Номер 8, страница 148 - гдз по алгебре 8 класс учебник Арефьева, Пирютко

Алгебра, 8 класс Учебник, авторы: Арефьева Ирина Глебовна, Пирютко Ольга Николаевна, издательство Адукацыя i выхаванне, Минск, 2024, бирюзового цвета

Авторы: Арефьева И. Г., Пирютко О. Н.

Тип: Учебник

Издательство: Адукацыя i выхаванне

Год издания: 2024 - 2026

Цвет обложки: бирюзовый с графиком

ISBN: ISBN 978-985-03-4081-8

Допущено Министерством образования Республики Беларусь

Популярные ГДЗ в 8 классе

Глава 2. Квадратные уравнения. Я проверяю свои знания - номер 8, страница 148.

№8 (с. 148)
Условие. №8 (с. 148)
скриншот условия
Алгебра, 8 класс Учебник, авторы: Арефьева Ирина Глебовна, Пирютко Ольга Николаевна, издательство Адукацыя i выхаванне, Минск, 2024, бирюзового цвета, страница 148, номер 8, Условие

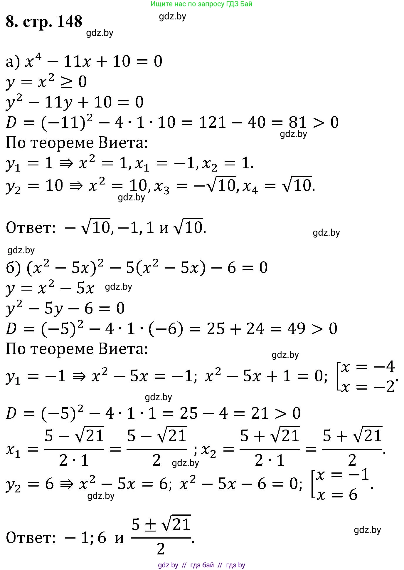
8. Решите уравнение, используя метод замены переменной:

a) $x^4 - 11x^2 + 10 = 0;$

б) $(x^2 - 5x)^2 - 5(x^2 - 5x) - 6 = 0;$

в) $(2x^2 + x - 1)(2x^2 + x - 4) + 2 = 0;$

г) $(x^2 - 2x)^2 - 7(x - 1)^2 - 1 = 0.$

Решение. №8 (с. 148)
Алгебра, 8 класс Учебник, авторы: Арефьева Ирина Глебовна, Пирютко Ольга Николаевна, издательство Адукацыя i выхаванне, Минск, 2024, бирюзового цвета, страница 148, номер 8, Решение Алгебра, 8 класс Учебник, авторы: Арефьева Ирина Глебовна, Пирютко Ольга Николаевна, издательство Адукацыя i выхаванне, Минск, 2024, бирюзового цвета, страница 148, номер 8, Решение (продолжение 2)
Решение 2. №8 (с. 148)

а) $x^4 - 11x^2 + 10 = 0$

Данное уравнение является биквадратным. Для его решения введем новую переменную. Пусть $t = x^2$. Поскольку квадрат любого действительного числа является неотрицательным, на новую переменную накладывается условие $t \ge 0$.

После замены получаем квадратное уравнение относительно переменной $t$:

$t^2 - 11t + 10 = 0$

Решим это уравнение с помощью теоремы Виета. Сумма корней равна $11$, а их произведение равно $10$.

$t_1 + t_2 = 11$

$t_1 \cdot t_2 = 10$

Подбором находим корни: $t_1 = 1$ и $t_2 = 10$. Оба корня удовлетворяют условию $t \ge 0$, поэтому оба являются действительными решениями для $t$.

Теперь выполним обратную замену, чтобы найти значения $x$:

1) Если $t = 1$, то $x^2 = 1$. Отсюда $x_{1,2} = \pm 1$.

2) Если $t = 10$, то $x^2 = 10$. Отсюда $x_{3,4} = \pm \sqrt{10}$.

Ответ: $\pm 1; \pm \sqrt{10}$.

б) $(x^2 - 5x)^2 - 5(x^2 - 5x) - 6 = 0$

В данном уравнении можно заметить повторяющееся выражение $x^2 - 5x$. Сделаем замену переменной: пусть $t = x^2 - 5x$.

Уравнение преобразуется в квадратное уравнение относительно $t$:

$t^2 - 5t - 6 = 0$

Решим его. Найдем дискриминант $D$:

$D = b^2 - 4ac = (-5)^2 - 4 \cdot 1 \cdot (-6) = 25 + 24 = 49 = 7^2$

Найдем корни для $t$:

$t_1 = \frac{-b - \sqrt{D}}{2a} = \frac{5 - 7}{2} = \frac{-2}{2} = -1$

$t_2 = \frac{-b + \sqrt{D}}{2a} = \frac{5 + 7}{2} = \frac{12}{2} = 6$

Теперь для каждого найденного значения $t$ выполним обратную замену и решим получившиеся уравнения:

1) $x^2 - 5x = -1 \Rightarrow x^2 - 5x + 1 = 0$.

