белого цвета, страница 195, номер 986, Решение 5 Алгебра, 7 класс Учебник, авторы: Макарычев Юрий Николаевич, Миндюк Нора Григорьевна, Нешков Константин Иванович, Суворова Светлана Борисовна, издательство Просвещение, Москва, 2023, белого цвета, страница 195, номер 986, Решение 5 (продолжение 2)

Помогло решение? Оставьте отзыв в комментариях ниже.

Присоединяйтесь к Телеграм-группе @top_gdz

Присоединиться

Мы подготовили для вас ответ c подробным объяснением домашего задания по алгебре за 7 класс, для упражнения номер 986 расположенного на странице 195 к учебнику 2023 года издания для учащихся школ и гимназий.

Теперь на нашем сайте ГДЗ.ТОП вы всегда легко и бесплатно найдёте условие с правильным ответом на вопрос «Как решить ДЗ» и «Как сделать» задание по алгебре к упражнению №986 (с. 195), авторов: Макарычев (Юрий Николаевич), Миндюк (Нора Григорьевна), Нешков (Константин Иванович), Суворова (Светлана Борисовна), ФГОС (новый, красный) базовый уровень обучения учебного пособия издательства Просвещение.