Номер 5, страница 95 - гдз по алгебре 8 класс учебник Арефьева, Пирютко

Алгебра, 8 класс Учебник, авторы: Арефьева Ирина Глебовна, Пирютко Ольга Николаевна, издательство Адукацыя i выхаванне, Минск, 2024, бирюзового цвета

Авторы: Арефьева И. Г., Пирютко О. Н.

Тип: Учебник

Издательство: Адукацыя i выхаванне

Год издания: 2024 - 2026

Цвет обложки: бирюзовый с графиком

ISBN: ISBN 978-985-03-4081-8

Допущено Министерством образования Республики Беларусь

Популярные ГДЗ в 8 классе

Глава 1. Квадратные корни и их свойства. Действительные числа. Я проверяю свои знания - номер 5, страница 95.

№5 (с. 95)
Условие. №5 (с. 95)
скриншот условия
Алгебра, 8 класс Учебник, авторы: Арефьева Ирина Глебовна, Пирютко Ольга Николаевна, издательство Адукацыя i выхаванне, Минск, 2024, бирюзового цвета, страница 95, номер 5, Условие

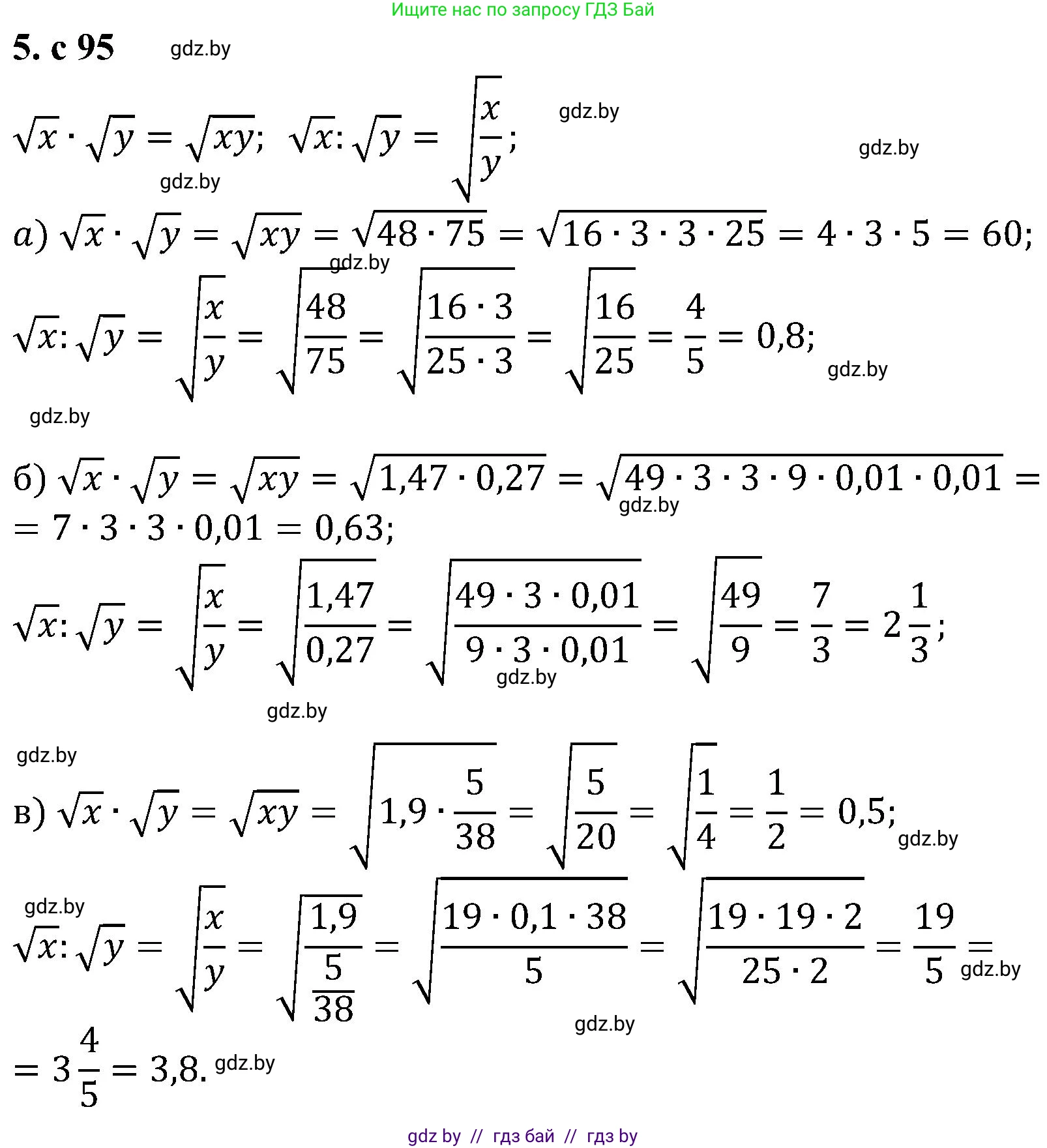
5. Воспользуйтесь свойствами корней и найдите значения выражений $\sqrt{x} \cdot \sqrt{y}$ и $\sqrt{x} : \sqrt{y}$, если:

