Номер 2.223, страница 145 - гдз по алгебре 8 класс учебник Арефьева, Пирютко

Алгебра, 8 класс Учебник, авторы: Арефьева Ирина Глебовна, Пирютко Ольга Николаевна, издательство Адукацыя i выхаванне, Минск, 2024, бирюзового цвета

Авторы: Арефьева И. Г., Пирютко О. Н.

Тип: Учебник

Издательство: Адукацыя i выхаванне

Год издания: 2024 - 2026

Цвет обложки: бирюзовый с графиком

ISBN: ISBN 978-985-03-4081-8

Допущено Министерством образования Республики Беларусь

Популярные ГДЗ в 8 классе

Глава 2. Квадратные уравнения. Параграф 12. Решение целых рациональных уравнений, сводящихся к квадратным уравнениям - номер 2.223, страница 145.

№2.223 (с. 145)
Условие. №2.223 (с. 145)
скриншот условия
Алгебра, 8 класс Учебник, авторы: Арефьева Ирина Глебовна, Пирютко Ольга Николаевна, издательство Адукацыя i выхаванне, Минск, 2024, бирюзового цвета, страница 145, номер 2.223, Условие

2.223. Выполните замену переменной и решите уравнение:

а) $(2x^2 - 5x)(2x^2 - 5x - 4) = 21;$

б) $(x^2 - 3x - 5)(x^2 - 3x + 1) = -5;$

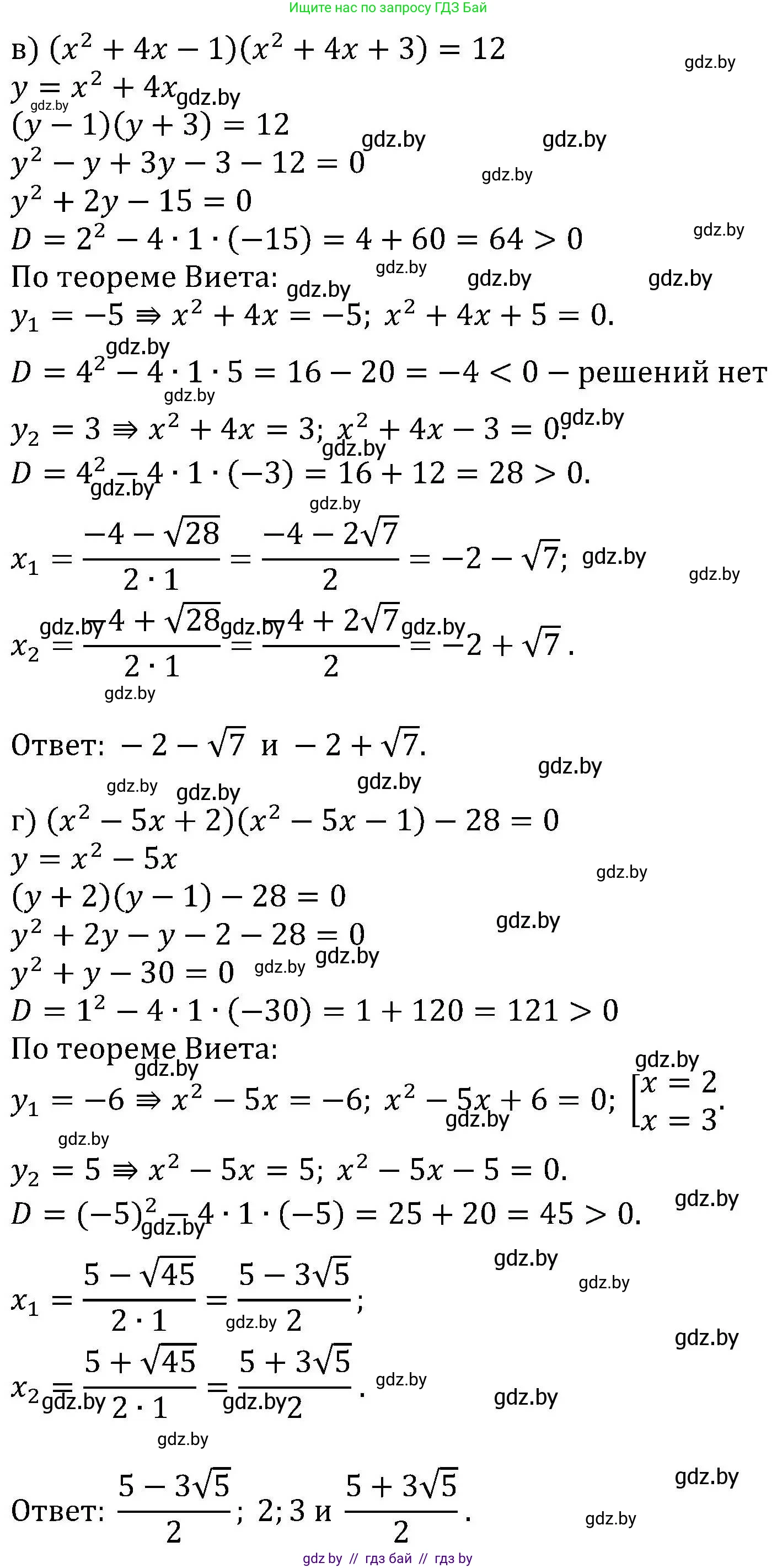
в) $(x^2 + 4x - 1)(x^2 + 4x + 3) = 12;$

г) $(x^2 - 5x + 2)(x^2 - 5x - 1) - 28 = 0.$

Решение. №2.223 (с. 145)
