Номер 1.249, страница 63 - гдз по алгебре 8 класс учебник Арефьева, Пирютко

Алгебра, 8 класс Учебник, авторы: Арефьева Ирина Глебовна, Пирютко Ольга Николаевна, издательство Адукацыя i выхаванне, Минск, 2024, бирюзового цвета

Авторы: Арефьева И. Г., Пирютко О. Н.

Тип: Учебник

Издательство: Адукацыя i выхаванне

Год издания: 2024 - 2026

Цвет обложки: бирюзовый с графиком

ISBN: ISBN 978-985-03-4081-8

Допущено Министерством образования Республики Беларусь

Популярные ГДЗ в 8 классе

Глава 1. Квадратные корни и их свойства. Действительные числа. Параграф 4. Применение свойств квадратных корней - номер 1.249, страница 63.

№1.249 (с. 63)
Условие. №1.249 (с. 63)
скриншот условия
Алгебра, 8 класс Учебник, авторы: Арефьева Ирина Глебовна, Пирютко Ольга Николаевна, издательство Адукацыя i выхаванне, Минск, 2024, бирюзового цвета, страница 63, номер 1.249, Условие

1.249. Найдите сумму, разность, произведение и частное чисел:

a) $6\sqrt{3}$ и $4\sqrt{3}$;

б) $-3\sqrt{2}$ и $\sqrt{2}$;

в) $-2\sqrt{7}$ и $2\sqrt{7}$.

Решение. №1.249 (с. 63)
Алгебра, 8 класс Учебник, авторы: Арефьева Ирина Глебовна, Пирютко Ольга Николаевна, издательство Адукацыя i выхаванне, Минск, 2024, бирюзового цвета, страница 63, номер 1.249, Решение Алгебра, 8 класс Учебник, авторы: Арефьева Ирина Глебовна, Пирютко Ольга Николаевна, издательство Адукацыя i выхаванне, Минск, 2024, бирюзового цвета, страница 63, номер 1.249, Решение (продолжение 2)
Решение 2. №1.249 (с. 63)

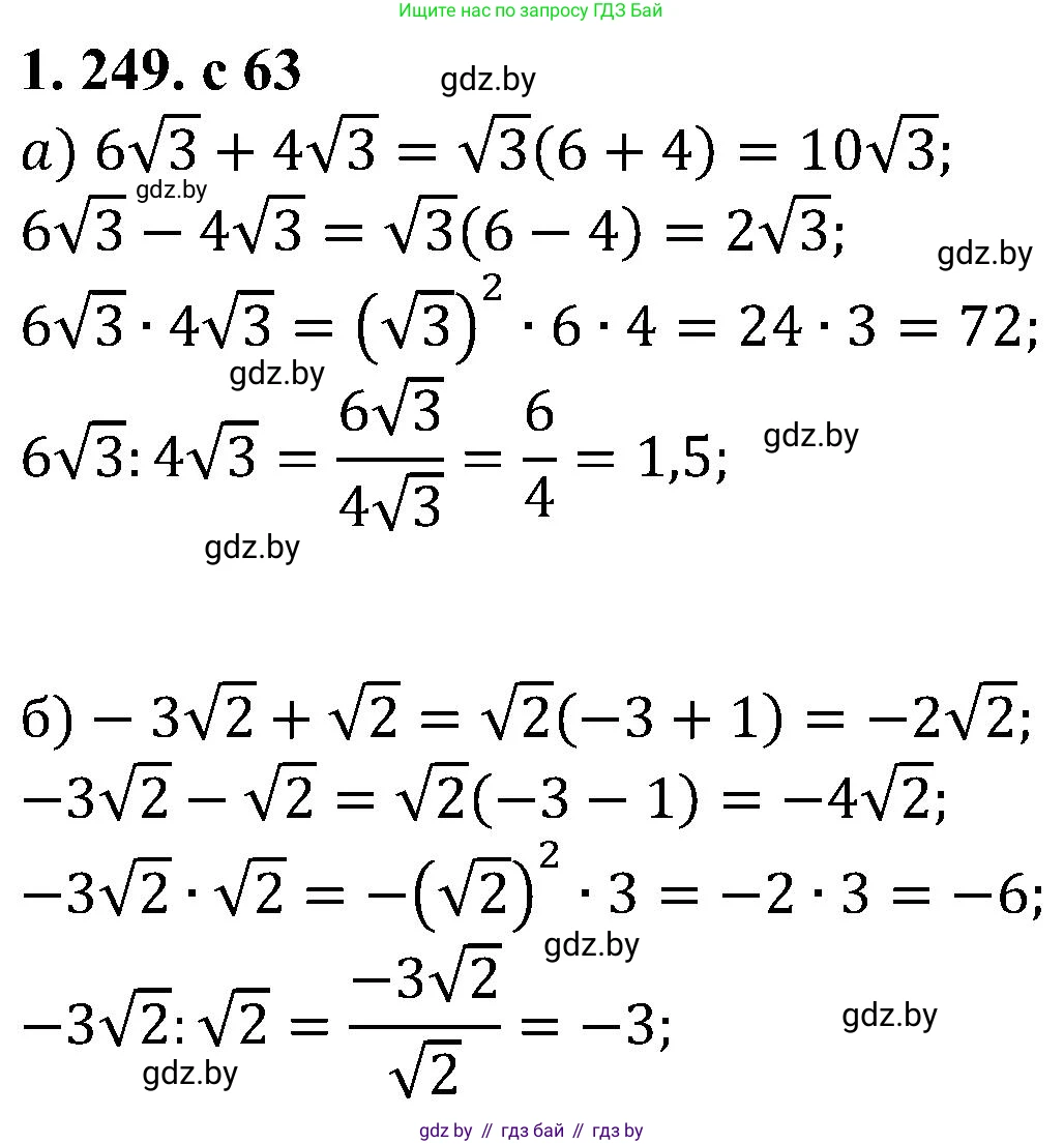
a) Для чисел $6\sqrt{3}$ и $4\sqrt{3}$ выполним следующие действия:

