Номер 2.91, страница 116 - гдз по алгебре 8 класс учебник Арефьева, Пирютко

Алгебра, 8 класс Учебник, авторы: Арефьева Ирина Глебовна, Пирютко Ольга Николаевна, издательство Адукацыя i выхаванне, Минск, 2024, бирюзового цвета

Авторы: Арефьева И. Г., Пирютко О. Н.

Тип: Учебник

Издательство: Адукацыя i выхаванне

Год издания: 2024 - 2026

Цвет обложки: бирюзовый с графиком

ISBN: ISBN 978-985-03-4081-8

Допущено Министерством образования Республики Беларусь

Популярные ГДЗ в 8 классе

Глава 2. Квадратные уравнения. Параграф 9. Теорема Виета - номер 2.91, страница 116.

№2.91 (с. 116)
Условие. №2.91 (с. 116)
скриншот условия
Алгебра, 8 класс Учебник, авторы: Арефьева Ирина Глебовна, Пирютко Ольга Николаевна, издательство Адукацыя i выхаванне, Минск, 2024, бирюзового цвета, страница 116, номер 2.91, Условие

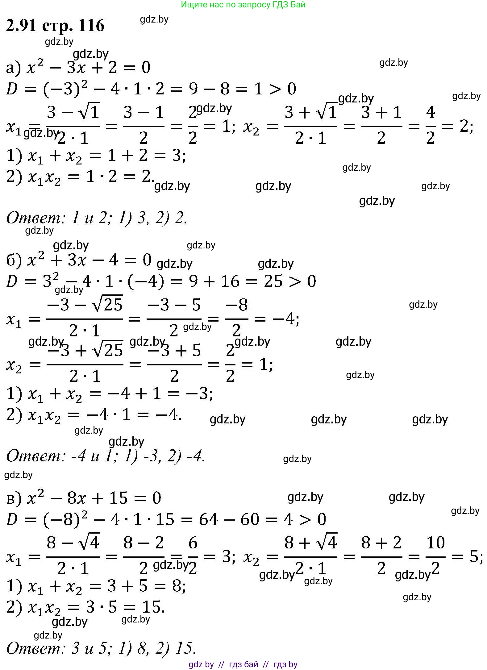
2.91. Решите уравнение:

а) $x^2 - 3x + 2 = 0$;

б) $x^2 + 3x - 4 = 0$;

в) $x^2 - 8x + 15 = 0$ и найдите:

1) сумму его корней;

2) произведение его корней.

Решение. №2.91 (с. 116)
Алгебра, 8 класс Учебник, авторы: Арефьева Ирина Глебовна, Пирютко Ольга Николаевна, издательство Адукацыя i выхаванне, Минск, 2024, бирюзового цвета, страница 116, номер 2.91, Решение
Решение 2. №2.91 (с. 116)

а) Решим квадратное уравнение $x^2 - 3x + 2 = 0$.

Это приведенное квадратное уравнение ($a=1$). Для его решения можно воспользоваться теоремой Виета. Для уравнения вида $x^2 + px + q = 0$ сумма корней $x_1 + x_2 = -p$, а произведение корней $x_1 \cdot x_2 = q$.

В данном уравнении $p = -3$ и $q = 2$. Следовательно:

$x_1 + x_2 = -(-3) = 3$

$x_1 \cdot x_2 = 2$

Методом подбора находим, что корнями являются числа 1 и 2, так как $1 + 2 = 3$ и $1 \cdot 2 = 2$.

Для проверки решим уравнение через дискриминант $D = b^2 - 4ac$:

$D = (-3)^2 - 4 \cdot 1 \cdot 2 = 9 - 8 = 1$

Корни находим по формуле $x_{1,2} = \frac{-b \pm \sqrt{D}}{2a}$:

$x_1 = \frac{-(-3) + \sqrt{1}}{2 \cdot 1} = \frac{3 + 1}{2} = \frac{4}{2} = 2$

$x_2 = \frac{-(-3) - \sqrt{1}}{2 \cdot 1} = \frac{3 - 1}{2} = \frac{2}{2} = 1$

Ответ: 1; 2.

б) Решим квадратное уравнение $x^2 + 3x - 4 = 0$.

Коэффициенты уравнения: $a=1, b=3, c=-4$.

Вычислим дискриминант:

$D = b^2 - 4ac = 3^2 - 4 \cdot 1 \cdot (-4) = 9 + 16 = 25$

Так как $D > 0$, уравнение имеет два различных корня. Найдем их по формуле:

$x_{1,2} = \frac{-b \pm \sqrt{D}}{2a} = \frac{-3 \pm \sqrt{25}}{2 \cdot 1} = \frac{-3 \pm 5}{2}$

$x_1 = \frac{-3 + 5}{2} = \frac{2}{2} = 1$

$x_2 = \frac{-3 - 5}{2} = \frac{-8}{2} = -4$

Ответ: -4; 1.

в) Сначала необходимо решить уравнение $x^2 - 8x + 15 = 0$.

Воспользуемся теоремой Виета. Для данного приведенного уравнения сумма корней $x_1 + x_2 = -(-8) = 8$, а их произведение $x_1 \cdot x_2 = 15$.

Подбором находим корни: $x_1 = 3$ и $x_2 = 5$.

Проверка: $3 + 5 = 8$ и $3 \cdot 5 = 15$. Корни найдены верно.

Теперь, зная корни, найдем их сумму и произведение.

1) сумму его корней

Сумма найденных корней: $3 + 5 = 8$.

Ответ: 8.

2) произведение его корней

Произведение найденных корней: $3 \cdot 5 = 15$.

Ответ: 15.

Помогло решение? Оставьте отзыв в комментариях ниже.

Присоединяйтесь к Телеграм-группе @gdz_by_belarus

Присоединиться

Мы подготовили для вас ответ c подробным объяснением домашего задания по алгебре за 8 класс, для упражнения номер 2.91 расположенного на странице 116 к учебнику 2024 года издания для учащихся школ и гимназий.

Теперь на нашем сайте ГДЗ.ТОП вы всегда легко и бесплатно найдёте условие с правильным ответом на вопрос «Как решить ДЗ» и «Как сделать» задание по алгебре к упражнению №2.91 (с. 116), авторов: Арефьева (Ирина Глебовна), Пирютко (Ольга Николаевна), учебного пособия издательства Адукацыя i выхаванне.