Номер 2.52, страница 112 - гдз по алгебре 8 класс учебник Арефьева, Пирютко

Алгебра, 8 класс Учебник, авторы: Арефьева Ирина Глебовна, Пирютко Ольга Николаевна, издательство Адукацыя i выхаванне, Минск, 2024, бирюзового цвета

Авторы: Арефьева И. Г., Пирютко О. Н.

Тип: Учебник

Издательство: Адукацыя i выхаванне

Год издания: 2024 - 2026

Цвет обложки: бирюзовый с графиком

ISBN: ISBN 978-985-03-4081-8

Допущено Министерством образования Республики Беларусь

Популярные ГДЗ в 8 классе

Глава 2. Квадратные уравнения. Параграф 8. Формулы корней квадратного уравнения - номер 2.52, страница 112.

№2.52 (с. 112)
Условие. №2.52 (с. 112)
скриншот условия
Алгебра, 8 класс Учебник, авторы: Арефьева Ирина Глебовна, Пирютко Ольга Николаевна, издательство Адукацыя i выхаванне, Минск, 2024, бирюзового цвета, страница 112, номер 2.52, Условие

2.52. Примените формулу квадрата суммы (квадрата разности) и решите уравнение:

а) $ (x - 4)^2 - 2x = 7; $

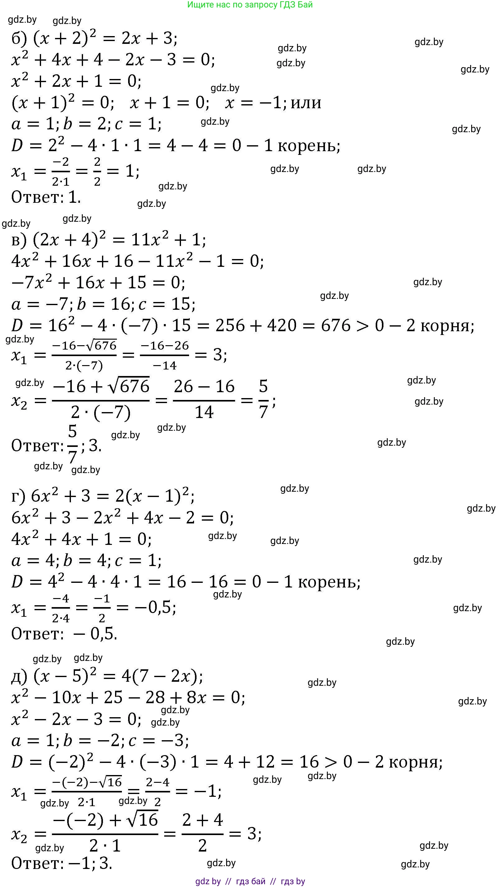
б) $ (x + 2)^2 = 2x + 3; $

в) $ (2x + 4)^2 = 11x^2 + 1; $

г) $ 6x^2 + 3 = 2(x - 1)^2; $

д) $ (x - 5)^2 = 4(7 - 2x); $

е) $ (9 - 4x)^2 = 5(4x + 1); $

ж) $ 2(x - 2)^2 = (x - 5)^2; $

з) $ 4(x + 1)^2 = 3(x - 1)^2. $

Решение. №2.52 (с. 112)
Алгебра, 8 класс Учебник, авторы: Арефьева Ирина Глебовна, Пирютко Ольга Николаевна, издательство Адукацыя i выхаванне, Минск, 2024, бирюзового цвета, страница 112, номер 2.52, Решение Алгебра, 8 класс Учебник, авторы: Арефьева Ирина Глебовна, Пирютко Ольга Николаевна, издательство Адукацыя i выхаванне, Минск, 2024, бирюзового цвета, страница 112, номер 2.52, Решение (продолжение 2)
Решение 2. №2.52 (с. 112)

Для решения данных уравнений применим формулы сокращенного умножения: квадрат суммы $(a+b)^2=a^2+2ab+b^2$ и квадрат разности $(a-b)^2=a^2-2ab+b^2$.