  • Сумма: $6\sqrt{3} + 4\sqrt{3} = (6+4)\sqrt{3} = 10\sqrt{3}$
  • Разность: $6\sqrt{3} - 4\sqrt{3} = (6-4)\sqrt{3} = 2\sqrt{3}$
  • Произведение: $6\sqrt{3} \cdot 4\sqrt{3} = (6 \cdot 4) \cdot (\sqrt{3} \cdot \sqrt{3}) = 24 \cdot 3 = 72$
  • Частное: $\frac{6\sqrt{3}}{4\sqrt{3}} = \frac{6}{4} = \frac{3}{2} = 1\frac{1}{2}$

Ответ: сумма равна $10\sqrt{3}$, разность $2\sqrt{3}$, произведение $72$, частное $\bf{1}$$\frac{1}{2}$.

б) Для чисел $-3\sqrt{2}$ и $\sqrt{2}$ выполним следующие действия:

  • Сумма: $-3\sqrt{2} + \sqrt{2} = (-3+1)\sqrt{2} = -2\sqrt{2}$
  • Разность: $-3\sqrt{2} - \sqrt{2} = (-3-1)\sqrt{2} = -4\sqrt{2}$
  • Произведение: $(-3\sqrt{2}) \cdot \sqrt{2} = -3 \cdot (\sqrt{2})^2 = -3 \cdot 2 = -6$
  • Частное: $\frac{-3\sqrt{2}}{\sqrt{2}} = -3$

Ответ: сумма равна $-2\sqrt{2}$, разность $-4\sqrt{2}$, произведение $-6$, частное $-3$.

в) Для чисел $-2\sqrt{7}$ и $2\sqrt{7}$ выполним следующие действия:

  • Сумма: $-2\sqrt{7} + 2\sqrt{7} = (-2+2)\sqrt{7} = 0 \cdot \sqrt{7} = 0$
  • Разность: $-2\sqrt{7} - 2\sqrt{7} = (-2-2)\sqrt{7} = -4\sqrt{7}$
  • Произведение: $(-2\sqrt{7}) \cdot (2\sqrt{7}) = (-2 \cdot 2) \cdot (\sqrt{7})^2 = -4 \cdot 7 = -28$
  • Частное: $\frac{-2\sqrt{7}}{2\sqrt{7}} = -1$

Ответ: сумма равна $0$, разность $-4\sqrt{7}$, произведение $-28$, частное $-1$.

Помогло решение? Оставьте отзыв в комментариях ниже.

Присоединяйтесь к Телеграм-группе @gdz_by_belarus

Присоединиться

Мы подготовили для вас ответ c подробным объяснением домашего задания по алгебре за 8 класс, для упражнения номер 1.249 расположенного на странице 63 к учебнику 2024 года издания для учащихся школ и гимназий.

Теперь на нашем сайте ГДЗ.ТОП вы всегда легко и бесплатно найдёте условие с правильным ответом на вопрос «Как решить ДЗ» и «Как сделать» задание по алгебре к упражнению №1.249 (с. 63), авторов: Арефьева (Ирина Глебовна), Пирютко (Ольга Николаевна), учебного пособия издательства Адукацыя i выхаванне.