Номер 2.77, страница 115 - гдз по алгебре 8 класс учебник Арефьева, Пирютко

Алгебра, 8 класс Учебник, авторы: Арефьева Ирина Глебовна, Пирютко Ольга Николаевна, издательство Адукацыя i выхаванне, Минск, 2024, бирюзового цвета

Авторы: Арефьева И. Г., Пирютко О. Н.

Тип: Учебник

Издательство: Адукацыя i выхаванне

Год издания: 2024 - 2026

Цвет обложки: бирюзовый с графиком

ISBN: ISBN 978-985-03-4081-8

Допущено Министерством образования Республики Беларусь

Популярные ГДЗ в 8 классе

Глава 2. Квадратные уравнения. Параграф 8. Формулы корней квадратного уравнения - номер 2.77, страница 115.

№2.77 (с. 115)
Условие. №2.77 (с. 115)
скриншот условия
Алгебра, 8 класс Учебник, авторы: Арефьева Ирина Глебовна, Пирютко Ольга Николаевна, издательство Адукацыя i выхаванне, Минск, 2024, бирюзового цвета, страница 115, номер 2.77, Условие

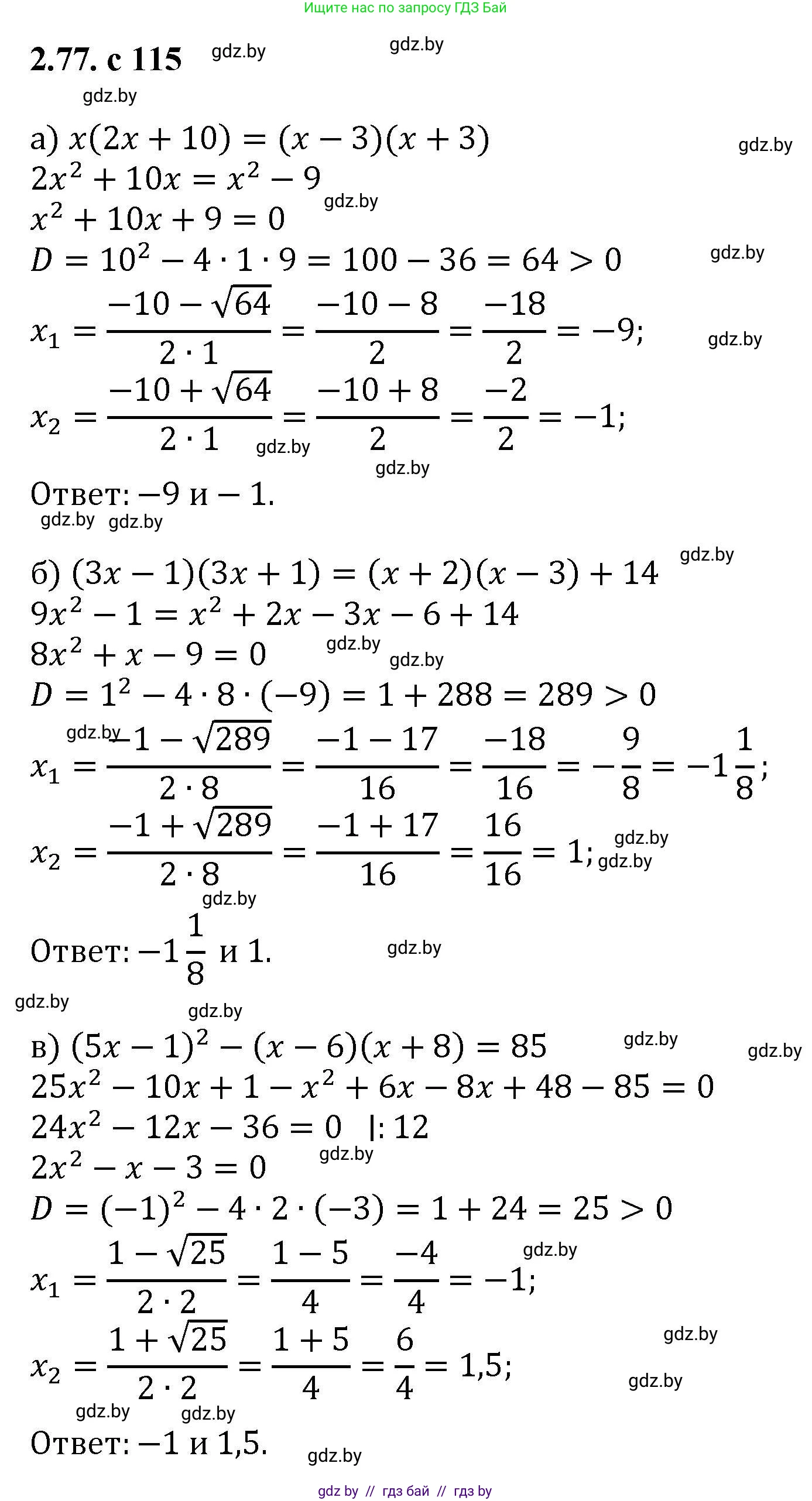
2.77. Решите уравнение:

а) $x(2x + 10) = (x - 3)(x + 3);$

б) $(3x - 1)(3x + 1) = (x + 2)(x - 3) + 14;$

в) $(5x - 1)^2 - (x - 6)(x + 8) = 85;$

г) $(2x - 1)^2 + (x + 3)^2 = 13.$

Решение. №2.77 (с. 115)
Алгебра, 8 класс Учебник, авторы: Арефьева Ирина Глебовна, Пирютко Ольга Николаевна, издательство Адукацыя i выхаванне, Минск, 2024, бирюзового цвета, страница 115, номер 2.77, Решение Алгебра, 8 класс Учебник, авторы: Арефьева Ирина Глебовна, Пирютко Ольга Николаевна, издательство Адукацыя i выхаванне, Минск, 2024, бирюзового цвета, страница 115, номер 2.77, Решение (продолжение 2)
Решение 2. №2.77 (с. 115)

а) $x(2x + 10) = (x - 3)(x + 3)$

Раскроем скобки в обеих частях уравнения. В левой части умножим $x$ на каждый член в скобках. В правой части используем формулу разности квадратов $(a-b)(a+b) = a^2 - b^2$.

$2x^2 + 10x = x^2 - 3^2$

$2x^2 + 10x = x^2 - 9$

Перенесем все члены уравнения в левую часть, чтобы получить квадратное уравнение вида $ax^2 + bx + c = 0$.

$2x^2 - x^2 + 10x + 9 = 0$

$x^2 + 10x + 9 = 0$

Решим полученное квадратное уравнение. Найдем дискриминант:

$D = b^2 - 4ac = 10^2 - 4 \cdot 1 \cdot 9 = 100 - 36 = 64$

Найдем корни уравнения:

$x_1 = \frac{-10 + \sqrt{64}}{2 \cdot 1} = \frac{-10 + 8}{2} = \frac{-2}{2} = -1$

$x_2 = \frac{-10 - \sqrt{64}}{2 \cdot 1} = \frac{-10 - 8}{2} = \frac{-18}{2} = -9$

Ответ: $x_1 = -9$, $x_2 = -1$.

б) $(3x - 1)(3x + 1) = (x + 2)(x - 3) + 14$

Раскроем скобки. В левой части используем формулу разности квадратов. В правой части перемножим скобки.

$(3x)^2 - 1^2 = x^2 - 3x + 2x - 6 + 14$

$9x^2 - 1 = x^2 - x + 8$

Перенесем все члены в левую часть:

$9x^2 - x^2 + x - 1 - 8 = 0$

$8x^2 + x - 9 = 0$

Решим квадратное уравнение. Найдем дискриминант:

$D = b^2 - 4ac = 1^2 - 4 \cdot 8 \cdot (-9) = 1 + 288 = 289$

Найдем корни:

$x_1 = \frac{-1 + \sqrt{289}}{2 \cdot 8} = \frac{-1 + 17}{16} = \frac{16}{16} = 1$

$x_2 = \frac{-1 - \sqrt{289}}{2 \cdot 8} = \frac{-1 - 17}{16} = \frac{-18}{16} = -\frac{9}{8} = -1\frac{1}{8}$

Ответ: $x_1 = 1$, $x_2 = \mathbf{-1}\frac{1}{8}$.