a) $(x - 4)^2 - 2x = 7$

Раскроем скобки, используя формулу квадрата разности:

$(x^2 - 2 \cdot x \cdot 4 + 4^2) - 2x = 7$

$x^2 - 8x + 16 - 2x = 7$

Приведем подобные слагаемые и перенесем все члены уравнения в левую часть, чтобы получить стандартное квадратное уравнение вида $ax^2+bx+c=0$:

$x^2 - 10x + 16 - 7 = 0$

$x^2 - 10x + 9 = 0$

Решим полученное уравнение. Найдем дискриминант $D = b^2 - 4ac$:

$D = (-10)^2 - 4 \cdot 1 \cdot 9 = 100 - 36 = 64$

Так как $D > 0$, уравнение имеет два корня, которые вычисляются по формуле $x = \frac{-b \pm \sqrt{D}}{2a}$:

$x_1 = \frac{-(-10) - \sqrt{64}}{2 \cdot 1} = \frac{10 - 8}{2} = \frac{2}{2} = 1$

$x_2 = \frac{-(-10) + \sqrt{64}}{2 \cdot 1} = \frac{10 + 8}{2} = \frac{18}{2} = 9$

Ответ: $1; 9$.


б) $(x + 2)^2 = 2x + 3$

Применим формулу квадрата суммы:

$x^2 + 2 \cdot x \cdot 2 + 2^2 = 2x + 3$

$x^2 + 4x + 4 = 2x + 3$

Перенесем все члены в левую часть и приведем подобные:

$x^2 + 4x - 2x + 4 - 3 = 0$

$x^2 + 2x + 1 = 0$

Левая часть является полным квадратом $(x+1)^2$:

$(x + 1)^2 = 0$

Отсюда находим корень:

$x + 1 = 0 \Rightarrow x = -1$

Ответ: $-1$.


в) $(2x + 4)^2 = 11x^2 + 1$

Раскроем скобки по формуле квадрата суммы:

$(2x)^2 + 2 \cdot 2x \cdot 4 + 4^2 = 11x^2 + 1$

$4x^2 + 16x + 16 = 11x^2 + 1$

Перенесем все члены в одну сторону:

$11x^2 - 4x^2 - 16x + 1 - 16 = 0$

$7x^2 - 16x - 15 = 0$

Решим квадратное уравнение. Вычислим дискриминант:

$D = (-16)^2 - 4 \cdot 7 \cdot (-15) = 256 + 420 = 676 = 26^2$

Найдем корни:

$x_1 = \frac{16 - 26}{2 \cdot 7} = \frac{-10}{14} = -\frac{5}{7}$

$x_2 = \frac{16 + 26}{2 \cdot 7} = \frac{42}{14} = 3$

Ответ: $-\frac{5}{7}; 3$.


г) $6x^2 + 3 = 2(x - 1)^2$

Раскроем скобки в правой части по формуле квадрата разности:

$6x^2 + 3 = 2(x^2 - 2x + 1)$

$6x^2 + 3 = 2x^2 - 4x + 2$

Перенесем все члены в левую часть:

$6x^2 - 2x^2 + 4x + 3 - 2 = 0$

$4x^2 + 4x + 1 = 0$

Левая часть является полным квадратом $(2x+1)^2$:

$(2x + 1)^2 = 0$

Решим полученное уравнение:

$2x + 1 = 0 \Rightarrow 2x = -1 \Rightarrow x = -0.5$

Ответ: $-0.5$.


д) $(x - 5)^2 = 4(7 - 2x)$

Раскроем скобки в обеих частях уравнения:

$x^2 - 10x + 25 = 28 - 8x$

Перенесем все члены в левую часть:

$x^2 - 10x + 8x + 25 - 28 = 0$

$x^2 - 2x - 3 = 0$

Решим квадратное уравнение. Вычислим дискриминант:

$D = (-2)^2 - 4 \cdot 1 \cdot (-3) = 4 + 12 = 16 = 4^2$

Найдем корни:

$x_1 = \frac{2 - 4}{2} = \frac{-2}{2} = -1$

$x_2 = \frac{2 + 4}{2} = \frac{6}{2} = 3$

Ответ: $-1; 3$.


