Номер 2.17, страница 103 - гдз по алгебре 8 класс учебник Арефьева, Пирютко

Алгебра, 8 класс Учебник, авторы: Арефьева Ирина Глебовна, Пирютко Ольга Николаевна, издательство Адукацыя i выхаванне, Минск, 2024, бирюзового цвета

Авторы: Арефьева И. Г., Пирютко О. Н.

Тип: Учебник

Издательство: Адукацыя i выхаванне

Год издания: 2024 - 2026

Цвет обложки: бирюзовый с графиком

ISBN: ISBN 978-985-03-4081-8

Допущено Министерством образования Республики Беларусь

Популярные ГДЗ в 8 классе

Глава 2. Квадратные уравнения. Параграф 7. Квадратные уравнения. Решение неполных квадратных уравнений - номер 2.17, страница 103.

№2.17 (с. 103)
Условие. №2.17 (с. 103)
скриншот условия
Алгебра, 8 класс Учебник, авторы: Арефьева Ирина Глебовна, Пирютко Ольга Николаевна, издательство Адукацыя i выхаванне, Минск, 2024, бирюзового цвета, страница 103, номер 2.17, Условие Алгебра, 8 класс Учебник, авторы: Арефьева Ирина Глебовна, Пирютко Ольга Николаевна, издательство Адукацыя i выхаванне, Минск, 2024, бирюзового цвета, страница 103, номер 2.17, Условие (продолжение 2)

2.17. Решите уравнение:

а) $\frac{1}{4}(x^2 - 3x) = \frac{1}{3}(x^2 + x)$

б) $\frac{1}{2}(7x - x^2) = \frac{1}{5}(x^2 + 2x)$

в) $\frac{x^2 + 10x}{5} - 2x = 45$

г) $\frac{4x^2 - 1}{3} - \frac{3x^2 + 8}{5} = 1$

д) $\frac{x^2 + 6x}{12} - \frac{2x + 3}{4} = 6$

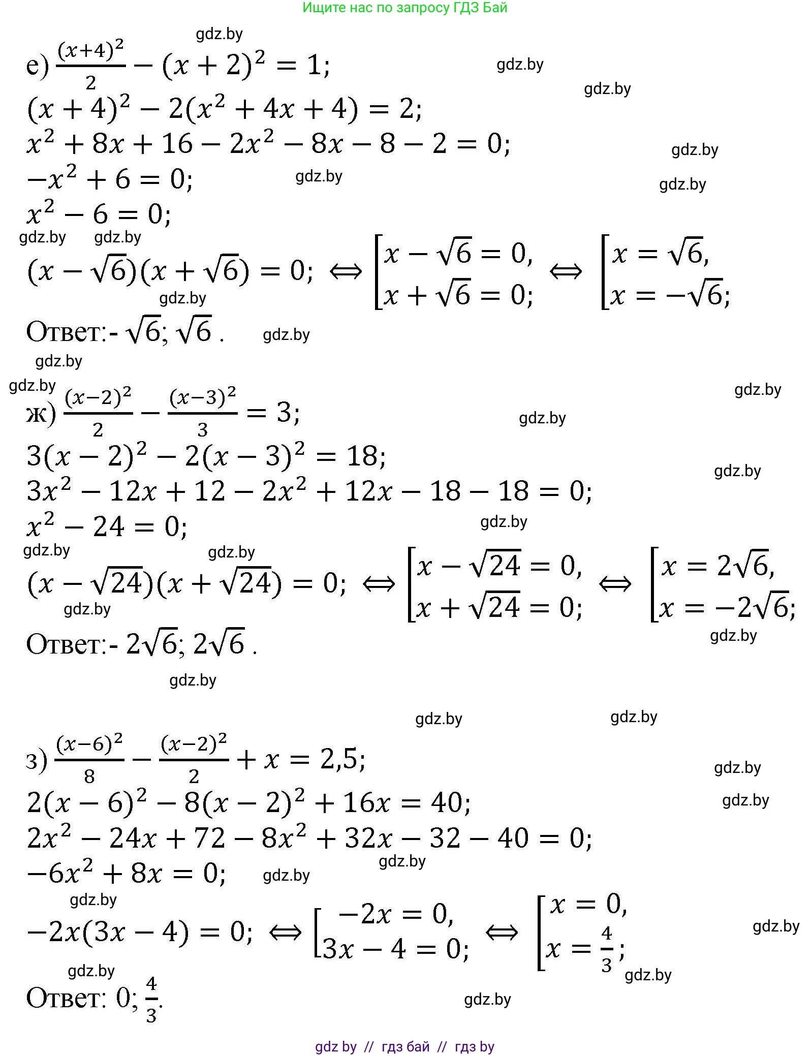
е) $\frac{(x + 4)^2}{2} - (x + 2)^2 = 1$