Алгебра, 8 класс Учебник, авторы: Арефьева Ирина Глебовна, Пирютко Ольга Николаевна, издательство Адукацыя i выхаванне, Минск, 2024, бирюзового цвета, страница 145, номер 2.223, Решение Алгебра, 8 класс Учебник, авторы: Арефьева Ирина Глебовна, Пирютко Ольга Николаевна, издательство Адукацыя i выхаванне, Минск, 2024, бирюзового цвета, страница 145, номер 2.223, Решение (продолжение 2)
Решение 2. №2.223 (с. 145)

а) $(2x^2 - 5x)(2x^2 - 5x - 4) = 21$

Введем замену переменной. Пусть $t = 2x^2 - 5x$. Тогда уравнение примет вид:

$t(t - 4) = 21$

Раскроем скобки и решим полученное квадратное уравнение относительно $t$:

$t^2 - 4t - 21 = 0$

Найдем корни по теореме Виета или через дискриминант.
$D = (-4)^2 - 4 \cdot 1 \cdot (-21) = 16 + 84 = 100 = 10^2$
$t_1 = \frac{4 - 10}{2} = -3$
$t_2 = \frac{4 + 10}{2} = 7$

Теперь выполним обратную замену для каждого найденного значения $t$.

1) Если $t_1 = -3$, то:

$2x^2 - 5x = -3$
$2x^2 - 5x + 3 = 0$
$D = (-5)^2 - 4 \cdot 2 \cdot 3 = 25 - 24 = 1$
$x_1 = \frac{5 - 1}{4} = \frac{4}{4} = 1$
$x_2 = \frac{5 + 1}{4} = \frac{6}{4} = \frac{3}{2} = 1\frac{1}{2}$

2) Если $t_2 = 7$, то:

$2x^2 - 5x = 7$
$2x^2 - 5x - 7 = 0$
$D = (-5)^2 - 4 \cdot 2 \cdot (-7) = 25 + 56 = 81 = 9^2$
$x_3 = \frac{5 - 9}{4} = \frac{-4}{4} = -1$
$x_4 = \frac{5 + 9}{4} = \frac{14}{4} = \frac{7}{2} = 3\frac{1}{2}$

Ответ: $-1; 1; 1\frac{1}{2}; 3\frac{1}{2}$.


