Геометрия 3D, страница 29 - гдз по геометрии 7 класс учебник Казаков

Геометрия, 7 класс Учебник, автор: Казаков Валерий Владимирович, издательство Народная асвета, Минск, 2022, бирюзового цвета

Авторы: Казаков В. В.

Тип: Учебник

Издательство: Народная асвета

Год издания: 2022 - 2026

Цвет обложки: бирюзовый

ISBN: 978-985-03-3797-9

Допущено Министерством образования Республики Беларусь

Популярные ГДЗ в 7 классе

Глава 1. Начальные понятия геометрии. Параграф 3. Прямая. Луч. Отрезок. Ломаная. Задания к § 3. Подводим итоги - страница 29.

Геометрия 3D (с. 29)
Условие. Геометрия 3D (с. 29)
скриншот условия
Геометрия, 7 класс Учебник, автор: Казаков Валерий Владимирович, издательство Народная асвета, Минск, 2022, бирюзового цвета, страница 29, Условие

Геометрия 3D

Геометрическое тело, поверхность которого состоит из конечного числа многоугольников, называется многогранником.

многогранники

Многогранник является прямоугольный параллелепипед, все шесть его граней — прямоугольники (рис. 46). Длины трех его ребер, имеющих общую вершину, называются измерениями прямоугольного параллелепипеда. Это его длина, ширина и высота. Например, $AD = a$, $DC = b$ и $DD_1 = c$ — измерения параллелепипеда. Объем прямоугольного параллелепипеда находится по формуле $V = abc$.

Рис. 46

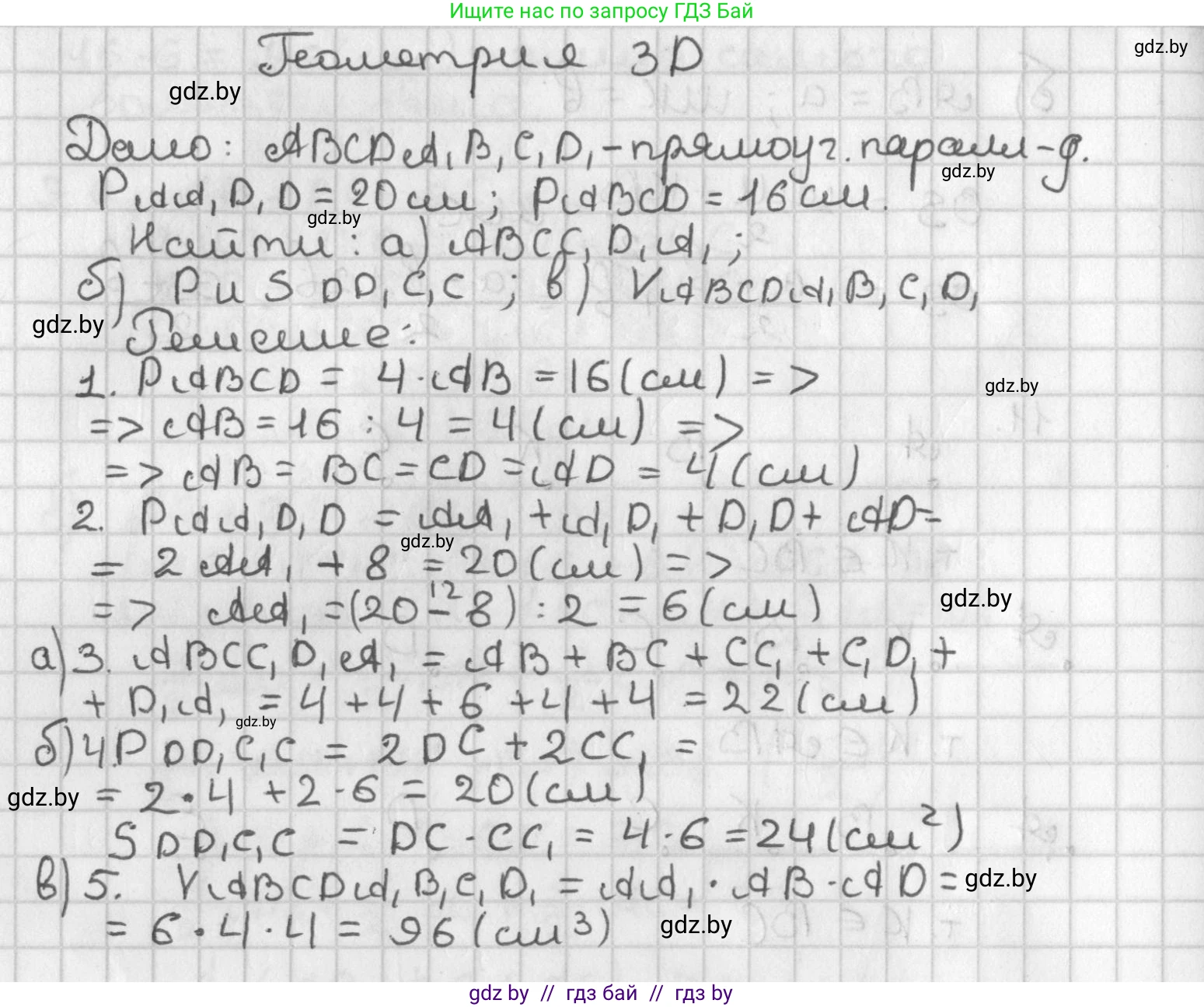
Задача. У прямоугольного параллелепипеда (см. рис. 46) периметр грани $AA_1D_1D$ равен 20 см, грань $ABCD$ — квадрат с периметром 16 см.