а) $x = 48; y = 75;$

б) $x = 1,47; y = 0,27;$

в) $x = 1,9; y = \frac{5}{38}.$

Решение. №5 (с. 95)
Алгебра, 8 класс Учебник, авторы: Арефьева Ирина Глебовна, Пирютко Ольга Николаевна, издательство Адукацыя i выхаванне, Минск, 2024, бирюзового цвета, страница 95, номер 5, Решение
Решение 2. №5 (с. 95)

Для решения данной задачи необходимо использовать свойства арифметического квадратного корня для неотрицательных чисел:

  • Свойство произведения корней: Корень из произведения двух неотрицательных чисел равен произведению корней из этих чисел.
    $\sqrt{a \cdot b} = \sqrt{a} \cdot \sqrt{b}$. Мы будем использовать это свойство в обратном порядке: $\sqrt{a} \cdot \sqrt{b} = \sqrt{a \cdot b}$.
  • Свойство частного корней: Корень из частного двух неотрицательных чисел (где делитель не равен нулю) равен частному корней из этих чисел.
    $\sqrt{\frac{a}{b}} = \frac{\sqrt{a}}{\sqrt{b}}$. Мы будем использовать это свойство в обратном порядке: $\sqrt{a} : \sqrt{b} = \sqrt{\frac{a}{b}}$.

а) Для $x = 48$ и $y = 75$:

1. Найдем значение выражения $\sqrt{x} \cdot \sqrt{y}$:
$\sqrt{48} \cdot \sqrt{75} = \sqrt{48 \cdot 75}$
Разложим подкоренные числа на множители, чтобы найти полные квадраты: $48 = 16 \cdot 3$ и $75 = 25 \cdot 3$.
$\sqrt{(16 \cdot 3) \cdot (25 \cdot 3)} = \sqrt{16 \cdot 25 \cdot (3 \cdot 3)} = \sqrt{16 \cdot 25 \cdot 9} = \sqrt{3600} = 60$.

2. Найдем значение выражения $\sqrt{x} : \sqrt{y}$:
$\sqrt{48} : \sqrt{75} = \sqrt{\frac{48}{75}}$
Сократим дробь под корнем, разделив числитель и знаменатель на 3:
$\sqrt{\frac{48 : 3}{75 : 3}} = \sqrt{\frac{16}{25}} = \frac{\sqrt{16}}{\sqrt{25}} = \frac{4}{5}$.

Ответ: для $\sqrt{x} \cdot \sqrt{y}$ значение равно 60; для $\sqrt{x} : \sqrt{y}$ значение равно $\frac{4}{5}$.

