Номер 1.194, страница 56 - гдз по алгебре 8 класс учебник Арефьева, Пирютко

Алгебра, 8 класс Учебник, авторы: Арефьева Ирина Глебовна, Пирютко Ольга Николаевна, издательство Адукацыя i выхаванне, Минск, 2024, бирюзового цвета

Авторы: Арефьева И. Г., Пирютко О. Н.

Тип: Учебник

Издательство: Адукацыя i выхаванне

Год издания: 2024 - 2026

Цвет обложки: бирюзовый с графиком

ISBN: ISBN 978-985-03-4081-8

Допущено Министерством образования Республики Беларусь

Популярные ГДЗ в 8 классе

Глава 1. Квадратные корни и их свойства. Действительные числа. Параграф 4. Применение свойств квадратных корней - номер 1.194, страница 56.

№1.194 (с. 56)
Условие. №1.194 (с. 56)
скриншот условия
Алгебра, 8 класс Учебник, авторы: Арефьева Ирина Глебовна, Пирютко Ольга Николаевна, издательство Адукацыя i выхаванне, Минск, 2024, бирюзового цвета, страница 56, номер 1.194, Условие

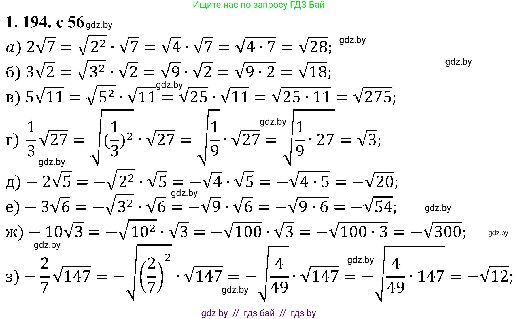
1.194. Пользуясь алгоритмом, внесите множитель под знак корня:

а) $2\sqrt{7}$;

б) $3\sqrt{2}$;

в) $5\sqrt{11}$;

г) $\frac{1}{3}\sqrt{27}$;

д) $-2\sqrt{5}$;

е) $-3\sqrt{6}$;

ж) $-10\sqrt{3}$;

з) $-\frac{2}{7}\sqrt{147}$.

Решение. №1.194 (с. 56)
Алгебра, 8 класс Учебник, авторы: Арефьева Ирина Глебовна, Пирютко Ольга Николаевна, издательство Адукацыя i выхаванне, Минск, 2024, бирюзового цвета, страница 56, номер 1.194, Решение
Решение 2. №1.194 (с. 56)

а) Для внесения положительного множителя $2$ под знак корня, его необходимо возвести в квадрат и результат умножить на подкоренное выражение:

$2\sqrt{7} = \sqrt{2^2 \cdot 7} = \sqrt{4 \cdot 7} = \sqrt{28}$

Ответ: $\sqrt{28}$.

б) Аналогично, вносим положительный множитель $3$ под знак корня, возведя его в квадрат:

$3\sqrt{2} = \sqrt{3^2 \cdot 2} = \sqrt{9 \cdot 2} = \sqrt{18}$

Ответ: $\sqrt{18}$.

в) Вносим положительный множитель $5$ под знак корня:

$5\sqrt{11} = \sqrt{5^2 \cdot 11} = \sqrt{25 \cdot 11} = \sqrt{275}$

Ответ: $\sqrt{275}$.

г) Вносим положительный дробный множитель $\frac{1}{3}$ под знак корня, возводя его в квадрат:

$\frac{1}{3}\sqrt{27} = \sqrt{(\frac{1}{3})^2 \cdot 27} = \sqrt{\frac{1}{9} \cdot 27} = \sqrt{\frac{27}{9}}$

Под корнем находится неправильная дробь $\frac{27}{9}$. Выделим из нее целую часть, выполнив деление: $27 \div 9 = 3$.

Следовательно, $\sqrt{\frac{27}{9}} = \sqrt{3}$.

Ответ: $\sqrt{3}$.

д) При внесении отрицательного множителя $-2$ под знак корня, знак "минус" остается перед корнем. Под корень вносится положительное число $2$, возведенное в квадрат:

$-2\sqrt{5} = -\sqrt{2^2 \cdot 5} = -\sqrt{4 \cdot 5} = -\sqrt{20}$

Ответ: $-\sqrt{20}$.

е) Знак "минус" оставляем перед корнем, а множитель $3$ вносим под корень, возведя его в квадрат:

$-3\sqrt{6} = -\sqrt{3^2 \cdot 6} = -\sqrt{9 \cdot 6} = -\sqrt{54}$

Ответ: $-\sqrt{54}$.

ж) Аналогично предыдущим примерам с отрицательным множителем, знак "минус" остается перед корнем, а множитель $10$ вносится под корень:

$-10\sqrt{3} = -\sqrt{10^2 \cdot 3} = -\sqrt{100 \cdot 3} = -\sqrt{300}$

Ответ: $-\sqrt{300}$.

з) Знак "минус" оставляем перед корнем, а дробный множитель $\frac{2}{7}$ вносим под корень, возведя его в квадрат:

$-\frac{2}{7}\sqrt{147} = -\sqrt{(\frac{2}{7})^2 \cdot 147} = -\sqrt{\frac{4}{49} \cdot 147}$

Чтобы упростить выражение под корнем, заметим, что $147 = 49 \cdot 3$.

$-\sqrt{\frac{4}{49} \cdot (49 \cdot 3)} = -\sqrt{4 \cdot 3} = -\sqrt{12}$.

Можно также было сначала перемножить числители: $4 \cdot 147 = 588$. Тогда под корнем получается неправильная дробь $\frac{588}{49}$. Выделив из нее целую часть, получаем $588 \div 49 = 12$. Результат тот же: $-\sqrt{12}$.

Ответ: $-\sqrt{12}$.

Помогло решение? Оставьте отзыв в комментариях ниже.

Присоединяйтесь к Телеграм-группе @gdz_by_belarus

Присоединиться

Мы подготовили для вас ответ c подробным объяснением домашего задания по алгебре за 8 класс, для упражнения номер 1.194 расположенного на странице 56 к учебнику 2024 года издания для учащихся школ и гимназий.

Теперь на нашем сайте ГДЗ.ТОП вы всегда легко и бесплатно найдёте условие с правильным ответом на вопрос «Как решить ДЗ» и «Как сделать» задание по алгебре к упражнению №1.194 (с. 56), авторов: Арефьева (Ирина Глебовна), Пирютко (Ольга Николаевна), учебного пособия издательства Адукацыя i выхаванне.