Номер 1.262, страница 64 - гдз по алгебре 8 класс учебник Арефьева, Пирютко

Алгебра, 8 класс Учебник, авторы: Арефьева Ирина Глебовна, Пирютко Ольга Николаевна, издательство Адукацыя i выхаванне, Минск, 2024, бирюзового цвета

Авторы: Арефьева И. Г., Пирютко О. Н.

Тип: Учебник

Издательство: Адукацыя i выхаванне

Год издания: 2024 - 2026

Цвет обложки: бирюзовый с графиком

ISBN: ISBN 978-985-03-4081-8

Допущено Министерством образования Республики Беларусь

Популярные ГДЗ в 8 классе

Глава 1. Квадратные корни и их свойства. Действительные числа. Параграф 4. Применение свойств квадратных корней - номер 1.262, страница 64.

№1.262 (с. 64)
Условие. №1.262 (с. 64)
скриншот условия
Алгебра, 8 класс Учебник, авторы: Арефьева Ирина Глебовна, Пирютко Ольга Николаевна, издательство Адукацыя i выхаванне, Минск, 2024, бирюзового цвета, страница 64, номер 1.262, Условие

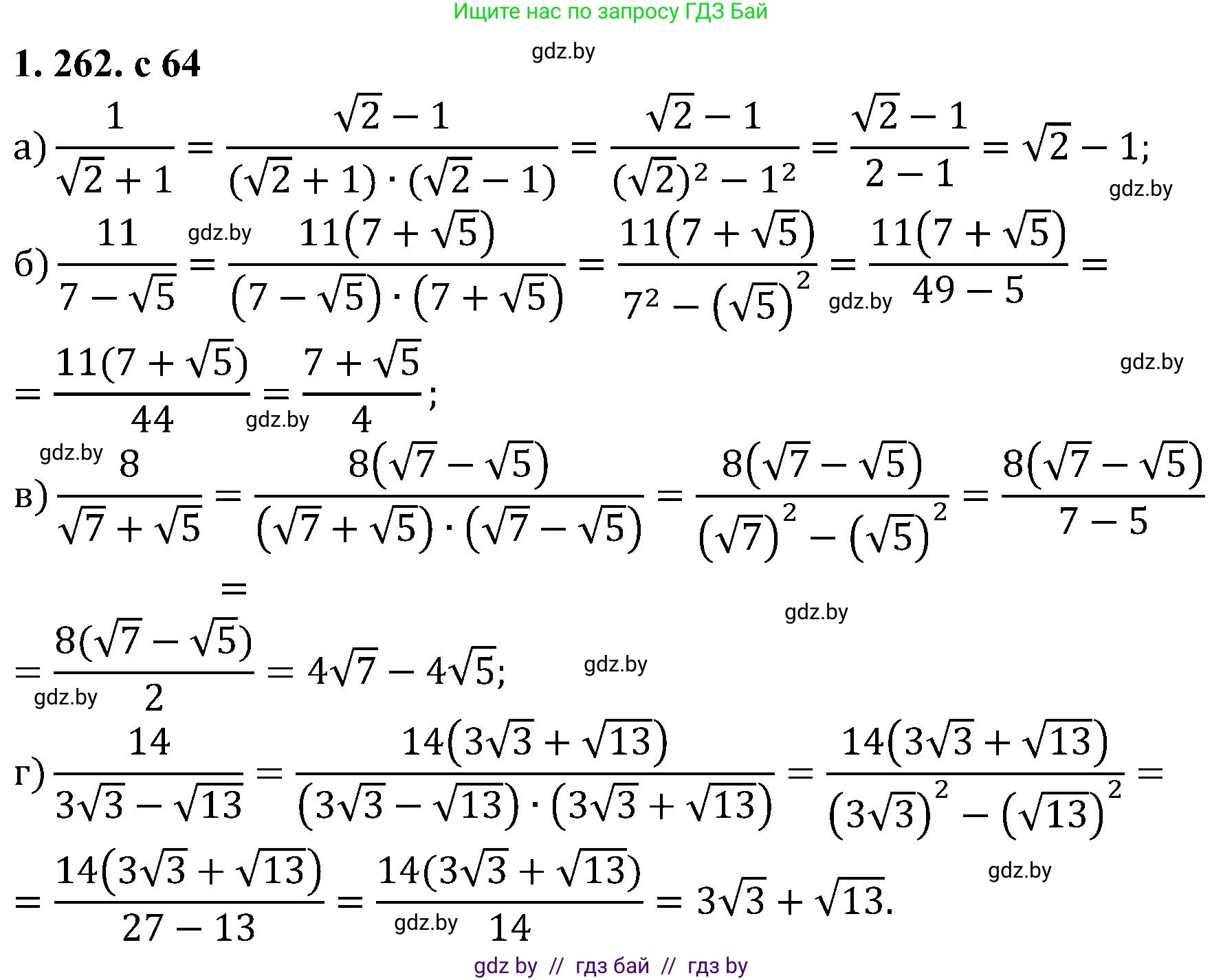
1.262. Избавьтесь от иррациональности в знаменателе дроби:

a) $ \frac{1}{\sqrt{2}+1}; $

б) $ \frac{11}{7-\sqrt{5}}; $

в) $ \frac{8}{\sqrt{7}+\sqrt{5}}; $

г) $ \frac{14}{3\sqrt{3}-\sqrt{13}}. $

Решение. №1.262 (с. 64)
Алгебра, 8 класс Учебник, авторы: Арефьева Ирина Глебовна, Пирютко Ольга Николаевна, издательство Адукацыя i выхаванне, Минск, 2024, бирюзового цвета, страница 64, номер 1.262, Решение
Решение 2. №1.262 (с. 64)

Для того чтобы избавиться от иррациональности в знаменателе, необходимо умножить числитель и знаменатель дроби на выражение, сопряженное знаменателю. Сопряженным к выражению $(a+b)$ является $(a-b)$, и наоборот. При умножении таких выражений используется формула разности квадратов: $(a+b)(a-b) = a^2 - b^2$.

