Номер 30, страница 8 - гдз по алгебре 8 класс учебник Арефьева, Пирютко

Алгебра, 8 класс Учебник, авторы: Арефьева Ирина Глебовна, Пирютко Ольга Николаевна, издательство Адукацыя i выхаванне, Минск, 2024, бирюзового цвета

Авторы: Арефьева И. Г., Пирютко О. Н.

Тип: Учебник

Издательство: Адукацыя i выхаванне

Год издания: 2024 - 2026

Цвет обложки: бирюзовый с графиком

ISBN: ISBN 978-985-03-4081-8

Допущено Министерством образования Республики Беларусь

Популярные ГДЗ в 8 классе

Повторение курса алгебры 7-го класса. Выражения и их преобразования - номер 30, страница 8.

№30 (с. 8)
Условие. №30 (с. 8)
скриншот условия
Алгебра, 8 класс Учебник, авторы: Арефьева Ирина Глебовна, Пирютко Ольга Николаевна, издательство Адукацыя i выхаванне, Минск, 2024, бирюзового цвета, страница 8, номер 30, Условие

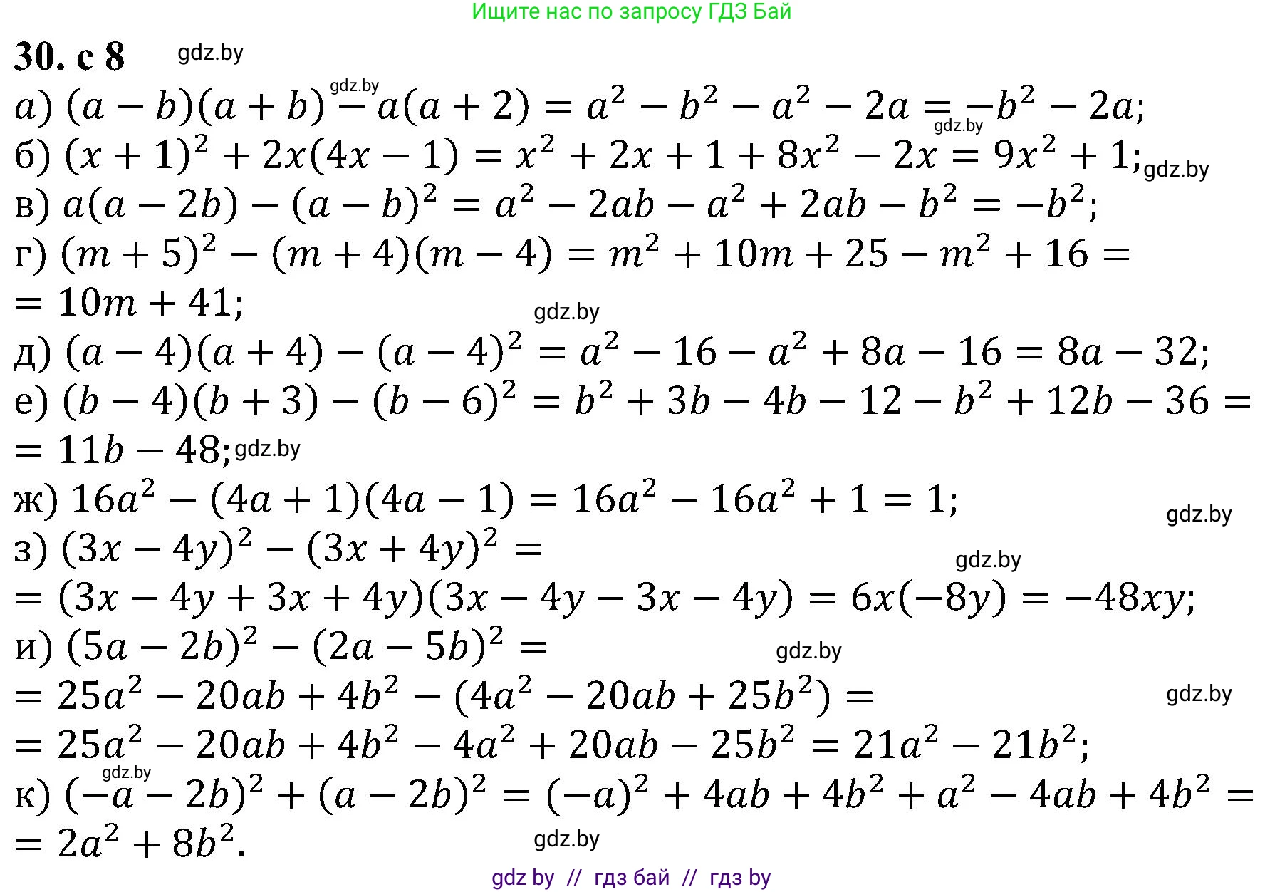
30. Используйте формулы сокращенного умножения и правила раскрытия скобок для упрощения выражения:

а) $(a - b)(a + b) - a(a + 2);$

б) $(x + 1)^2 + 2x(4x - 1);$

в) $a(a - 2b) - (a - b)^2;$

г) $(m + 5)^2 - (m + 4)(m - 4);$

д) $(a - 4)(a + 4) - (a - 4)^2;$

е) $(b - 4)(b + 3) - (b - 6)^2;$

ж) $16a^2 - (4a + 1)(4a - 1);$

з) $(3x - 4y)^2 - (3x + 4y)^2;$

и) $(5a - 2b)^2 - (2a - 5b)^2;$

к) $(-a - 2b)^2 + (a - 2b)^2.$

Решение. №30 (с. 8)
Алгебра, 8 класс Учебник, авторы: Арефьева Ирина Глебовна, Пирютко Ольга Николаевна, издательство Адукацыя i выхаванне, Минск, 2024, бирюзового цвета, страница 8, номер 30, Решение
Решение 2. №30 (с. 8)

а) Упростим выражение $(a-b)(a+b) - a(a+2)$.
Применим формулу разности квадратов $(x-y)(x+y) = x^2 - y^2$ к первой части:$$(a-b)(a+b) = a^2 - b^2$$Раскроем скобки во второй части с помощью распределительного закона:$$-a(a+2) = -a^2 - 2a$$Теперь объединим результаты:$$a^2 - b^2 - a^2 - 2a$$Приведем подобные слагаемые:$$(a^2 - a^2) - b^2 - 2a = -b^2 - 2a$$Ответ: $-b^2-2a$

б) Упростим выражение $(x+1)^2 + 2x(4x-1)$.
Применим формулу квадрата суммы $(x+y)^2 = x^2 + 2xy + y^2$:$$(x+1)^2 = x^2 + 2 \cdot x \cdot 1 + 1^2 = x^2 + 2x + 1$$Раскроем скобки во второй части:$$2x(4x-1) = 2x \cdot 4x - 2x \cdot 1 = 8x^2 - 2x$$Объединим и приведем подобные слагаемые:$$x^2 + 2x + 1 + 8x^2 - 2x = (x^2+8x^2) + (2x-2x) + 1 = 9x^2 + 1$$Ответ: $9x^2+1$

в) Упростим выражение $a(a-2b) - (a-b)^2$.
Раскроем первые скобки:$$a(a-2b) = a^2 - 2ab$$Применим формулу квадрата разности $(x-y)^2 = x^2 - 2xy + y^2$:$$(a-b)^2 = a^2 - 2ab + b^2$$Объединим результаты, учитывая знак минус перед скобкой:$$a^2 - 2ab - (a^2 - 2ab + b^2) = a^2 - 2ab - a^2 + 2ab - b^2$$Приведем подобные слагаемые:$$(a^2 - a^2) + (-2ab + 2ab) - b^2 = -b^2$$Ответ: $-b^2$

г) Упростим выражение $(m+5)^2 - (m+4)(m-4)$.
Применим формулу квадрата суммы:$$(m+5)^2 = m^2 + 2 \cdot m \cdot 5 + 5^2 = m^2 + 10m + 25$$Применим формулу разности квадратов:$$(m+4)(m-4) = m^2 - 4^2 = m^2 - 16$$Объединим и раскроем скобки:$$(m^2 + 10m + 25) - (m^2 - 16) = m^2 + 10m + 25 - m^2 + 16$$Приведем подобные слагаемые:$$(m^2 - m^2) + 10m + (25+16) = 10m + 41$$Ответ: $10m+41$

д) Упростим выражение $(a-4)(a+4) - (a-4)^2$.
Применим формулу разности квадратов:$$(a-4)(a+4) = a^2 - 4^2 = a^2 - 16$$Применим формулу квадрата разности:$$(a-4)^2 = a^2 - 2 \cdot a \cdot 4 + 4^2 = a^2 - 8a + 16$$Объединим и раскроем скобки:$$(a^2 - 16) - (a^2 - 8a + 16) = a^2 - 16 - a^2 + 8a - 16$$Приведем подобные слагаемые:$$(a^2 - a^2) + 8a + (-16-16) = 8a - 32$$Ответ: $8a-32$

