Номер 1.223, страница 60 - гдз по алгебре 8 класс учебник Арефьева, Пирютко

Алгебра, 8 класс Учебник, авторы: Арефьева Ирина Глебовна, Пирютко Ольга Николаевна, издательство Адукацыя i выхаванне, Минск, 2024, бирюзового цвета

Авторы: Арефьева И. Г., Пирютко О. Н.

Тип: Учебник

Издательство: Адукацыя i выхаванне

Год издания: 2024 - 2026

Цвет обложки: бирюзовый с графиком

ISBN: ISBN 978-985-03-4081-8

Допущено Министерством образования Республики Беларусь

Популярные ГДЗ в 8 классе

Глава 1. Квадратные корни и их свойства. Действительные числа. Параграф 4. Применение свойств квадратных корней - номер 1.223, страница 60.

№1.223 (с. 60)
Условие. №1.223 (с. 60)
скриншот условия
Алгебра, 8 класс Учебник, авторы: Арефьева Ирина Глебовна, Пирютко Ольга Николаевна, издательство Адукацыя i выхаванне, Минск, 2024, бирюзового цвета, страница 60, номер 1.223, Условие

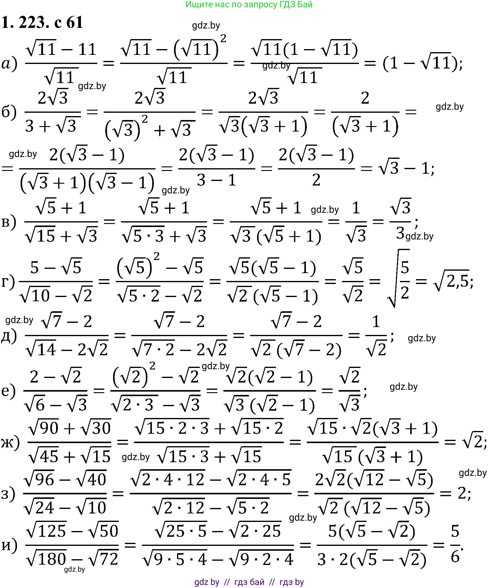
1.223. Сократите дробь:

а) $\frac{\sqrt{11}-11}{\sqrt{11}}$;

б) $\frac{2\sqrt{3}}{3+\sqrt{3}}$;

в) $\frac{\sqrt{5}+1}{\sqrt{15}+\sqrt{3}}$;

г) $\frac{5-\sqrt{5}}{\sqrt{10}-\sqrt{2}}$;

д) $\frac{\sqrt{7}-2}{\sqrt{14}-2\sqrt{2}}$;

е) $\frac{2-\sqrt{2}}{\sqrt{6}-\sqrt{3}}$;

ж) $\frac{\sqrt{90}+\sqrt{30}}{\sqrt{45}+\sqrt{15}}$;

з) $\frac{\sqrt{96}-\sqrt{40}}{\sqrt{24}-\sqrt{10}}$;

и) $\frac{\sqrt{125}-\sqrt{50}}{\sqrt{180}-\sqrt{72}}$.

Решение. №1.223 (с. 60)
Алгебра, 8 класс Учебник, авторы: Арефьева Ирина Глебовна, Пирютко Ольга Николаевна, издательство Адукацыя i выхаванне, Минск, 2024, бирюзового цвета, страница 60, номер 1.223, Решение
Решение 2. №1.223 (с. 60)

а) Чтобы сократить дробь $\frac{\sqrt{11} - 11}{\sqrt{11}}$, представим число $11$ в числителе как $(\sqrt{11})^2$ и вынесем общий множитель $\sqrt{11}$ за скобки:

$\frac{\sqrt{11} - 11}{\sqrt{11}} = \frac{\sqrt{11} - (\sqrt{11})^2}{\sqrt{11}} = \frac{\sqrt{11}(1 - \sqrt{11})}{\sqrt{11}}$

Сокращаем дробь на общий множитель $\sqrt{11}$:

$1 - \sqrt{11}$

Ответ: $1 - \sqrt{11}$.