б) $(x^2 - 3x - 5)(x^2 - 3x + 1) = -5$

Введем замену переменной. Пусть $t = x^2 - 3x$. Тогда уравнение примет вид:

$(t - 5)(t + 1) = -5$

Раскроем скобки и решим полученное уравнение:

$t^2 + t - 5t - 5 = -5$
$t^2 - 4t = 0$
$t(t - 4) = 0$

Отсюда получаем два значения для $t$:

$t_1 = 0$ или $t_2 = 4$

Выполним обратную замену.

1) Если $t_1 = 0$, то:

$x^2 - 3x = 0$
$x(x - 3) = 0$
$x_1 = 0$ или $x_2 = 3$

2) Если $t_2 = 4$, то:

$x^2 - 3x = 4$
$x^2 - 3x - 4 = 0$
По теореме Виета находим корни: $x_3 = 4$, $x_4 = -1$.

Ответ: $-1; 0; 3; 4$.


в) $(x^2 + 4x - 1)(x^2 + 4x + 3) = 12$

Введем замену переменной. Пусть $t = x^2 + 4x$. Тогда уравнение примет вид:

$(t - 1)(t + 3) = 12$

Раскроем скобки и решим уравнение относительно $t$:

$t^2 + 3t - t - 3 = 12$
$t^2 + 2t - 15 = 0$

По теореме Виета находим корни: $t_1 = -5$, $t_2 = 3$.

Выполним обратную замену.

1) Если $t_1 = -5$, то:

$x^2 + 4x = -5$
$x^2 + 4x + 5 = 0$
$D = 4^2 - 4 \cdot 1 \cdot 5 = 16 - 20 = -4$
Поскольку $D < 0$, данное уравнение не имеет действительных корней.

2) Если $t_2 = 3$, то:

$x^2 + 4x = 3$
$x^2 + 4x - 3 = 0$
$D = 4^2 - 4 \cdot 1 \cdot (-3) = 16 + 12 = 28$
$\sqrt{D} = \sqrt{28} = 2\sqrt{7}$
$x_{1,2} = \frac{-4 \pm 2\sqrt{7}}{2} = -2 \pm \sqrt{7}$

Ответ: $-2 - \sqrt{7}; -2 + \sqrt{7}$.


г) $(x^2 - 5x + 2)(x^2 - 5x - 1) - 28 = 0$

Перенесем 28 в правую часть и введем замену. Пусть $t = x^2 - 5x$. Уравнение примет вид:

$(t + 2)(t - 1) - 28 = 0$

Раскроем скобки и решим уравнение:

$t^2 - t + 2t - 2 - 28 = 0$
$t^2 + t - 30 = 0$

По теореме Виета находим корни: $t_1 = -6$, $t_2 = 5$.

Выполним обратную замену.

1) Если $t_1 = -6$, то:

$x^2 - 5x = -6$
$x^2 - 5x + 6 = 0$
По теореме Виета находим корни: $x_1 = 2$, $x_2 = 3$.

2) Если $t_2 = 5$, то:

$x^2 - 5x = 5$
$x^2 - 5x - 5 = 0$
$D = (-5)^2 - 4 \cdot 1 \cdot (-5) = 25 + 20 = 45$
$\sqrt{D} = \sqrt{45} = 3\sqrt{5}$
$x_{3,4} = \frac{5 \pm 3\sqrt{5}}{2}$

Ответ: $2; 3; \frac{5 - 3\sqrt{5}}{2}; \frac{5 + 3\sqrt{5}}{2}$.

Помогло решение? Оставьте отзыв в комментариях ниже.

Присоединяйтесь к Телеграм-группе @gdz_by_belarus

Присоединиться

Мы подготовили для вас ответ c подробным объяснением домашего задания по алгебре за 8 класс, для упражнения номер 2.223 расположенного на странице 145 к учебнику 2024 года издания для учащихся школ и гимназий.

Теперь на нашем сайте ГДЗ.ТОП вы всегда легко и бесплатно найдёте условие с правильным ответом на вопрос «Как решить ДЗ» и «Как сделать» задание по алгебре к упражнению №2.223 (с. 145), авторов: Арефьева (Ирина Глебовна), Пирютко (Ольга Николаевна), учебного пособия издательства Адукацыя i выхаванне.