е) Упростим выражение $(b-4)(b+3) - (b-6)^2$.
Раскроем первые скобки (перемножим многочлены):$$(b-4)(b+3) = b^2 + 3b - 4b - 12 = b^2 - b - 12$$Применим формулу квадрата разности:$$(b-6)^2 = b^2 - 2 \cdot b \cdot 6 + 6^2 = b^2 - 12b + 36$$Объединим и раскроем скобки:$$(b^2 - b - 12) - (b^2 - 12b + 36) = b^2 - b - 12 - b^2 + 12b - 36$$Приведем подобные слагаемые:$$(b^2 - b^2) + (-b + 12b) + (-12 - 36) = 11b - 48$$Ответ: $11b-48$

ж) Упростим выражение $16a^2 - (4a+1)(4a-1)$.
Применим формулу разности квадратов ко второй части:$$(4a+1)(4a-1) = (4a)^2 - 1^2 = 16a^2 - 1$$Подставим в исходное выражение:$$16a^2 - (16a^2 - 1) = 16a^2 - 16a^2 + 1$$Приведем подобные слагаемые:$$(16a^2 - 16a^2) + 1 = 1$$Ответ: $1$

з) Упростим выражение $(3x-4y)^2 - (3x+4y)^2$.
Здесь можно применить формулу разности квадратов $A^2 - B^2 = (A-B)(A+B)$, где $A = (3x-4y)$ и $B = (3x+4y)$.
$$A - B = (3x - 4y) - (3x + 4y) = 3x - 4y - 3x - 4y = -8y$$$$A + B = (3x - 4y) + (3x + 4y) = 3x - 4y + 3x + 4y = 6x$$Перемножим результаты:$$(A-B)(A+B) = (-8y)(6x) = -48xy$$Ответ: $-48xy$

и) Упростим выражение $(5a-2b)^2 - (2a-5b)^2$.
Применим формулу разности квадратов $A^2 - B^2 = (A-B)(A+B)$, где $A = (5a-2b)$ и $B = (2a-5b)$.
$$A - B = (5a - 2b) - (2a - 5b) = 5a - 2b - 2a + 5b = 3a + 3b$$$$A + B = (5a - 2b) + (2a - 5b) = 5a - 2b + 2a - 5b = 7a - 7b$$Перемножим результаты:$$(3a + 3b)(7a - 7b) = 3(a+b) \cdot 7(a-b) = 21(a+b)(a-b) = 21(a^2 - b^2) = 21a^2 - 21b^2$$Ответ: $21a^2-21b^2$

к) Упростим выражение $(-a-2b)^2 + (a-2b)^2$.
Используем свойство $(-x)^2 = x^2$. Тогда $(-a-2b)^2 = (-(a+2b))^2 = (a+2b)^2$. Выражение принимает вид:$$(a+2b)^2 + (a-2b)^2$$Раскроем квадраты суммы и разности:$$(a^2 + 2 \cdot a \cdot 2b + (2b)^2) + (a^2 - 2 \cdot a \cdot 2b + (2b)^2)$$$$(a^2 + 4ab + 4b^2) + (a^2 - 4ab + 4b^2)$$Объединим и приведем подобные слагаемые:$$a^2 + 4ab + 4b^2 + a^2 - 4ab + 4b^2 = (a^2+a^2) + (4ab-4ab) + (4b^2+4b^2) = 2a^2 + 8b^2$$Ответ: $2a^2+8b^2$

Помогло решение? Оставьте отзыв в комментариях ниже.

Присоединяйтесь к Телеграм-группе @gdz_by_belarus

Присоединиться

Мы подготовили для вас ответ c подробным объяснением домашего задания по алгебре за 8 класс, для упражнения номер 30 расположенного на странице 8 к учебнику 2024 года издания для учащихся школ и гимназий.

Теперь на нашем сайте ГДЗ.ТОП вы всегда легко и бесплатно найдёте условие с правильным ответом на вопрос «Как решить ДЗ» и «Как сделать» задание по алгебре к упражнению №30 (с. 8), авторов: Арефьева (Ирина Глебовна), Пирютко (Ольга Николаевна), учебного пособия издательства Адукацыя i выхаванне.