Номер 632, страница 148 - гдз по алгебре 8 класс учебник Макарычев, Миндюк

Алгебра, 8 класс Учебник, авторы: Макарычев Юрий Николаевич, Миндюк Нора Григорьевна, Нешков Константин Иванович, Суворова Светлана Борисовна, издательство Просвещение, Москва, 2023, белого цвета

Авторы: Макарычев Ю. Н., Миндюк Н. Г., Нешков К. И., Суворова С. Б.

Тип: Учебник

Издательство: Просвещение

Год издания: 2023 - 2026

Уровень обучения: базовый

Цвет обложки: белый, голубой, фиолетовый

ISBN: 978-5-09-102536-1, 978-5-09-111166-8

Допущено Министерством просвещения Российской Федерации

Популярные ГДЗ в 8 классе

Глава 3. Уравнения и системы уравнений. Параграф 9. Дробные рациональные уравнения. 26. Решение дробных рациональных уравнений - номер 632, страница 148.

№632 (с. 148)
Условие. №632 (с. 148)
скриншот условия
Алгебра, 8 класс Учебник, авторы: Макарычев Юрий Николаевич, Миндюк Нора Григорьевна, Нешков Константин Иванович, Суворова Светлана Борисовна, издательство Просвещение, Москва, 2023, белого цвета, страница 148, номер 632, Условие

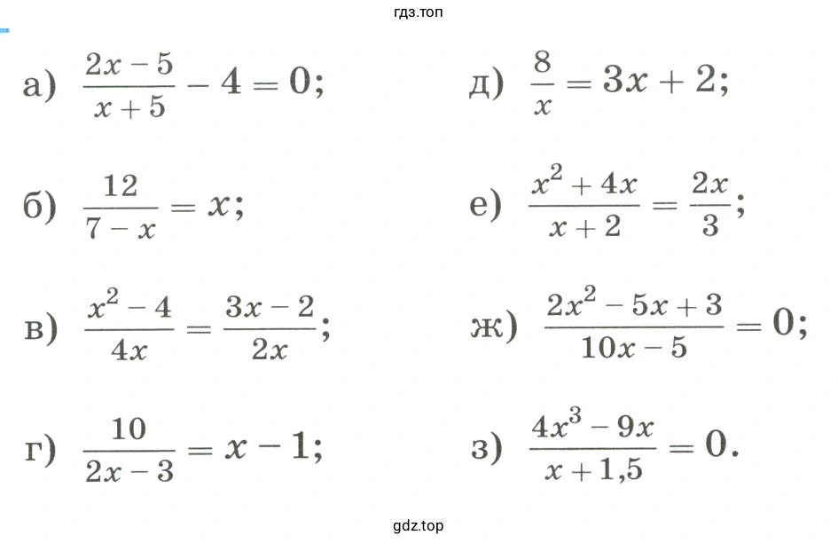
632. Решите уравнение:

Упражнение 632 решить уравнение
Решение. №632 (с. 148)
скриншот решения
Алгебра, 8 класс Учебник, авторы: Макарычев Юрий Николаевич, Миндюк Нора Григорьевна, Нешков Константин Иванович, Суворова Светлана Борисовна, издательство Просвещение, Москва, 2023, белого цвета, страница 148, номер 632, Решение
Алгебра, 8 класс Учебник, авторы: Макарычев Юрий Николаевич, Миндюк Нора Григорьевна, Нешков Константин Иванович, Суворова Светлана Борисовна, издательство Просвещение, Москва, 2023, белого цвета, страница 148, номер 632, Решение (продолжение 2)
Алгебра, 8 класс Учебник, авторы: Макарычев Юрий Николаевич, Миндюк Нора Григорьевна, Нешков Константин Иванович, Суворова Светлана Борисовна, издательство Просвещение, Москва, 2023, белого цвета, страница 148, номер 632, Решение (продолжение 3)
Алгебра, 8 класс Учебник, авторы: Макарычев Юрий Николаевич, Миндюк Нора Григорьевна, Нешков Константин Иванович, Суворова Светлана Борисовна, издательство Просвещение, Москва, 2023, белого цвета, страница 148, номер 632, Решение (продолжение 4)

a) 2x5x+54=0 /x+5 2x54x+5=0 2x54x20=0 2x25=0 2x=25 x=12,5

Если x=12,5x=-12,5, то x+5=12,5+5=7,50x+5 = -12,5+5=-7,5 \neq 0

Ответ: -12,5

б) 127x=x /7x 12=x7x 12=7xx2 127x+x2=0 x27x+12=0 D=724112=4948=1 x=7±12; x=7±12 x=4 или x=3

