Номер 35, страница 251 - гдз по алгебре 8 класс учебник Арефьева, Пирютко

Алгебра, 8 класс Учебник, авторы: Арефьева Ирина Глебовна, Пирютко Ольга Николаевна, издательство Адукацыя i выхаванне, Минск, 2024, бирюзового цвета

Авторы: Арефьева И. Г., Пирютко О. Н.

Тип: Учебник

Издательство: Адукацыя i выхаванне

Год издания: 2024 - 2026

Цвет обложки: бирюзовый с графиком

ISBN: ISBN 978-985-03-4081-8

Допущено Министерством образования Республики Беларусь

Популярные ГДЗ в 8 классе

Повторение курса алгебры 8-го класса. Квадратичная функция - номер 35, страница 251.

№35 (с. 251)
Условие. №35 (с. 251)
скриншот условия
Алгебра, 8 класс Учебник, авторы: Арефьева Ирина Глебовна, Пирютко Ольга Николаевна, издательство Адукацыя i выхаванне, Минск, 2024, бирюзового цвета, страница 251, номер 35, Условие

35. Решите неравенство, используя свойства квадратичной функции:

а) $x^2 - 2x - 15 \geq 0;$

б) $3x^2 - 4x + 7 < 0;$

в) $4x^2 - 4x - 15 \leq 0;$

г) $x^2 - 8x + 16 \leq 0;$

д) $x^2 + 4x + 5 > 0;$

е) $x^2 + 10x - 24 < 0;$

ж) $x^2 \leq 36;$

з) $5x^2 + x > 0;$

и) $-4x^2 + 1 \leq 0;$

к) $8x^2 \geq 16.$

Решение. №35 (с. 251)
Алгебра, 8 класс Учебник, авторы: Арефьева Ирина Глебовна, Пирютко Ольга Николаевна, издательство Адукацыя i выхаванне, Минск, 2024, бирюзового цвета, страница 251, номер 35, Решение Алгебра, 8 класс Учебник, авторы: Арефьева Ирина Глебовна, Пирютко Ольга Николаевна, издательство Адукацыя i выхаванне, Минск, 2024, бирюзового цвета, страница 251, номер 35, Решение (продолжение 2)
Решение 2. №35 (с. 251)

Для решения квадратичных неравенств используется метод интервалов, основанный на свойствах квадратичной функции $y = ax^2 + bx + c$. Общий алгоритм заключается в следующем:

  1. Рассматривается соответствующая квадратичная функция и определяется направление ветвей ее графика (параболы).
  2. Находятся нули функции (точки пересечения с осью абсцисс) путем решения квадратного уравнения $ax^2 + bx + c = 0$.
  3. Схематически изображается парабола на координатной прямой, отмечаются ее нули.
  4. На основе знака неравенства и расположения параболы определяются промежутки, являющиеся решением.
а) $x^2 - 2x - 15 \ge 0$

1. Рассмотрим соответствующую квадратичную функцию $y = x^2 - 2x - 15$. Графиком является парабола, ветви которой направлены вверх, так как коэффициент при $x^2$ равен $1$ ($a=1 > 0$).

2. Найдем нули функции, решив уравнение $x^2 - 2x - 15 = 0$.
С помощью дискриминанта: $D = b^2 - 4ac = (-2)^2 - 4 \cdot 1 \cdot (-15) = 4 + 60 = 64$.
Корни уравнения: $x_{1,2} = \frac{-b \pm \sqrt{D}}{2a} = \frac{2 \pm \sqrt{64}}{2} = \frac{2 \pm 8}{2}$.
$x_1 = \frac{2+8}{2} = 5$.
$x_2 = \frac{2-8}{2} = -3$.

3. Парабола пересекает ось Ox в точках $x=-3$ и $x=5$. Поскольку ветви направлены вверх, функция принимает неотрицательные значения ($y \ge 0$) на промежутках левее меньшего корня и правее большего корня, включая сами корни.