Найдите:

а) длину пространственной ломаной $ABCC_1D_1A_1$;

б) периметр и площадь грани $DD_1C_1C$;

в) объем параллелепипеда.

Решение 1. Геометрия 3D (с. 29)
Геометрия, 7 класс Учебник, автор: Казаков Валерий Владимирович, издательство Народная асвета, Минск, 2022, бирюзового цвета, страница 29, Решение 1 Геометрия, 7 класс Учебник, автор: Казаков Валерий Владимирович, издательство Народная асвета, Минск, 2022, бирюзового цвета, страница 29, Решение 1 (продолжение 2)
Решение 2. Геометрия 3D (с. 29)
Геометрия, 7 класс Учебник, автор: Казаков Валерий Владимирович, издательство Народная асвета, Минск, 2022, бирюзового цвета, страница 29, Решение 2
Решение 3. Геометрия 3D (с. 29)

Для решения задачи сначала найдем измерения прямоугольного параллелепипеда: длину $a$, ширину $b$ и высоту $c$.

Из условия известно, что грань $ABCD$ — это квадрат с периметром 16 см. Периметр квадрата вычисляется по формуле $P = 4 \times \text{сторона}$. Следовательно, длина стороны квадрата равна $16 / 4 = 4$ см. Так как основание $ABCD$ является квадратом, его длина и ширина равны: $a = AD = 4$ см и $b = DC = 4$ см.

Также по условию, периметр грани $AA₁D₁D$ равен 20 см. Эта грань является прямоугольником со сторонами $AD=a$ и $AA₁=c$. Периметр прямоугольника равен $P = 2 \times (a+c)$. Подставим известные значения: $2 \times (4 + c) = 20$. Решая уравнение, получаем $4 + c = 10$, откуда находим высоту $c = 6$ см.

Таким образом, измерения параллелепипеда: $a=4$ см, $b=4$ см, $c=6$ см.

а) длину пространственной ломаной ABCC₁D₁A₁

Длина пространственной ломаной — это сумма длин ее звеньев: $L = AB + BC + CC₁ + C₁D₁ + D₁A₁$.

В прямоугольном параллелепипеде противоположные ребра равны, поэтому находим длины каждого звена:
$AB = DC = b = 4$ см
$BC = AD = a = 4$ см
$CC₁ = DD₁ = c = 6$ см
$C₁D₁ = CD = b = 4$ см
$D₁A₁ = DA = a = 4$ см

Теперь сложим длины: $L = 4 + 4 + 6 + 4 + 4 = 22$ см.

Ответ: 22 см.

б) периметр и площадь грани DD₁C₁C

Грань $DD₁C₁C$ — это прямоугольник со сторонами $DC = b = 4$ см и $DD₁ = c = 6$ см.

Периметр этой грани вычисляется по формуле $P = 2 \times (b + c)$. Подставляя значения, получаем: $P = 2 \times (4 + 6) = 2 \times 10 = 20$ см.

Площадь этой грани вычисляется по формуле $S = b \times c$. Подставляя значения, получаем: $S = 4 \times 6 = 24$ см².

Ответ: периметр 20 см, площадь 24 см².

в) объем параллелепипеда

Объем $V$ прямоугольного параллелепипеда находится по формуле $V = a \times b \times c$.

Подставляем найденные значения измерений: $V = 4 \times 4 \times 6 = 96$ см³.

Ответ: 96 см³.

Помогло решение? Оставьте отзыв в комментариях ниже.

Присоединяйтесь к Телеграм-группе @gdz_by_belarus

Присоединиться

Мы подготовили для вас ответ c подробным объяснением домашего задания по геометрии за 7 класс, для упражнения Геометрия 3D расположенного на странице 29 к учебнику 2022 года издания для учащихся школ и гимназий.

Теперь на нашем сайте ГДЗ.ТОП вы всегда легко и бесплатно найдёте условие с правильным ответом на вопрос «Как решить ДЗ» и «Как сделать» задание по геометрии к упражнению Геометрия 3D (с. 29), автора: Казаков (Валерий Владимирович), учебного пособия издательства Народная асвета.