е) $(9 - 4x)^2 = 5(4x + 1)$

Раскроем скобки в обеих частях уравнения:

$81 - 72x + 16x^2 = 20x + 5$

Перенесем все члены в левую часть:

$16x^2 - 72x - 20x + 81 - 5 = 0$

$16x^2 - 92x + 76 = 0$

Разделим все уравнение на 4 для упрощения:

$4x^2 - 23x + 19 = 0$

Решим квадратное уравнение. Вычислим дискриминант:

$D = (-23)^2 - 4 \cdot 4 \cdot 19 = 529 - 304 = 225 = 15^2$

Найдем корни:

$x_1 = \frac{23 - 15}{8} = \frac{8}{8} = 1$

$x_2 = \frac{23 + 15}{8} = \frac{38}{8} = \frac{19}{4}$

Преобразуем неправильную дробь $\frac{19}{4}$ в смешанное число, выделив целую часть:

$\frac{19}{4} = 4\frac{3}{4}$

Ответ: $1; 4\frac{3}{4}$.


ж) $2(x - 2)^2 = (x - 5)^2$

Раскроем скобки в обеих частях уравнения:

$2(x^2 - 4x + 4) = x^2 - 10x + 25$

$2x^2 - 8x + 8 = x^2 - 10x + 25$

Перенесем все члены в левую часть:

$2x^2 - x^2 - 8x + 10x + 8 - 25 = 0$

$x^2 + 2x - 17 = 0$

Решим квадратное уравнение. Вычислим дискриминант:

$D = 2^2 - 4 \cdot 1 \cdot (-17) = 4 + 68 = 72$

Найдем корни:

$x = \frac{-2 \pm \sqrt{72}}{2} = \frac{-2 \pm \sqrt{36 \cdot 2}}{2} = \frac{-2 \pm 6\sqrt{2}}{2} = -1 \pm 3\sqrt{2}$

Ответ: $-1 - 3\sqrt{2}; -1 + 3\sqrt{2}$.


з) $4(x + 1)^2 = 3(x - 1)^2$

Раскроем скобки в обеих частях уравнения:

$4(x^2 + 2x + 1) = 3(x^2 - 2x + 1)$

$4x^2 + 8x + 4 = 3x^2 - 6x + 3$

Перенесем все члены в левую часть:

$4x^2 - 3x^2 + 8x + 6x + 4 - 3 = 0$

$x^2 + 14x + 1 = 0$

Решим квадратное уравнение. Вычислим дискриминант:

$D = 14^2 - 4 \cdot 1 \cdot 1 = 196 - 4 = 192$

Найдем корни:

$x = \frac{-14 \pm \sqrt{192}}{2} = \frac{-14 \pm \sqrt{64 \cdot 3}}{2} = \frac{-14 \pm 8\sqrt{3}}{2} = -7 \pm 4\sqrt{3}$

Ответ: $-7 - 4\sqrt{3}; -7 + 4\sqrt{3}$.

Помогло решение? Оставьте отзыв в комментариях ниже.

Присоединяйтесь к Телеграм-группе @gdz_by_belarus

Присоединиться

Мы подготовили для вас ответ c подробным объяснением домашего задания по алгебре за 8 класс, для упражнения номер 2.52 расположенного на странице 112 к учебнику 2024 года издания для учащихся школ и гимназий.

Теперь на нашем сайте ГДЗ.ТОП вы всегда легко и бесплатно найдёте условие с правильным ответом на вопрос «Как решить ДЗ» и «Как сделать» задание по алгебре к упражнению №2.52 (с. 112), авторов: Арефьева (Ирина Глебовна), Пирютко (Ольга Николаевна), учебного пособия издательства Адукацыя i выхаванне.