Номер 1024, страница 257 - гдз по геометрии 7-9 класс учебник Атанасян, Бутузов

Геометрия, 7-9 класс Учебник, авторы: Атанасян Левон Сергеевич, Бутузов Валентин Фёдорович, Кадомцев Сергей Борисович, Позняк Эдуард Генрихович, Юдина Ирина Игоревна, издательство Просвещение, Москва, 2013 - 2022

Авторы: Атанасян Л. С., Бутузов В. Ф., Кадомцев С. Б., Позняк Э. Г., Юдина И. И.

Тип: Учебник

Издательство: Просвещение

Год издания: 2013 - 2022

Цвет обложки: синий, голубой

ISBN: 978-5-09-035930-6 (2016)

Рекомендовано Министерством образования и науки Российской Федерации

Популярные ГДЗ в 7 классе

Глава 11. Соотношения между сторонами и углами треугольника. Скалярное произведение векторов. Параграф 2. Соотношения между сторонами и углами треугольника - номер 1024, страница 257.

№1024 (с. 257)
Условие. №1024 (с. 257)
скриншот условия
Геометрия, 7-9 класс Учебник, авторы: Атанасян Левон Сергеевич, Бутузов Валентин Фёдорович, Кадомцев Сергей Борисович, Позняк Эдуард Генрихович, Юдина Ирина Игоревна, издательство Просвещение, Москва, 2013 - 2022, страница 257, номер 1024, Условие

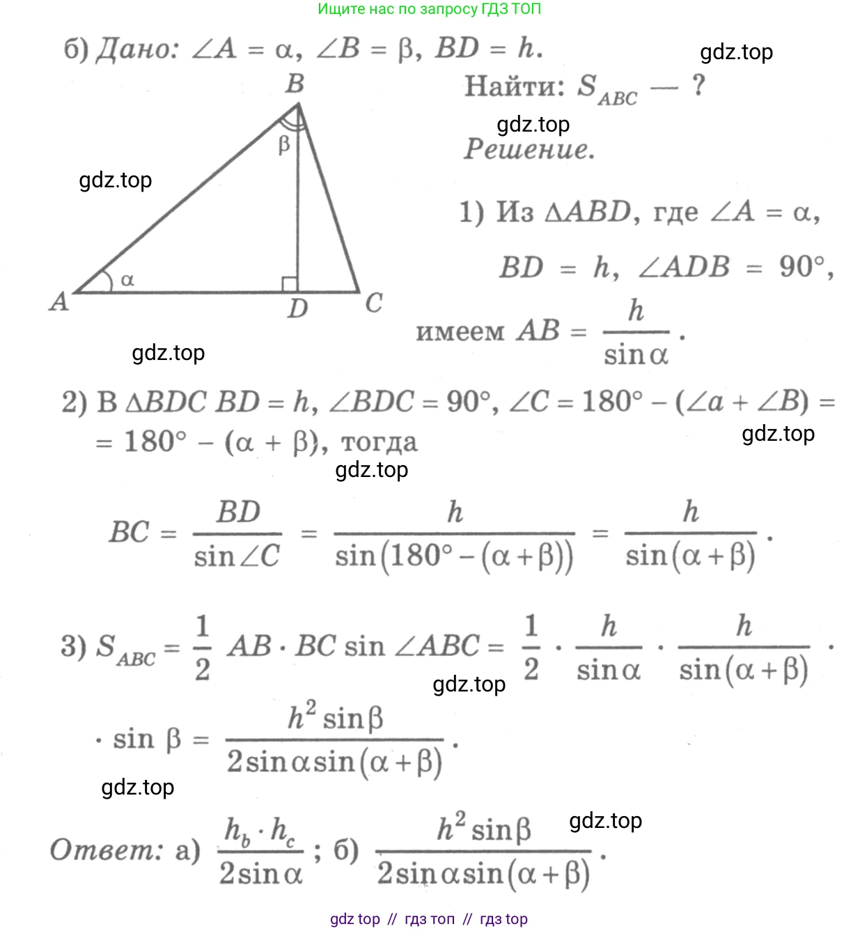
1024 Найдите площадь треугольника $ABC$, если:

а) $\angle A = \alpha$, а высоты, проведённые из вершин $B$ и $C$, соответственно равны $h_b$ и $h_c$;

б) $\angle A = \alpha$, $\angle B = \beta$, а высота, проведённая из вершины $B$, равна $h$.