ж) $\frac{(x - 2)^2}{2} - \frac{(x - 3)^2}{3} = 3$

з) $\frac{(x - 6)^2}{8} - \frac{(x - 2)^2}{2} + x = 2,5$

Решение. №2.17 (с. 103)
Алгебра, 8 класс Учебник, авторы: Арефьева Ирина Глебовна, Пирютко Ольга Николаевна, издательство Адукацыя i выхаванне, Минск, 2024, бирюзового цвета, страница 103, номер 2.17, Решение Алгебра, 8 класс Учебник, авторы: Арефьева Ирина Глебовна, Пирютко Ольга Николаевна, издательство Адукацыя i выхаванне, Минск, 2024, бирюзового цвета, страница 103, номер 2.17, Решение (продолжение 2)
Решение 2. №2.17 (с. 103)

а) $\frac{1}{4}(x^2 - 3x) = \frac{1}{3}(x^2 + x)$

Умножим обе части уравнения на 12 (наименьшее общее кратное 4 и 3):

$3(x^2 - 3x) = 4(x^2 + x)$

Раскроем скобки:

$3x^2 - 9x = 4x^2 + 4x$

Перенесем все слагаемые в одну сторону и приведем подобные:

$4x^2 - 3x^2 + 4x + 9x = 0$

$x^2 + 13x = 0$

Вынесем общий множитель $x$ за скобки:

$x(x + 13) = 0$

Произведение равно нулю, если один из множителей равен нулю:

$x_1 = 0$ или $x + 13 = 0 \Rightarrow x_2 = -13$.

Ответ: $0; -13$.

б) $\frac{1}{2}(7x - x^2) = \frac{1}{5}(x^2 + 2x)$

Умножим обе части уравнения на 10 (наименьшее общее кратное 2 и 5):

$5(7x - x^2) = 2(x^2 + 2x)$

$35x - 5x^2 = 2x^2 + 4x$

$2x^2 + 5x^2 + 4x - 35x = 0$

$7x^2 - 31x = 0$

$x(7x - 31) = 0$

$x_1 = 0$ или $7x - 31 = 0 \Rightarrow 7x = 31 \Rightarrow x_2 = \frac{31}{7}$.

Выделим целую часть из неправильной дроби: $\frac{31}{7} = 4\frac{3}{7}$.

Ответ: $0; \textbf{4}\frac{3}{7}$.

в) $\frac{x^2 + 10x}{5} - 2x = 45$

Умножим все члены уравнения на 5, чтобы избавиться от знаменателя:

$x^2 + 10x - 5 \cdot 2x = 5 \cdot 45$

$x^2 + 10x - 10x = 225$

$x^2 = 225$

Извлечем квадратный корень из обеих частей:

$x = \pm\sqrt{225}$

$x_1 = 15, x_2 = -15$.

Ответ: $-15; 15$.