Ответ: $x \in (-\infty; -3] \cup [5; +\infty)$.

б) $3x^2 - 4x + 7 < 0$

1. Рассмотрим функцию $y = 3x^2 - 4x + 7$. Ветви параболы направлены вверх ($a=3 > 0$).

2. Найдем нули функции, решив уравнение $3x^2 - 4x + 7 = 0$.
$D = b^2 - 4ac = (-4)^2 - 4 \cdot 3 \cdot 7 = 16 - 84 = -68$.

3. Так как дискриминант $D < 0$, уравнение не имеет действительных корней, и парабола не пересекает ось Ox. Поскольку ветви направлены вверх, вся парабола находится выше оси Ox. Это означает, что $y > 0$ для любого значения $x$.

4. Неравенство $3x^2 - 4x + 7 < 0$ требует найти значения $x$, при которых функция отрицательна. Таких значений нет.

Ответ: решений нет ($x \in \emptyset$).

в) $4x^2 - 4x - 15 \le 0$

1. Рассмотрим функцию $y = 4x^2 - 4x - 15$. Ветви параболы направлены вверх ($a=4 > 0$).

2. Найдем нули функции, решив уравнение $4x^2 - 4x - 15 = 0$.
$D = b^2 - 4ac = (-4)^2 - 4 \cdot 4 \cdot (-15) = 16 + 240 = 256$.
$x_{1,2} = \frac{-b \pm \sqrt{D}}{2a} = \frac{4 \pm \sqrt{256}}{8} = \frac{4 \pm 16}{8}$.
$x_1 = \frac{4+16}{8} = \frac{20}{8} = \frac{5}{2} = 2\frac{1}{2}$.
$x_2 = \frac{4-16}{8} = \frac{-12}{8} = -\frac{3}{2} = -1\frac{1}{2}$.

3. Парабола пересекает ось Ox в точках $x = -1\frac{1}{2}$ и $x = 2\frac{1}{2}$. Так как ветви направлены вверх, функция принимает неположительные значения ($y \le 0$) на промежутке между корнями, включая сами корни.

Ответ: $x \in \left[-\mathbf{1}\frac{1}{2}; \mathbf{2}\frac{1}{2}\right]$.

г) $x^2 - 8x + 16 \le 0$

1. Рассмотрим функцию $y = x^2 - 8x + 16$. Выражение в левой части является полным квадратом: $(x-4)^2$.

2. Неравенство можно переписать в виде $(x-4)^2 \le 0$.

3. Функция $y = (x-4)^2$ представляет собой параболу с ветвями вверх, вершина которой находится в точке $(4, 0)$ и касается оси Ox. Значение функции всегда неотрицательно ($y \ge 0$).

4. Условие $y \le 0$ выполняется только в одном случае: когда $y=0$. Это происходит при $x-4=0$, то есть $x=4$.

Ответ: $x = 4$.