Решение 1. №1024 (с. 257)
Геометрия, 7-9 класс Учебник, авторы: Атанасян Левон Сергеевич, Бутузов Валентин Фёдорович, Кадомцев Сергей Борисович, Позняк Эдуард Генрихович, Юдина Ирина Игоревна, издательство Просвещение, Москва, 2013 - 2022, страница 257, номер 1024, Решение 1
Геометрия, 7-9 класс Учебник, авторы: Атанасян Левон Сергеевич, Бутузов Валентин Фёдорович, Кадомцев Сергей Борисович, Позняк Эдуард Генрихович, Юдина Ирина Игоревна, издательство Просвещение, Москва, 2013 - 2022, страница 257, номер 1024, Решение 1 (продолжение 2)
Решение 2. №1024 (с. 257)
Геометрия, 7-9 класс Учебник, авторы: Атанасян Левон Сергеевич, Бутузов Валентин Фёдорович, Кадомцев Сергей Борисович, Позняк Эдуард Генрихович, Юдина Ирина Игоревна, издательство Просвещение, Москва, 2013 - 2022, страница 257, номер 1024, Решение 2
Геометрия, 7-9 класс Учебник, авторы: Атанасян Левон Сергеевич, Бутузов Валентин Фёдорович, Кадомцев Сергей Борисович, Позняк Эдуард Генрихович, Юдина Ирина Игоревна, издательство Просвещение, Москва, 2013 - 2022, страница 257, номер 1024, Решение 2 (продолжение 2)
Решение 3. №1024 (с. 257)
Геометрия, 7-9 класс Учебник, авторы: Атанасян Левон Сергеевич, Бутузов Валентин Фёдорович, Кадомцев Сергей Борисович, Позняк Эдуард Генрихович, Юдина Ирина Игоревна, издательство Просвещение, Москва, 2013 - 2022, страница 257, номер 1024, Решение 3
Решение 4. №1024 (с. 257)
Геометрия, 7-9 класс Учебник, авторы: Атанасян Левон Сергеевич, Бутузов Валентин Фёдорович, Кадомцев Сергей Борисович, Позняк Эдуард Генрихович, Юдина Ирина Игоревна, издательство Просвещение, Москва, 2013 - 2022, страница 257, номер 1024, Решение 4
Решение 5. №1024 (с. 257)
Геометрия, 7-9 класс Учебник, авторы: Атанасян Левон Сергеевич, Бутузов Валентин Фёдорович, Кадомцев Сергей Борисович, Позняк Эдуард Генрихович, Юдина Ирина Игоревна, издательство Просвещение, Москва, 2013 - 2022, страница 257, номер 1024, Решение 5
Решение 6. №1024 (с. 257)
Геометрия, 7-9 класс Учебник, авторы: Атанасян Левон Сергеевич, Бутузов Валентин Фёдорович, Кадомцев Сергей Борисович, Позняк Эдуард Генрихович, Юдина Ирина Игоревна, издательство Просвещение, Москва, 2013 - 2022, страница 257, номер 1024, Решение 6 Геометрия, 7-9 класс Учебник, авторы: Атанасян Левон Сергеевич, Бутузов Валентин Фёдорович, Кадомцев Сергей Борисович, Позняк Эдуард Генрихович, Юдина Ирина Игоревна, издательство Просвещение, Москва, 2013 - 2022, страница 257, номер 1024, Решение 6 (продолжение 2)
Решение 7. №1024 (с. 257)
Геометрия, 7-9 класс Учебник, авторы: Атанасян Левон Сергеевич, Бутузов Валентин Фёдорович, Кадомцев Сергей Борисович, Позняк Эдуард Генрихович, Юдина Ирина Игоревна, издательство Просвещение, Москва, 2013 - 2022, страница 257, номер 1024, Решение 7 Геометрия, 7-9 класс Учебник, авторы: Атанасян Левон Сергеевич, Бутузов Валентин Фёдорович, Кадомцев Сергей Борисович, Позняк Эдуард Генрихович, Юдина Ирина Игоревна, издательство Просвещение, Москва, 2013 - 2022, страница 257, номер 1024, Решение 7 (продолжение 2)
Решение 8. №1024 (с. 257)
Геометрия, 7-9 класс Учебник, авторы: Атанасян Левон Сергеевич, Бутузов Валентин Фёдорович, Кадомцев Сергей Борисович, Позняк Эдуард Генрихович, Юдина Ирина Игоревна, издательство Просвещение, Москва, 2013 - 2022, страница 257, номер 1024, Решение 8 Геометрия, 7-9 класс Учебник, авторы: Атанасян Левон Сергеевич, Бутузов Валентин Фёдорович, Кадомцев Сергей Борисович, Позняк Эдуард Генрихович, Юдина Ирина Игоревна, издательство Просвещение, Москва, 2013 - 2022, страница 257, номер 1024, Решение 8 (продолжение 2)
Решение 9. №1024 (с. 257)
Геометрия, 7-9 класс Учебник, авторы: Атанасян Левон Сергеевич, Бутузов Валентин Фёдорович, Кадомцев Сергей Борисович, Позняк Эдуард Генрихович, Юдина Ирина Игоревна, издательство Просвещение, Москва, 2013 - 2022, страница 257, номер 1024, Решение 9 Геометрия, 7-9 класс Учебник, авторы: Атанасян Левон Сергеевич, Бутузов Валентин Фёдорович, Кадомцев Сергей Борисович, Позняк Эдуард Генрихович, Юдина Ирина Игоревна, издательство Просвещение, Москва, 2013 - 2022, страница 257, номер 1024, Решение 9 (продолжение 2)
Решение 10. №1024 (с. 257)

