Номер 1.96, страница 39 - гдз по алгебре 8 класс учебник Арефьева, Пирютко

Алгебра, 8 класс Учебник, авторы: Арефьева Ирина Глебовна, Пирютко Ольга Николаевна, издательство Адукацыя i выхаванне, Минск, 2024, бирюзового цвета

Авторы: Арефьева И. Г., Пирютко О. Н.

Тип: Учебник

Издательство: Адукацыя i выхаванне

Год издания: 2024 - 2026

Цвет обложки: бирюзовый с графиком

ISBN: ISBN 978-985-03-4081-8

Допущено Министерством образования Республики Беларусь

Популярные ГДЗ в 8 классе

Глава 1. Квадратные корни и их свойства. Действительные числа. Параграф 3. Свойства квадратных корней - номер 1.96, страница 39.

№1.96 (с. 39)
Условие. №1.96 (с. 39)
скриншот условия
Алгебра, 8 класс Учебник, авторы: Арефьева Ирина Глебовна, Пирютко Ольга Николаевна, издательство Адукацыя i выхаванне, Минск, 2024, бирюзового цвета, страница 39, номер 1.96, Условие

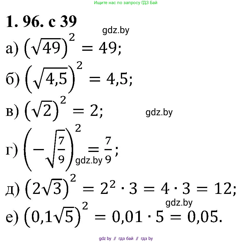
1.96. Найдите значение выражения:

а) $(\sqrt{49})^2;$

б) $(\sqrt{4,5})^2;$

в) $(\sqrt{2})^2;$

г) $(-\sqrt{\frac{7}{9}})^2;$

д) $(2\sqrt{3})^2;$

е) $(0,1\sqrt{5})^2.$

Решение. №1.96 (с. 39)
Алгебра, 8 класс Учебник, авторы: Арефьева Ирина Глебовна, Пирютко Ольга Николаевна, издательство Адукацыя i выхаванне, Минск, 2024, бирюзового цвета, страница 39, номер 1.96, Решение
Решение 2. №1.96 (с. 39)

а) Для вычисления выражения $(\sqrt{49})^2$ используется основное свойство арифметического квадратного корня: для любого неотрицательного числа $a$ верно, что $(\sqrt{a})^2 = a$.
Применяя это свойство, получаем:
$(\sqrt{49})^2 = 49$.
Ответ: 49.

б) Аналогично предыдущему пункту, для выражения $(\sqrt{4,5})^2$ используем свойство $(\sqrt{a})^2 = a$:
$(\sqrt{4,5})^2 = 4,5$.
Ответ: 4,5.

в) Для выражения $(\sqrt{2})^2$ также применяем свойство $(\sqrt{a})^2 = a$:
$(\sqrt{2})^2 = 2$.
Ответ: 2.

г) В выражении $(-\sqrt{\frac{7}{9}})^2$ сначала обращаем внимание на знак. Квадрат любого отрицательного числа является положительным числом: $(-x)^2 = x^2$.
Следовательно, $(-\sqrt{\frac{7}{9}})^2 = (\sqrt{\frac{7}{9}})^2$.
Теперь, используя свойство $(\sqrt{a})^2 = a$, получаем:
$(\sqrt{\frac{7}{9}})^2 = \frac{7}{9}$.
Ответ: $\frac{7}{9}$.

д) Для вычисления выражения $(2\sqrt{3})^2$ используем свойство степени произведения, согласно которому $(ab)^n = a^n b^n$.
$(2\sqrt{3})^2 = 2^2 \cdot (\sqrt{3})^2$.
Вычисляем каждую часть: $2^2 = 4$ и $(\sqrt{3})^2 = 3$.
Перемножаем результаты: $4 \cdot 3 = 12$.
Ответ: 12.

е) Для вычисления выражения $(0,1\sqrt{5})^2$ также используем свойство степени произведения $(ab)^n = a^n b^n$.
$(0,1\sqrt{5})^2 = (0,1)^2 \cdot (\sqrt{5})^2$.
Вычисляем каждую часть: $(0,1)^2 = 0,01$ и $(\sqrt{5})^2 = 5$.
Перемножаем результаты: $0,01 \cdot 5 = 0,05$.
Ответ: 0,05.

Помогло решение? Оставьте отзыв в комментариях ниже.

Присоединяйтесь к Телеграм-группе @gdz_by_belarus

Присоединиться

Мы подготовили для вас ответ c подробным объяснением домашего задания по алгебре за 8 класс, для упражнения номер 1.96 расположенного на странице 39 к учебнику 2024 года издания для учащихся школ и гимназий.

Теперь на нашем сайте ГДЗ.ТОП вы всегда легко и бесплатно найдёте условие с правильным ответом на вопрос «Как решить ДЗ» и «Как сделать» задание по алгебре к упражнению №1.96 (с. 39), авторов: Арефьева (Ирина Глебовна), Пирютко (Ольга Николаевна), учебного пособия издательства Адукацыя i выхаванне.