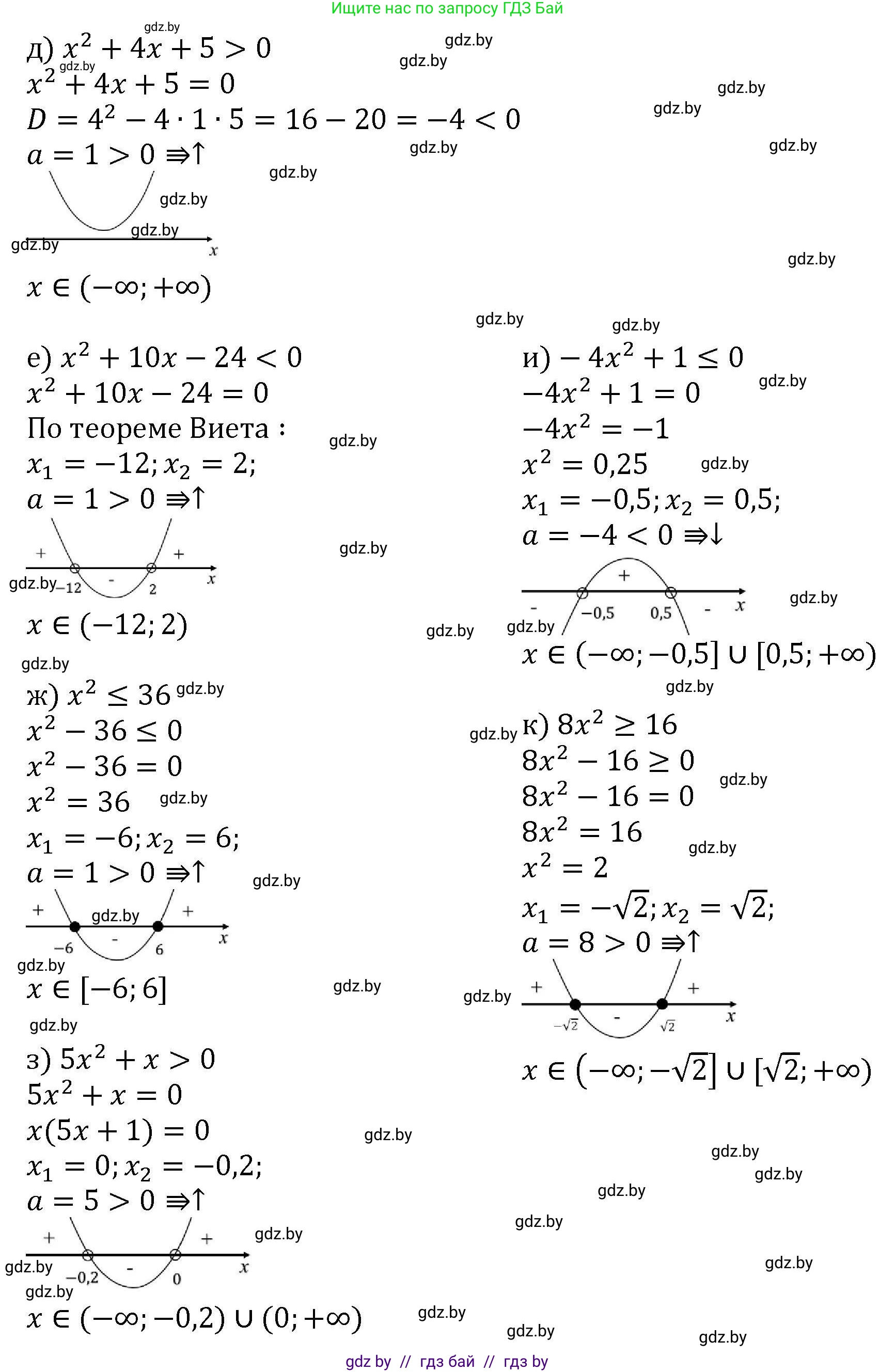
д) $x^2 + 4x + 5 > 0$

1. Рассмотрим функцию $y = x^2 + 4x + 5$. Ветви параболы направлены вверх ($a=1 > 0$).

2. Найдем нули функции: $x^2 + 4x + 5 = 0$.
$D = b^2 - 4ac = 4^2 - 4 \cdot 1 \cdot 5 = 16 - 20 = -4$.

3. Так как $D < 0$, у параболы нет точек пересечения с осью Ox. Поскольку ветви направлены вверх, вся парабола расположена выше оси Ox, и, следовательно, $y > 0$ при всех действительных $x$.

Ответ: $x \in (-\infty; +\infty)$.

е) $x^2 + 10x - 24 < 0$

1. Рассмотрим функцию $y = x^2 + 10x - 24$. Ветви параболы направлены вверх ($a=1 > 0$).