а) Обозначим стороны треугольника, прилежащие к углу $\angle A=\alpha$, как $AB=c$ и $AC=b$. Высота, проведенная из вершины B к стороне AC, по условию равна $h_b$. Высота, проведенная из вершины C к стороне AB, равна $h_c$.
Из прямоугольного треугольника, образованного высотой $h_b$ и стороной $c$ (которая является гипотенузой), имеем: $h_b = c \cdot \sin(\alpha)$. Отсюда можно выразить сторону $c$: $c = \frac{h_b}{\sin(\alpha)}$.
Аналогично, из прямоугольного треугольника, образованного высотой $h_c$ и стороной $b$, имеем: $h_c = b \cdot \sin(\alpha)$. Отсюда выразим сторону $b$: $b = \frac{h_c}{\sin(\alpha)}$.
Площадь треугольника $ABC$ можно найти по формуле, использующей две стороны и угол между ними: $S = \frac{1}{2}bc\sin(\alpha)$.
Подставим в эту формулу найденные выражения для сторон $b$ и $c$:
$S = \frac{1}{2} \cdot \left(\frac{h_c}{\sin(\alpha)}\right) \cdot \left(\frac{h_b}{\sin(\alpha)}\right) \cdot \sin(\alpha) = \frac{h_b h_c}{2\sin(\alpha)}$.
Ответ: $S = \frac{h_b h_c}{2\sin(\alpha)}$

б) Обозначим стороны треугольника $AB=c$ и $BC=a$. Высота, проведенная из вершины B на сторону AC, по условию равна $h$. Углы треугольника равны $\angle A = \alpha$ и $\angle B = \beta$.
Найдем третий угол треугольника, $\angle C$: $\angle C = 180^\circ - (\alpha + \beta)$.
Рассмотрим прямоугольный треугольник, образованный высотой $h$ и стороной $c$. В этом треугольнике высота $h$ является катетом, противолежащим углу $\angle A=\alpha$. Таким образом, $h = c \cdot \sin(\alpha)$, откуда $c = \frac{h}{\sin(\alpha)}$.
Теперь рассмотрим прямоугольный треугольник, образованный высотой $h$ и стороной $a$. Здесь высота $h$ является катетом, противолежащим углу $\angle C$. Таким образом, $h = a \cdot \sin(\angle C)$. Подставляя выражение для угла $C$, получаем $h = a \cdot \sin(180^\circ - (\alpha + \beta)) = a \cdot \sin(\alpha + \beta)$. Отсюда $a = \frac{h}{\sin(\alpha + \beta)}$.
Площадь треугольника $ABC$ можно вычислить, зная две стороны $a$ и $c$ и угол $\angle B = \beta$ между ними: $S = \frac{1}{2}ac\sin(\beta)$.
Подставим найденные выражения для $a$ и $c$ в эту формулу:
$S = \frac{1}{2} \cdot \left(\frac{h}{\sin(\alpha + \beta)}\right) \cdot \left(\frac{h}{\sin(\alpha)}\right) \cdot \sin(\beta) = \frac{h^2 \sin(\beta)}{2\sin(\alpha)\sin(\alpha+\beta)}$.
Ответ: $S = \frac{h^2 \sin(\beta)}{2\sin(\alpha)\sin(\alpha+\beta)}$

Помогло решение? Оставьте отзыв в комментариях ниже.

Присоединяйтесь к Телеграм-группе @top_gdz

Присоединиться

Мы подготовили для вас ответ c подробным объяснением домашего задания по геометрии за 7-9 класс, для упражнения номер 1024 расположенного на странице 257 к учебнику 2013 - 2022 года издания для учащихся школ и гимназий.

Теперь на нашем сайте ГДЗ.ТОП вы всегда легко и бесплатно найдёте условие с правильным ответом на вопрос «Как решить ДЗ» и «Как сделать» задание по геометрии к упражнению №1024 (с. 257), авторов: Атанасян (Левон Сергеевич), Бутузов (Валентин Фёдорович), Кадомцев (Сергей Борисович), Позняк (Эдуард Генрихович), Юдина (Ирина Игоревна), ФГОС (старый) учебного пособия издательства Просвещение.