г) $\frac{4x^2 - 1}{3} - \frac{3x^2 + 8}{5} = 1$

Умножим обе части уравнения на 15 (наименьшее общее кратное 3 и 5):

$5(4x^2 - 1) - 3(3x^2 + 8) = 15$

$20x^2 - 5 - 9x^2 - 24 = 15$

$11x^2 - 29 = 15$

$11x^2 = 15 + 29$

$11x^2 = 44$

$x^2 = \frac{44}{11}$

$x^2 = 4$

$x = \pm 2$.

Ответ: $-2; 2$.

д) $\frac{x^2 + 6x}{12} - \frac{2x + 3}{4} = 6$

Умножим обе части на 12 (наименьшее общее кратное 12 и 4):

$(x^2 + 6x) - 3(2x + 3) = 72$

$x^2 + 6x - 6x - 9 = 72$

$x^2 - 9 = 72$

$x^2 = 81$

$x = \pm 9$.

Ответ: $-9; 9$.

е) $\frac{(x + 4)^2}{2} - \frac{(x + 2)^2}{2} = 1$

Умножим обе части на 2:

$(x + 4)^2 - (x + 2)^2 = 2$

Воспользуемся формулой разности квадратов $a^2 - b^2 = (a-b)(a+b)$:

$((x + 4) - (x + 2))((x + 4) + (x + 2)) = 2$

$(x + 4 - x - 2)(x + 4 + x + 2) = 2$

$(2)(2x + 6) = 2$

Разделим обе части на 2:

$2x + 6 = 1$

$2x = 1 - 6$

$2x = -5$

$x = -\frac{5}{2} = -2\frac{1}{2}$.

Ответ: $\textbf{-2}\frac{1}{2}$.

ж) $\frac{(x - 2)^2}{2} - \frac{(x - 3)^2}{3} = 3$

Умножим обе части на 6 (наименьшее общее кратное 2 и 3):

$3(x - 2)^2 - 2(x - 3)^2 = 18$

Раскроем квадраты разности:

$3(x^2 - 4x + 4) - 2(x^2 - 6x + 9) = 18$

$3x^2 - 12x + 12 - 2x^2 + 12x - 18 = 18$

Приведем подобные слагаемые:

$x^2 - 6 = 18$

$x^2 = 24$

$x = \pm\sqrt{24} = \pm\sqrt{4 \cdot 6} = \pm 2\sqrt{6}$.

Ответ: $\pm 2\sqrt{6}$.

з) $\frac{(x - 6)^2}{8} - \frac{(x - 2)^2}{2} + x = 2,5$

Представим 2,5 как $\frac{5}{2}$ и умножим все уравнение на 8:

$(x - 6)^2 - 4(x - 2)^2 + 8x = 8 \cdot \frac{5}{2}$

$(x^2 - 12x + 36) - 4(x^2 - 4x + 4) + 8x = 20$

$x^2 - 12x + 36 - 4x^2 + 16x - 16 + 8x = 20$

Приведем подобные слагаемые:

$(x^2 - 4x^2) + (-12x + 16x + 8x) + (36 - 16) = 20$

$-3x^2 + 12x + 20 = 20$

$-3x^2 + 12x = 0$

Разделим обе части на -3:

$x^2 - 4x = 0$

$x(x - 4) = 0$

$x_1 = 0$ или $x - 4 = 0 \Rightarrow x_2 = 4$.

Ответ: $0; 4$.

Помогло решение? Оставьте отзыв в комментариях ниже.

Присоединяйтесь к Телеграм-группе @gdz_by_belarus

Присоединиться

Мы подготовили для вас ответ c подробным объяснением домашего задания по алгебре за 8 класс, для упражнения номер 2.17 расположенного на странице 103 к учебнику 2024 года издания для учащихся школ и гимназий.

Теперь на нашем сайте ГДЗ.ТОП вы всегда легко и бесплатно найдёте условие с правильным ответом на вопрос «Как решить ДЗ» и «Как сделать» задание по алгебре к упражнению №2.17 (с. 103), авторов: Арефьева (Ирина Глебовна), Пирютко (Ольга Николаевна), учебного пособия издательства Адукацыя i выхаванне.