Номер 532, страница 125 - гдз по алгебре 8 класс учебник Макарычев, Миндюк

Алгебра, 8 класс Учебник, авторы: Макарычев Юрий Николаевич, Миндюк Нора Григорьевна, Нешков Константин Иванович, Суворова Светлана Борисовна, издательство Просвещение, Москва, 2023, белого цвета

Авторы: Макарычев Ю. Н., Миндюк Н. Г., Нешков К. И., Суворова С. Б.

Тип: Учебник

Издательство: Просвещение

Год издания: 2023 - 2026

Уровень обучения: базовый

Цвет обложки: белый, голубой, фиолетовый

ISBN: 978-5-09-102536-1, 978-5-09-111166-8

Допущено Министерством просвещения Российской Федерации

Популярные ГДЗ в 8 классе

Глава 3. Уравнения и системы уравнений. Параграф 7. Квадратное уравнение и его корни. 21. Формула корней квадратного уравнения - номер 532, страница 125.

№532 (с. 125)
Условие. №532 (с. 125)
скриншот условия
Алгебра, 8 класс Учебник, авторы: Макарычев Юрий Николаевич, Миндюк Нора Григорьевна, Нешков Константин Иванович, Суворова Светлана Борисовна, издательство Просвещение, Москва, 2023, белого цвета, страница 125, номер 532, Условие

532. Решите уравнение:

Решить уравнения
Решение. №532 (с. 125)
скриншот решения
Алгебра, 8 класс Учебник, авторы: Макарычев Юрий Николаевич, Миндюк Нора Григорьевна, Нешков Константин Иванович, Суворова Светлана Борисовна, издательство Просвещение, Москва, 2023, белого цвета, страница 125, номер 532, Решение
Алгебра, 8 класс Учебник, авторы: Макарычев Юрий Николаевич, Миндюк Нора Григорьевна, Нешков Константин Иванович, Суворова Светлана Борисовна, издательство Просвещение, Москва, 2023, белого цвета, страница 125, номер 532, Решение (продолжение 2)
Алгебра, 8 класс Учебник, авторы: Макарычев Юрий Николаевич, Миндюк Нора Григорьевна, Нешков Константин Иванович, Суворова Светлана Борисовна, издательство Просвещение, Москва, 2023, белого цвета, страница 125, номер 532, Решение (продолжение 3)

а) 3x2-7x+4=0 D=(-7)2-4·3·4=49-48=1>0 x=7±16, x=7±16 x=86 или x=1 x=43 x=113 Ответ: 1; 113 

б) 5x2-8x+3=0 D=(-8)2-4·5·3=64-60=4>0 x=8±410, x=8±210 x=1 или x=0,6 Ответ: 0,6; 1

в) 3x2-13x+14=0 D=(-13)2-4·3·14=169-168=1>0 x=13±16; x=13±16 x=146 или x=2 x=73 x=213 Ответ: 213; 2

г) 2y2-9y+10=0 D=(-9)2-4·2·10=81-80=1>0 y=9±14; y=9±14 y=104 или y=2 y=52 y=2,5 Ответ: 2,5; 2

д) 5y2-6y+1=0 D=(-6)2-4·5·1=36-20=16>0 y=6±1610; y=6±410 y=1 или y=0,2 Ответ: 1; 0,2