б) Чтобы сократить дробь $\frac{2\sqrt{3}}{3 + \sqrt{3}}$, представим число $3$ в знаменателе как $(\sqrt{3})^2$ и вынесем общий множитель $\sqrt{3}$ за скобки:

$\frac{2\sqrt{3}}{3 + \sqrt{3}} = \frac{2\sqrt{3}}{(\sqrt{3})^2 + \sqrt{3}} = \frac{2\sqrt{3}}{\sqrt{3}(\sqrt{3} + 1)}$

Сокращаем дробь на $\sqrt{3}$:

$\frac{2}{\sqrt{3} + 1}$

Далее, избавимся от иррациональности в знаменателе, умножив числитель и знаменатель на сопряженное выражение $(\sqrt{3} - 1)$:

$\frac{2(\sqrt{3} - 1)}{(\sqrt{3} + 1)(\sqrt{3} - 1)} = \frac{2(\sqrt{3} - 1)}{(\sqrt{3})^2 - 1^2} = \frac{2(\sqrt{3} - 1)}{3 - 1} = \frac{2(\sqrt{3} - 1)}{2} = \sqrt{3} - 1$

Ответ: $\sqrt{3} - 1$.

в) Чтобы сократить дробь $\frac{\sqrt{5} + 1}{\sqrt{15} + \sqrt{3}}$, преобразуем знаменатель. Заметим, что $\sqrt{15} = \sqrt{5 \cdot 3} = \sqrt{5}\sqrt{3}$. Вынесем общий множитель $\sqrt{3}$ за скобки в знаменателе:

$\sqrt{15} + \sqrt{3} = \sqrt{5}\sqrt{3} + \sqrt{3} = \sqrt{3}(\sqrt{5} + 1)$

Подставим полученное выражение в исходную дробь:

$\frac{\sqrt{5} + 1}{\sqrt{3}(\sqrt{5} + 1)}$

Сокращаем дробь на общий множитель $(\sqrt{5} + 1)$:

$\frac{1}{\sqrt{3}}$

Избавимся от иррациональности в знаменателе:

$\frac{1 \cdot \sqrt{3}}{\sqrt{3} \cdot \sqrt{3}} = \frac{\sqrt{3}}{3}$

Ответ: $\frac{\sqrt{3}}{3}$.

г) Чтобы сократить дробь $\frac{5 - \sqrt{5}}{\sqrt{10} - \sqrt{2}}$, вынесем общие множители за скобки в числителе и знаменателе.

Числитель: $5 - \sqrt{5} = (\sqrt{5})^2 - \sqrt{5} = \sqrt{5}(\sqrt{5} - 1)$

Знаменатель: $\sqrt{10} - \sqrt{2} = \sqrt{5 \cdot 2} - \sqrt{2} = \sqrt{5}\sqrt{2} - \sqrt{2} = \sqrt{2}(\sqrt{5} - 1)$

Подставим преобразованные выражения в дробь:

$\frac{\sqrt{5}(\sqrt{5} - 1)}{\sqrt{2}(\sqrt{5} - 1)}$

Сокращаем на $(\sqrt{5} - 1)$:

$\frac{\sqrt{5}}{\sqrt{2}}$

Избавимся от иррациональности в знаменателе:

$\frac{\sqrt{5} \cdot \sqrt{2}}{\sqrt{2} \cdot \sqrt{2}} = \frac{\sqrt{10}}{2}$

Ответ: $\frac{\sqrt{10}}{2}$.

д) Чтобы сократить дробь $\frac{\sqrt{7} - 2}{\sqrt{14} - 2\sqrt{2}}$, вынесем общий множитель в знаменателе.

Знаменатель: $\sqrt{14} - 2\sqrt{2} = \sqrt{7 \cdot 2} - 2\sqrt{2} = \sqrt{7}\sqrt{2} - 2\sqrt{2} = \sqrt{2}(\sqrt{7} - 2)$

Подставим в дробь:

$\frac{\sqrt{7} - 2}{\sqrt{2}(\sqrt{7} - 2)}$

Сокращаем на $(\sqrt{7} - 2)$:

$\frac{1}{\sqrt{2}}$

Избавимся от иррациональности в знаменателе:

$\frac{1 \cdot \sqrt{2}}{\sqrt{2} \cdot \sqrt{2}} = \frac{\sqrt{2}}{2}$

Ответ: $\frac{\sqrt{2}}{2}$.

е) Чтобы сократить дробь $\frac{2 - \sqrt{2}}{\sqrt{6} - \sqrt{3}}$, вынесем общие множители в числителе и знаменателе.

