Номер 1.144, страница 45 - гдз по алгебре 8 класс учебник Арефьева, Пирютко

Алгебра, 8 класс Учебник, авторы: Арефьева Ирина Глебовна, Пирютко Ольга Николаевна, издательство Адукацыя i выхаванне, Минск, 2024, бирюзового цвета

Авторы: Арефьева И. Г., Пирютко О. Н.

Тип: Учебник

Издательство: Адукацыя i выхаванне

Год издания: 2024 - 2026

Цвет обложки: бирюзовый с графиком

ISBN: ISBN 978-985-03-4081-8

Допущено Министерством образования Республики Беларусь

Популярные ГДЗ в 8 классе

Глава 1. Квадратные корни и их свойства. Действительные числа. Параграф 3. Свойства квадратных корней - номер 1.144, страница 45.

№1.144 (с. 45)
Условие. №1.144 (с. 45)
скриншот условия
Алгебра, 8 класс Учебник, авторы: Арефьева Ирина Глебовна, Пирютко Ольга Николаевна, издательство Адукацыя i выхаванне, Минск, 2024, бирюзового цвета, страница 45, номер 1.144, Условие

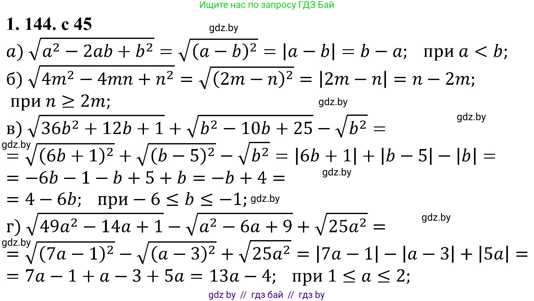
1.144. Представьте в виде многочлена выражение:

а) $\sqrt{a^2 - 2ab + b^2}$ при $a < b;$

б) $\sqrt{4m^2 - 4mn + n^2}$ при $n \geq 2m;$

в) $\sqrt{36b^2 + 12b + 1} + \sqrt{b^2 - 10b + 25} - \sqrt{b^2}$ при $-6 \leq b \leq -1;$

г) $\sqrt{49a^2 - 14a + 1} - \sqrt{a^2 - 6a + 9} + \sqrt{25a^2}$ при $1 \leq a \leq 2.$

Решение. №1.144 (с. 45)
Алгебра, 8 класс Учебник, авторы: Арефьева Ирина Глебовна, Пирютко Ольга Николаевна, издательство Адукацыя i выхаванне, Минск, 2024, бирюзового цвета, страница 45, номер 1.144, Решение
Решение 2. №1.144 (с. 45)

Для решения данных задач воспользуемся свойством квадратного корня $\sqrt{x^2} = |x|$, где $|x|$ - модуль числа $x$. Модуль раскрывается по правилу: $|x| = x$, если $x \ge 0$, и $|x| = -x$, если $x < 0$.

а) Выражение под корнем $a^2 - 2ab + b^2$ является полным квадратом разности $(a - b)^2$.
Следовательно, $\sqrt{a^2 - 2ab + b^2} = \sqrt{(a - b)^2} = |a - b|$.
По условию $a < b$, значит разность $a - b < 0$.
Так как подмодульное выражение отрицательно, раскрываем модуль со знаком минус: $|a - b| = -(a - b) = b - a$.
Ответ: $b - a$.

б) Выражение под корнем $4m^2 - 4mn + n^2$ является полным квадратом разности $(2m - n)^2$.
Следовательно, $\sqrt{4m^2 - 4mn + n^2} = \sqrt{(2m - n)^2} = |2m - n|$.
По условию $n \ge 2m$, что эквивалентно $n - 2m \ge 0$, или $2m - n \le 0$.
Так как подмодульное выражение не положительно, раскрываем модуль со знаком минус (или оно равно нулю, если $n=2m$): $|2m - n| = -(2m - n) = n - 2m$.
Ответ: $n - 2m$.

в) Представим выражение в виде многочлена, упростив каждый член при условии $-6 \le b \le -1$:
1. $\sqrt{36b^2 + 12b + 1} = \sqrt{(6b + 1)^2} = |6b + 1|$.
Оценим знак выражения $6b + 1$. Если $-6 \le b \le -1$, то $-36 \le 6b \le -6$, и $-35 \le 6b + 1 \le -5$. Выражение $6b + 1$ отрицательно.
Поэтому $|6b + 1| = -(6b + 1) = -6b - 1$.
2. $\sqrt{b^2 - 10b + 25} = \sqrt{(b - 5)^2} = |b - 5|$.
Оценим знак выражения $b - 5$. Если $-6 \le b \le -1$, то $-11 \le b - 5 \le -6$. Выражение $b - 5$ отрицательно.
Поэтому $|b - 5| = -(b - 5) = 5 - b$.
3. $\sqrt{b^2} = |b|$.
По условию $b$ находится в диапазоне от -6 до -1, то есть $b < 0$.
Поэтому $|b| = -b$.
Теперь сложим и вычтем полученные многочлены:
$(-6b - 1) + (5 - b) - (-b) = -6b - 1 + 5 - b + b = -6b + 4$.
Ответ: $-6b + 4$.

г) Представим выражение в виде многочлена, упростив каждый член при условии $1 \le a \le 2$:
1. $\sqrt{49a^2 - 14a + 1} = \sqrt{(7a - 1)^2} = |7a - 1|$.
Оценим знак выражения $7a - 1$. Если $1 \le a \le 2$, то $7 \le 7a \le 14$, и $6 \le 7a - 1 \le 13$. Выражение $7a - 1$ положительно.
Поэтому $|7a - 1| = 7a - 1$.
2. $\sqrt{a^2 - 6a + 9} = \sqrt{(a - 3)^2} = |a - 3|$.
Оценим знак выражения $a - 3$. Если $1 \le a \le 2$, то $1-3 \le a - 3 \le 2-3$, то есть $-2 \le a - 3 \le -1$. Выражение $a - 3$ отрицательно.
Поэтому $|a - 3| = -(a - 3) = 3 - a$.
3. $\sqrt{25a^2} = \sqrt{(5a)^2} = |5a|$.
По условию $a$ находится в диапазоне от 1 до 2, то есть $a > 0$, значит и $5a > 0$.
Поэтому $|5a| = 5a$.
Теперь подставим упрощенные выражения в исходное:
$(7a - 1) - (3 - a) + 5a = 7a - 1 - 3 + a + 5a = 13a - 4$.
Ответ: $13a - 4$.

Помогло решение? Оставьте отзыв в комментариях ниже.

Присоединяйтесь к Телеграм-группе @gdz_by_belarus

Присоединиться

Мы подготовили для вас ответ c подробным объяснением домашего задания по алгебре за 8 класс, для упражнения номер 1.144 расположенного на странице 45 к учебнику 2024 года издания для учащихся школ и гимназий.

Теперь на нашем сайте ГДЗ.ТОП вы всегда легко и бесплатно найдёте условие с правильным ответом на вопрос «Как решить ДЗ» и «Как сделать» задание по алгебре к упражнению №1.144 (с. 45), авторов: Арефьева (Ирина Глебовна), Пирютко (Ольга Николаевна), учебного пособия издательства Адукацыя i выхаванне.