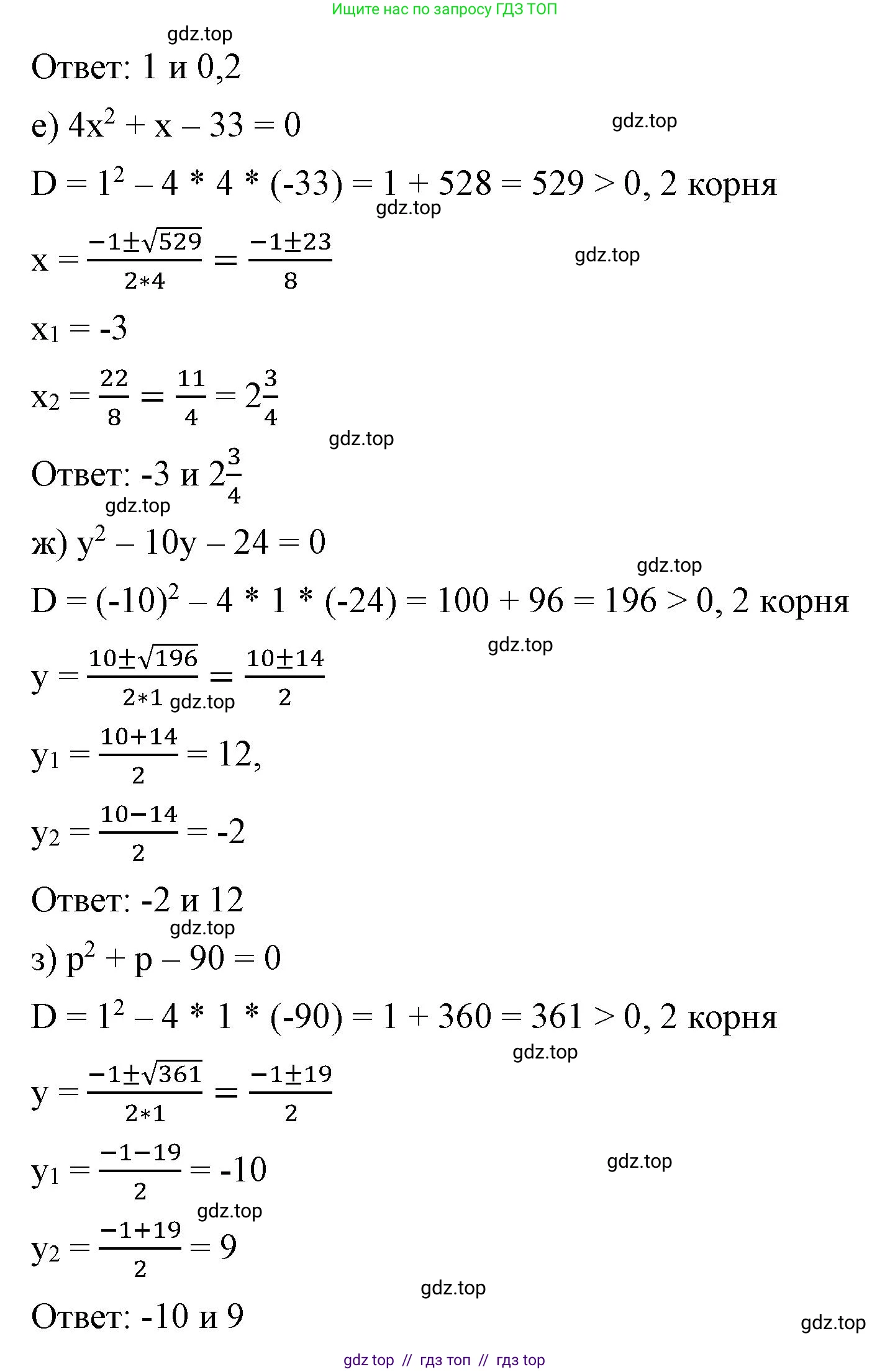
е) 4x2+x-33=0 D=12-4·4·(-33)=1+528=529>0 x=-1±5298, x=-1±238 x=228 или x=-3 x=114 x=234 Ответ: -3; 234

ж) y2-10y-24=0 D=(-10)2-4·1·(-24)=100+96=196>0 y=10±1962, y=10±142 y=12 или y=-2 Ответ: -2; 12

з) p2+p-90=0 D=1-4·1·(-90)=1+360=361>0 p=-1±3612, p=-1±192 p=9 или p=-10 Ответ: -10; 9

Решение 2. №532 (с. 125)
Алгебра, 8 класс Учебник, авторы: Макарычев Юрий Николаевич, Миндюк Нора Григорьевна, Нешков Константин Иванович, Суворова Светлана Борисовна, издательство Просвещение, Москва, 2023, белого цвета, страница 125, номер 532, Решение 2
Алгебра, 8 класс Учебник, авторы: Макарычев Юрий Николаевич, Миндюк Нора Григорьевна, Нешков Константин Иванович, Суворова Светлана Борисовна, издательство Просвещение, Москва, 2023, белого цвета, страница 125, номер 532, Решение 2 (продолжение 2)
Решение 3. №532 (с. 125)

а) Дано уравнение: $3x^2 - 7x + 4 = 0$.
Это квадратное уравнение вида $ax^2 + bx + c = 0$ с коэффициентами $a=3$, $b=-7$, $c=4$.
Для решения найдем дискриминант по формуле $D = b^2 - 4ac$:
$D = (-7)^2 - 4 \cdot 3 \cdot 4 = 49 - 48 = 1$.
Так как $D > 0$, уравнение имеет два различных действительных корня.
Корни находятся по формуле $x_{1,2} = \frac{-b \pm \sqrt{D}}{2a}$:
$x_1 = \frac{-(-7) + \sqrt{1}}{2 \cdot 3} = \frac{7 + 1}{6} = \frac{8}{6} = \frac{4}{3}$.
$x_2 = \frac{-(-7) - \sqrt{1}}{2 \cdot 3} = \frac{7 - 1}{6} = \frac{6}{6} = 1$.
Ответ: $1; \frac{4}{3}$.

б) Дано уравнение: $5x^2 - 8x + 3 = 0$.
Коэффициенты: $a=5$, $b=-8$, $c=3$.
Вычислим дискриминант: $D = b^2 - 4ac = (-8)^2 - 4 \cdot 5 \cdot 3 = 64 - 60 = 4$.
Так как $D > 0$, уравнение имеет два корня. $\sqrt{4} = 2$.
$x_1 = \frac{-(-8) + 2}{2 \cdot 5} = \frac{8 + 2}{10} = \frac{10}{10} = 1$.
$x_2 = \frac{-(-8) - 2}{2 \cdot 5} = \frac{8 - 2}{10} = \frac{6}{10} = \frac{3}{5}$.
Ответ: $\frac{3}{5}; 1$.