Числитель: $2 - \sqrt{2} = (\sqrt{2})^2 - \sqrt{2} = \sqrt{2}(\sqrt{2} - 1)$

Знаменатель: $\sqrt{6} - \sqrt{3} = \sqrt{2 \cdot 3} - \sqrt{3} = \sqrt{2}\sqrt{3} - \sqrt{3} = \sqrt{3}(\sqrt{2} - 1)$

Подставим в дробь:

$\frac{\sqrt{2}(\sqrt{2} - 1)}{\sqrt{3}(\sqrt{2} - 1)}$

Сокращаем на $(\sqrt{2} - 1)$:

$\frac{\sqrt{2}}{\sqrt{3}}$

Избавимся от иррациональности в знаменателе:

$\frac{\sqrt{2} \cdot \sqrt{3}}{\sqrt{3} \cdot \sqrt{3}} = \frac{\sqrt{6}}{3}$

Ответ: $\frac{\sqrt{6}}{3}$.

ж) Чтобы сократить дробь $\frac{\sqrt{90} + \sqrt{30}}{\sqrt{45} + \sqrt{15}}$, вынесем общие множители.

Числитель: $\sqrt{90} + \sqrt{30} = \sqrt{3 \cdot 30} + \sqrt{30} = \sqrt{3}\sqrt{30} + \sqrt{30} = \sqrt{30}(\sqrt{3} + 1)$

Знаменатель: $\sqrt{45} + \sqrt{15} = \sqrt{3 \cdot 15} + \sqrt{15} = \sqrt{3}\sqrt{15} + \sqrt{15} = \sqrt{15}(\sqrt{3} + 1)$

Подставим в дробь:

$\frac{\sqrt{30}(\sqrt{3} + 1)}{\sqrt{15}(\sqrt{3} + 1)}$

Сокращаем на $(\sqrt{3} + 1)$:

$\frac{\sqrt{30}}{\sqrt{15}} = \sqrt{\frac{30}{15}} = \sqrt{2}$

Ответ: $\sqrt{2}$.

з) Чтобы сократить дробь $\frac{\sqrt{96} - \sqrt{40}}{\sqrt{24} - \sqrt{10}}$, сначала упростим корни, вынеся множители из-под знака корня.

Числитель: $\sqrt{96} - \sqrt{40} = \sqrt{16 \cdot 6} - \sqrt{4 \cdot 10} = 4\sqrt{6} - 2\sqrt{10}$

Знаменатель: $\sqrt{24} - \sqrt{10} = \sqrt{4 \cdot 6} - \sqrt{10} = 2\sqrt{6} - \sqrt{10}$

В числителе вынесем общий множитель 2 за скобки:

$4\sqrt{6} - 2\sqrt{10} = 2(2\sqrt{6} - \sqrt{10})$

Подставим в дробь:

$\frac{2(2\sqrt{6} - \sqrt{10})}{2\sqrt{6} - \sqrt{10}}$

Сокращаем дробь на выражение $(2\sqrt{6} - \sqrt{10})$ и получаем 2. Целое число 2 можно представить в виде неправильной дроби $\frac{2}{1}$, где целая часть равна 2.

Ответ: 2.

и) Чтобы сократить дробь $\frac{\sqrt{125} - \sqrt{50}}{\sqrt{180} - \sqrt{72}}$, сначала упростим все корни, вынеся множители из-под знака корня.

Числитель: $\sqrt{125} - \sqrt{50} = \sqrt{25 \cdot 5} - \sqrt{25 \cdot 2} = 5\sqrt{5} - 5\sqrt{2} = 5(\sqrt{5} - \sqrt{2})$

Знаменатель: $\sqrt{180} - \sqrt{72} = \sqrt{36 \cdot 5} - \sqrt{36 \cdot 2} = 6\sqrt{5} - 6\sqrt{2} = 6(\sqrt{5} - \sqrt{2})$

Подставим в дробь:

$\frac{5(\sqrt{5} - \sqrt{2})}{6(\sqrt{5} - \sqrt{2})}$

Сокращаем на $(\sqrt{5} - \sqrt{2})$:

$\frac{5}{6}$

Ответ: $\frac{5}{6}$.

Помогло решение? Оставьте отзыв в комментариях ниже.

Присоединяйтесь к Телеграм-группе @gdz_by_belarus

Присоединиться

Мы подготовили для вас ответ c подробным объяснением домашего задания по алгебре за 8 класс, для упражнения номер 1.223 расположенного на странице 60 к учебнику 2024 года издания для учащихся школ и гимназий.

Теперь на нашем сайте ГДЗ.ТОП вы всегда легко и бесплатно найдёте условие с правильным ответом на вопрос «Как решить ДЗ» и «Как сделать» задание по алгебре к упражнению №1.223 (с. 60), авторов: Арефьева (Ирина Глебовна), Пирютко (Ольга Николаевна), учебного пособия издательства Адукацыя i выхаванне.