$D = (-5)^2 - 4 \cdot 1 \cdot 1 = 25 - 4 = 21$.

$x_{1,2} = \frac{5 \pm \sqrt{21}}{2}$.

2) $x^2 - 5x = 6 \Rightarrow x^2 - 5x - 6 = 0$.

По теореме Виета, сумма корней равна $5$, а произведение $-6$. Легко подобрать корни: $x_3 = 6$ и $x_4 = -1$.

Ответ: $-1; 6; \frac{5 \pm \sqrt{21}}{2}$.

в) $(2x^2 + x - 1)(2x^2 + x - 4) + 2 = 0$

В этом уравнении повторяется выражение $2x^2 + x$. Введем замену: пусть $t = 2x^2 + x$.

Подставим $t$ в уравнение:

$(t - 1)(t - 4) + 2 = 0$

Раскроем скобки и приведем подобные слагаемые:

$t^2 - 4t - t + 4 + 2 = 0$

$t^2 - 5t + 6 = 0$

По теореме Виета, сумма корней равна $5$, а произведение $6$. Корни: $t_1 = 2$ и $t_2 = 3$.

Выполним обратную замену:

1) $2x^2 + x = 2 \Rightarrow 2x^2 + x - 2 = 0$.

$D = 1^2 - 4 \cdot 2 \cdot (-2) = 1 + 16 = 17$.

$x_{1,2} = \frac{-1 \pm \sqrt{17}}{4}$.

2) $2x^2 + x = 3 \Rightarrow 2x^2 + x - 3 = 0$.

$D = 1^2 - 4 \cdot 2 \cdot (-3) = 1 + 24 = 25 = 5^2$.

$x_3 = \frac{-1 + 5}{4} = \frac{4}{4} = 1$.

$x_4 = \frac{-1 - 5}{4} = \frac{-6}{4} = -\frac{3}{2}$.

Представим неправильную дробь $-\frac{3}{2}$ в виде смешанного числа, выделив целую часть: $-\frac{3}{2} = -1\frac{1}{2}$.

Ответ: $1; \mathbf{-1}\frac{1}{2}; \frac{-1 \pm \sqrt{17}}{4}$.

г) $(x^2 - 2x)^2 - 7(x - 1)^2 - 1 = 0$

Для решения этого уравнения заметим, что выражение $(x - 1)^2$ можно преобразовать: $(x - 1)^2 = x^2 - 2x + 1$.

Теперь можно сделать замену $t = x^2 - 2x$. Тогда $(x - 1)^2$ можно выразить через $t$: $(x - 1)^2 = (x^2 - 2x) + 1 = t + 1$.

Подставим замену в исходное уравнение:

$t^2 - 7(t + 1) - 1 = 0$

Раскроем скобки и упростим:

$t^2 - 7t - 7 - 1 = 0$

$t^2 - 7t - 8 = 0$

По теореме Виета, сумма корней равна $7$, а произведение $-8$. Корни: $t_1 = 8$ и $t_2 = -1$.

Сделаем обратную замену:

1) $x^2 - 2x = 8 \Rightarrow x^2 - 2x - 8 = 0$.

По теореме Виета, $x_1 + x_2 = 2$ и $x_1 \cdot x_2 = -8$. Отсюда корни $x_1 = 4$ и $x_2 = -2$.

2) $x^2 - 2x = -1 \Rightarrow x^2 - 2x + 1 = 0$.

Это формула квадрата разности: $(x - 1)^2 = 0$. Отсюда получаем один корень $x_3 = 1$.

Ответ: $-2; 1; 4$.

Помогло решение? Оставьте отзыв в комментариях ниже.

Присоединяйтесь к Телеграм-группе @gdz_by_belarus

Присоединиться

Мы подготовили для вас ответ c подробным объяснением домашего задания по алгебре за 8 класс, для упражнения номер 8 расположенного на странице 148 к учебнику 2024 года издания для учащихся школ и гимназий.

Теперь на нашем сайте ГДЗ.ТОП вы всегда легко и бесплатно найдёте условие с правильным ответом на вопрос «Как решить ДЗ» и «Как сделать» задание по алгебре к упражнению №8 (с. 148), авторов: Арефьева (Ирина Глебовна), Пирютко (Ольга Николаевна), учебного пособия издательства Адукацыя i выхаванне.