в) $(5x - 1)^2 - (x - 6)(x + 8) = 85$

Раскроем скобки, используя формулу квадрата разности $(a-b)^2 = a^2 - 2ab + b^2$ и правило умножения многочленов.

$(25x^2 - 10x + 1) - (x^2 + 8x - 6x - 48) = 85$

$25x^2 - 10x + 1 - (x^2 + 2x - 48) = 85$

Раскроем вторые скобки, меняя знаки на противоположные:

$25x^2 - 10x + 1 - x^2 - 2x + 48 = 85$

Приведем подобные слагаемые:

$24x^2 - 12x + 49 = 85$

Перенесем 85 в левую часть:

$24x^2 - 12x + 49 - 85 = 0$

$24x^2 - 12x - 36 = 0$

Разделим все уравнение на 12 для упрощения:

$2x^2 - x - 3 = 0$

Решим полученное квадратное уравнение. Найдем дискриминант:

$D = b^2 - 4ac = (-1)^2 - 4 \cdot 2 \cdot (-3) = 1 + 24 = 25$

Найдем корни:

$x_1 = \frac{-(-1) + \sqrt{25}}{2 \cdot 2} = \frac{1 + 5}{4} = \frac{6}{4} = \frac{3}{2} = 1\frac{1}{2}$

$x_2 = \frac{-(-1) - \sqrt{25}}{2 \cdot 2} = \frac{1 - 5}{4} = \frac{-4}{4} = -1$

Ответ: $x_1 = \mathbf{1}\frac{1}{2}$, $x_2 = -1$.

г) $(2x - 1)^2 + (x + 3)^2 = 13$

Раскроем скобки, используя формулы квадрата разности и квадрата суммы.

$(4x^2 - 4x + 1) + (x^2 + 6x + 9) = 13$

Приведем подобные слагаемые:

$4x^2 + x^2 - 4x + 6x + 1 + 9 = 13$

$5x^2 + 2x + 10 = 13$

Перенесем 13 в левую часть:

$5x^2 + 2x + 10 - 13 = 0$

$5x^2 + 2x - 3 = 0$

Решим квадратное уравнение. Найдем дискриминант:

$D = b^2 - 4ac = 2^2 - 4 \cdot 5 \cdot (-3) = 4 + 60 = 64$

Найдем корни:

$x_1 = \frac{-2 + \sqrt{64}}{2 \cdot 5} = \frac{-2 + 8}{10} = \frac{6}{10} = \frac{3}{5}$

$x_2 = \frac{-2 - \sqrt{64}}{2 \cdot 5} = \frac{-2 - 8}{10} = \frac{-10}{10} = -1$

Ответ: $x_1 = \frac{3}{5}$, $x_2 = -1$.

Помогло решение? Оставьте отзыв в комментариях ниже.

Присоединяйтесь к Телеграм-группе @gdz_by_belarus

Присоединиться

Мы подготовили для вас ответ c подробным объяснением домашего задания по алгебре за 8 класс, для упражнения номер 2.77 расположенного на странице 115 к учебнику 2024 года издания для учащихся школ и гимназий.

Теперь на нашем сайте ГДЗ.ТОП вы всегда легко и бесплатно найдёте условие с правильным ответом на вопрос «Как решить ДЗ» и «Как сделать» задание по алгебре к упражнению №2.77 (с. 115), авторов: Арефьева (Ирина Глебовна), Пирютко (Ольга Николаевна), учебного пособия издательства Адукацыя i выхаванне.