2. Найдем нули функции: $x^2 + 10x - 24 = 0$.
По теореме Виета, корни $x_1 = 2$ и $x_2 = -12$. (Проверка: $2 + (-12) = -10$, $2 \cdot (-12) = -24$).

3. Парабола пересекает ось Ox в точках $x=-12$ и $x=2$. Так как ветви направлены вверх, функция принимает отрицательные значения ($y < 0$) на интервале между корнями.

Ответ: $x \in (-12; 2)$.

ж) $x^2 \le 36$

1. Перенесем 36 в левую часть: $x^2 - 36 \le 0$.

2. Рассмотрим функцию $y = x^2 - 36$. Это парабола с ветвями вверх ($a=1 > 0$).

3. Найдем нули функции: $x^2 - 36 = 0 \implies (x-6)(x+6) = 0$. Корни: $x_1=6$, $x_2=-6$.

4. Парабола пересекает ось Ox в точках $x=-6$ и $x=6$. Неположительные значения ($y \le 0$) функция принимает на отрезке между корнями.

Ответ: $x \in [-6; 6]$.

з) $5x^2 + x > 0$

1. Рассмотрим функцию $y = 5x^2 + x$. Ветви параболы направлены вверх ($a=5 > 0$).

2. Найдем нули функции: $5x^2 + x = 0 \implies x(5x+1) = 0$. Корни: $x_1=0$, $x_2 = -1/5$.

3. Парабола пересекает ось Ox в точках $x=-1/5$ и $x=0$. Положительные значения ($y > 0$) функция принимает на интервалах вне отрезка между корнями.

Ответ: $x \in (-\infty; -1/5) \cup (0; +\infty)$.

и) $-4x^2 + 1 \le 0$

1. Рассмотрим функцию $y = -4x^2 + 1$. Ветви параболы направлены вниз ($a=-4 < 0$).

2. Найдем нули функции: $-4x^2 + 1 = 0 \implies 4x^2 = 1 \implies x^2 = 1/4$. Корни: $x_1=1/2$, $x_2=-1/2$.

3. Парабола пересекает ось Ox в точках $x=-1/2$ и $x=1/2$. Так как ветви направлены вниз, функция принимает неположительные значения ($y \le 0$) на промежутках вне отрезка между корнями, включая сами корни.

Ответ: $x \in (-\infty; -1/2] \cup [1/2; +\infty)$.

к) $8x^2 \ge 16$

1. Перенесем 16 в левую часть и разделим на 8: $8x^2 - 16 \ge 0 \implies x^2 - 2 \ge 0$.

2. Рассмотрим функцию $y = x^2 - 2$. Ветви параболы направлены вверх ($a=1 > 0$).

3. Найдем нули функции: $x^2 - 2 = 0 \implies x^2 = 2$. Корни: $x_1=\sqrt{2}$, $x_2=-\sqrt{2}$.

4. Парабола пересекает ось Ox в точках $x=-\sqrt{2}$ и $x=\sqrt{2}$. Неотрицательные значения ($y \ge 0$) функция принимает на промежутках вне отрезка между корнями, включая сами корни.

Ответ: $x \in (-\infty; -\sqrt{2}] \cup [\sqrt{2}; +\infty)$.

Помогло решение? Оставьте отзыв в комментариях ниже.

Присоединяйтесь к Телеграм-группе @gdz_by_belarus

Присоединиться

Мы подготовили для вас ответ c подробным объяснением домашего задания по алгебре за 8 класс, для упражнения номер 35 расположенного на странице 251 к учебнику 2024 года издания для учащихся школ и гимназий.

Теперь на нашем сайте ГДЗ.ТОП вы всегда легко и бесплатно найдёте условие с правильным ответом на вопрос «Как решить ДЗ» и «Как сделать» задание по алгебре к упражнению №35 (с. 251), авторов: Арефьева (Ирина Глебовна), Пирютко (Ольга Николаевна), учебного пособия издательства Адукацыя i выхаванне.