в) Дано уравнение: $3x^2 - 13x + 14 = 0$.
Коэффициенты: $a=3$, $b=-13$, $c=14$.
Вычислим дискриминант: $D = b^2 - 4ac = (-13)^2 - 4 \cdot 3 \cdot 14 = 169 - 168 = 1$.
Так как $D > 0$, уравнение имеет два корня. $\sqrt{1} = 1$.
$x_1 = \frac{-(-13) + 1}{2 \cdot 3} = \frac{13 + 1}{6} = \frac{14}{6} = \frac{7}{3}$.
$x_2 = \frac{-(-13) - 1}{2 \cdot 3} = \frac{13 - 1}{6} = \frac{12}{6} = 2$.
Ответ: $2; \frac{7}{3}$.

г) Дано уравнение: $2y^2 - 9y + 10 = 0$.
Коэффициенты: $a=2$, $b=-9$, $c=10$.
Вычислим дискриминант: $D = b^2 - 4ac = (-9)^2 - 4 \cdot 2 \cdot 10 = 81 - 80 = 1$.
Так как $D > 0$, уравнение имеет два корня. $\sqrt{1} = 1$.
$y_1 = \frac{-(-9) + 1}{2 \cdot 2} = \frac{9 + 1}{4} = \frac{10}{4} = \frac{5}{2} = 2,5$.
$y_2 = \frac{-(-9) - 1}{2 \cdot 2} = \frac{9 - 1}{4} = \frac{8}{4} = 2$.
Ответ: $2; 2,5$.

д) Дано уравнение: $5y^2 - 6y + 1 = 0$.
Коэффициенты: $a=5$, $b=-6$, $c=1$.
Вычислим дискриминант: $D = b^2 - 4ac = (-6)^2 - 4 \cdot 5 \cdot 1 = 36 - 20 = 16$.
Так как $D > 0$, уравнение имеет два корня. $\sqrt{16}=4$.
$y_1 = \frac{-(-6) + 4}{2 \cdot 5} = \frac{6 + 4}{10} = \frac{10}{10} = 1$.
$y_2 = \frac{-(-6) - 4}{2 \cdot 5} = \frac{6 - 4}{10} = \frac{2}{10} = \frac{1}{5}$.
Ответ: $\frac{1}{5}; 1$.

е) Дано уравнение: $4x^2 + x - 33 = 0$.
Коэффициенты: $a=4$, $b=1$, $c=-33$.
Вычислим дискриминант: $D = b^2 - 4ac = 1^2 - 4 \cdot 4 \cdot (-33) = 1 + 528 = 529$.
Так как $D > 0$, уравнение имеет два корня. $\sqrt{529}=23$.
$x_1 = \frac{-1 + 23}{2 \cdot 4} = \frac{22}{8} = \frac{11}{4} = 2,75$.
$x_2 = \frac{-1 - 23}{2 \cdot 4} = \frac{-24}{8} = -3$.
Ответ: $-3; 2,75$.

ж) Дано уравнение: $y^2 - 10y - 24 = 0$.
Коэффициенты: $a=1$, $b=-10$, $c=-24$.
Вычислим дискриминант: $D = b^2 - 4ac = (-10)^2 - 4 \cdot 1 \cdot (-24) = 100 + 96 = 196$.
Так как $D > 0$, уравнение имеет два корня. $\sqrt{196}=14$.
$y_1 = \frac{-(-10) + 14}{2 \cdot 1} = \frac{10 + 14}{2} = \frac{24}{2} = 12$.
$y_2 = \frac{-(-10) - 14}{2 \cdot 1} = \frac{10 - 14}{2} = \frac{-4}{2} = -2$.
Ответ: $-2; 12$.

з) Дано уравнение: $p^2 + p - 90 = 0$.
Коэффициенты: $a=1$, $b=1$, $c=-90$.
Вычислим дискриминант: $D = b^2 - 4ac = 1^2 - 4 \cdot 1 \cdot (-90) = 1 + 360 = 361$.
Так как $D > 0$, уравнение имеет два корня. $\sqrt{361}=19$.
$p_1 = \frac{-1 + 19}{2 \cdot 1} = \frac{18}{2} = 9$.
$p_2 = \frac{-1 - 19}{2 \cdot 1} = \frac{-20}{2} = -10$.
Ответ: $-10; 9$.

Помогло решение? Оставьте отзыв в комментариях ниже.

Присоединяйтесь к Телеграм-группе @top_gdz

Присоединиться

Мы подготовили для вас ответ c подробным объяснением домашего задания по алгебре за 8 класс, для упражнения номер 532 расположенного на странице 125 к учебнику 2023 года издания для учащихся школ и гимназий.

Теперь на нашем сайте ГДЗ.ТОП вы всегда легко и бесплатно найдёте условие с правильным ответом на вопрос «Как решить ДЗ» и «Как сделать» задание по алгебре к упражнению №532 (с. 125), авторов: Макарычев (Юрий Николаевич), Миндюк (Нора Григорьевна), Нешков (Константин Иванович), Суворова (Светлана Борисовна), ФГОС (новый, красный) базовый уровень обучения учебного пособия издательства Просвещение.