а) Чтобы избавиться от иррациональности в знаменателе дроби $\frac{1}{\sqrt{2}+1}$, умножим ее числитель и знаменатель на сопряженное выражение $(\sqrt{2}-1)$:
$\frac{1}{\sqrt{2}+1} = \frac{1 \cdot (\sqrt{2}-1)}{(\sqrt{2}+1)(\sqrt{2}-1)} = \frac{\sqrt{2}-1}{(\sqrt{2})^2 - 1^2} = \frac{\sqrt{2}-1}{2-1} = \frac{\sqrt{2}-1}{1} = \sqrt{2}-1$.
Ответ: $\sqrt{2}-1$.

б) Чтобы избавиться от иррациональности в знаменателе дроби $\frac{11}{7-\sqrt{5}}$, умножим ее числитель и знаменатель на сопряженное выражение $(7+\sqrt{5})$:
$\frac{11}{7-\sqrt{5}} = \frac{11 \cdot (7+\sqrt{5})}{(7-\sqrt{5})(7+\sqrt{5})} = \frac{11(7+\sqrt{5})}{7^2 - (\sqrt{5})^2} = \frac{11(7+\sqrt{5})}{49-5} = \frac{11(7+\sqrt{5})}{44} = \frac{7+\sqrt{5}}{4}$.
Полученная дробь $\frac{7+\sqrt{5}}{4}$ является неправильной, так как ее числитель $7+\sqrt{5} \approx 7+2.236 = 9.236$ больше знаменателя $4$. Выделим целую часть. Для этого найдем целую часть значения дроби. Так как $2 < \sqrt{5} < 3$, то $7+2 < 7+\sqrt{5} < 7+3$, что дает $9 < 7+\sqrt{5} < 10$. Разделив на 4, получаем $\frac{9}{4} < \frac{7+\sqrt{5}}{4} < \frac{10}{4}$, или $2.25 < \frac{7+\sqrt{5}}{4} < 2.5$. Таким образом, целая часть дроби равна 2.
Представим дробь в виде суммы целой части и правильной дроби:
$\frac{7+\sqrt{5}}{4} = 2 + \left(\frac{7+\sqrt{5}}{4} - 2\right) = 2 + \frac{7+\sqrt{5}-8}{4} = 2 + \frac{\sqrt{5}-1}{4}$.
Ответ: 2$+\frac{\sqrt{5}-1}{4}$.

в) Чтобы избавиться от иррациональности в знаменателе дроби $\frac{8}{\sqrt{7}+\sqrt{5}}$, умножим ее числитель и знаменатель на сопряженное выражение $(\sqrt{7}-\sqrt{5})$:
$\frac{8}{\sqrt{7}+\sqrt{5}} = \frac{8 \cdot (\sqrt{7}-\sqrt{5})}{(\sqrt{7}+\sqrt{5})(\sqrt{7}-\sqrt{5})} = \frac{8(\sqrt{7}-\sqrt{5})}{(\sqrt{7})^2 - (\sqrt{5})^2} = \frac{8(\sqrt{7}-\sqrt{5})}{7-5} = \frac{8(\sqrt{7}-\sqrt{5})}{2} = 4(\sqrt{7}-\sqrt{5})$.
Ответ: $4(\sqrt{7}-\sqrt{5})$.

г) Чтобы избавиться от иррациональности в знаменателе дроби $\frac{14}{3\sqrt{3}-\sqrt{13}}$, умножим ее числитель и знаменатель на сопряженное выражение $(3\sqrt{3}+\sqrt{13})$:
$\frac{14}{3\sqrt{3}-\sqrt{13}} = \frac{14 \cdot (3\sqrt{3}+\sqrt{13})}{(3\sqrt{3}-\sqrt{13})(3\sqrt{3}+\sqrt{13})} = \frac{14(3\sqrt{3}+\sqrt{13})}{(3\sqrt{3})^2 - (\sqrt{13})^2}$.
Знаменатель равен $(3\sqrt{3})^2 - (\sqrt{13})^2 = 3^2 \cdot (\sqrt{3})^2 - 13 = 9 \cdot 3 - 13 = 27 - 13 = 14$.
Тогда дробь равна: $\frac{14(3\sqrt{3}+\sqrt{13})}{14} = 3\sqrt{3}+\sqrt{13}$.
Ответ: $3\sqrt{3}+\sqrt{13}$.

Помогло решение? Оставьте отзыв в комментариях ниже.

Присоединяйтесь к Телеграм-группе @gdz_by_belarus

Присоединиться

Мы подготовили для вас ответ c подробным объяснением домашего задания по алгебре за 8 класс, для упражнения номер 1.262 расположенного на странице 64 к учебнику 2024 года издания для учащихся школ и гимназий.

Теперь на нашем сайте ГДЗ.ТОП вы всегда легко и бесплатно найдёте условие с правильным ответом на вопрос «Как решить ДЗ» и «Как сделать» задание по алгебре к упражнению №1.262 (с. 64), авторов: Арефьева (Ирина Глебовна), Пирютко (Ольга Николаевна), учебного пособия издательства Адукацыя i выхаванне.