б) Для $x = 1,47$ и $y = 0,27$:

1. Найдем значение выражения $\sqrt{x} \cdot \sqrt{y}$:
$\sqrt{1,47} \cdot \sqrt{0,27} = \sqrt{1,47 \cdot 0,27}$
Чтобы избежать умножения десятичных дробей, представим их в виде обыкновенных: $1,47 = \frac{147}{100}$ и $0,27 = \frac{27}{100}$.
$\sqrt{\frac{147}{100} \cdot \frac{27}{100}} = \sqrt{\frac{147 \cdot 27}{10000}} = \sqrt{\frac{(49 \cdot 3) \cdot 27}{10000}} = \sqrt{\frac{49 \cdot 81}{10000}} = \frac{\sqrt{49} \cdot \sqrt{81}}{\sqrt{10000}} = \frac{7 \cdot 9}{100} = \frac{63}{100} = 0,63$.

2. Найдем значение выражения $\sqrt{x} : \sqrt{y}$:
$\sqrt{1,47} : \sqrt{0,27} = \sqrt{\frac{1,47}{0,27}} = \sqrt{\frac{147}{27}}$
Сократим дробь под корнем на 3:
$\sqrt{\frac{147 : 3}{27 : 3}} = \sqrt{\frac{49}{9}} = \frac{\sqrt{49}}{\sqrt{9}} = \frac{7}{3}$.
Так как $\frac{7}{3}$ — неправильная дробь, выделим из нее целую часть: $\frac{7}{3} = 2\frac{1}{3}$.

Ответ: для $\sqrt{x} \cdot \sqrt{y}$ значение равно 0,63; для $\sqrt{x} : \sqrt{y}$ значение равно 2$\frac{1}{3}$.

в) Для $x = 1,9$ и $y = \frac{5}{38}$:

1. Найдем значение выражения $\sqrt{x} \cdot \sqrt{y}$:
$\sqrt{1,9} \cdot \sqrt{\frac{5}{38}} = \sqrt{1,9 \cdot \frac{5}{38}}$
Представим десятичную дробь $1,9$ в виде обыкновенной дроби $\frac{19}{10}$:
$\sqrt{\frac{19}{10} \cdot \frac{5}{38}} = \sqrt{\frac{19 \cdot 5}{10 \cdot 38}} = \sqrt{\frac{19 \cdot 5}{2 \cdot 5 \cdot 2 \cdot 19}} = \sqrt{\frac{1}{4}} = \frac{1}{2} = 0,5$.

2. Найдем значение выражения $\sqrt{x} : \sqrt{y}$:
$\sqrt{1,9} : \sqrt{\frac{5}{38}} = \sqrt{\frac{1,9}{\frac{5}{38}}} = \sqrt{\frac{19}{10} : \frac{5}{38}} = \sqrt{\frac{19}{10} \cdot \frac{38}{5}} = \sqrt{\frac{19 \cdot 38}{10 \cdot 5}} = \sqrt{\frac{722}{50}}$
Сократим дробь под корнем на 2:
$\sqrt{\frac{722:2}{50:2}} = \sqrt{\frac{361}{25}} = \frac{\sqrt{361}}{\sqrt{25}} = \frac{19}{5}$.
Так как $\frac{19}{5}$ — неправильная дробь, выделим из нее целую часть: $\frac{19}{5} = 3\frac{4}{5}$.

Ответ: для $\sqrt{x} \cdot \sqrt{y}$ значение равно 0,5; для $\sqrt{x} : \sqrt{y}$ значение равно 3$\frac{4}{5}$.

Помогло решение? Оставьте отзыв в комментариях ниже.

Присоединяйтесь к Телеграм-группе @gdz_by_belarus

Присоединиться

Мы подготовили для вас ответ c подробным объяснением домашего задания по алгебре за 8 класс, для упражнения номер 5 расположенного на странице 95 к учебнику 2024 года издания для учащихся школ и гимназий.

Теперь на нашем сайте ГДЗ.ТОП вы всегда легко и бесплатно найдёте условие с правильным ответом на вопрос «Как решить ДЗ» и «Как сделать» задание по алгебре к упражнению №5 (с. 95), авторов: Арефьева (Ирина Глебовна), Пирютко (Ольга Николаевна), учебного пособия издательства Адукацыя i выхаванне.