Если x=4x=4, то 7x=74=307-x = 7-4 = 3 \neq 0,

если x=3x=3, то 7x=73=407-x = 7-3 = 4 \neq 0

Ответ: 3; 4

в) x244x=3x22x /4x x24=23x2 x24=6x4 x246x+4=0 x26x=0 x(x-6)=0 x=0илиx-6=0  x=6

Если x=0, то 4x=4*0=0;

если x=6, то 4x=4*6=24≠0

Ответ: 6

г) 102x3=x-1  /·(2x-3) 10=(x-1)(2x-3) 10=2x2-3x-2x+3 2x2-5x+3-10=0 2x2-5x-7=0 D=524·2·7=25+56=81 x=5±814; x=5±94 x=144 или x=-1 x=72

Если x=72, то 2x-3=2·72-3=7-3=40,

если x=-1, то 2x-3=2·(-1)-3=-2-3=-50

Ответ: -1; 3,5

д) 8x=3x+2   /·x 8=3x²+2x 3x2+2x-8=0 D=224·3·(8)=4+96=100 x=-2±1006; x=-2±106 x=86 или x=-2 x=43 x=113

Если x=113>x = 1\frac{1}{3}, то x0x \neq 0,

Если x=2x = -2, то x0x \neq 0

Ответ: -2, 113>1\frac{1}{3}

e) x2+4xx+2=2x3   /·3(x+2) 3x2+4x=2xx+2 3x2+12x=2x2+4x 3x2+12x2x24x=0 x2+8x=0 xx+8=0 x=0илиx+8=0  x=-8

Если x=0x = 0, то 3x+2=3·0+2=60

Если x=8x = -8, то 38+2=3·6=180

Ответ: -8; 0

ж) 2x25x+310x5=0   /·(10x-5) 2x25x+3=0 D=52423=2524=1 x=5±14; x=5±14 x=1,5 или x=1

Если x=1,5, то 10x5=10·1,55=155=100,

если x=1x = 1, то 10x5=10·15=50

Ответ: 1; 1,5

з) 4x3-9xx+1,5=0   /·(x+1,5) 4x3-9x=0 x(4x2-9)=0 x=0или4x2-9=0  4x2=9  x2=94  x=32 или x=-32

Если x=0, то x+1,5=0+1,5=1,50,

если x=32, то x+1,5=32+1,5=30,

если x=-32, то x+1,5=-32+1,5=0,

Ответ: 1,5; 0

Решение 2. №632 (с. 148)
Алгебра, 8 класс Учебник, авторы: Макарычев Юрий Николаевич, Миндюк Нора Григорьевна, Нешков Константин Иванович, Суворова Светлана Борисовна, издательство Просвещение, Москва, 2023, белого цвета, страница 148, номер 632, Решение 2
Алгебра, 8 класс Учебник, авторы: Макарычев Юрий Николаевич, Миндюк Нора Григорьевна, Нешков Константин Иванович, Суворова Светлана Борисовна, издательство Просвещение, Москва, 2023, белого цвета, страница 148, номер 632, Решение 2 (продолжение 2)
Решение 3. №632 (с. 148)

а)
Исходное уравнение: $\frac{2x - 5}{x + 5} - 4 = 0$.
Область допустимых значений (ОДЗ): знаменатель не должен быть равен нулю, то есть $x + 5 \neq 0$, откуда $x \neq -5$.
Перенесем 4 в правую часть уравнения: $\frac{2x - 5}{x + 5} = 4$.
Умножим обе части уравнения на $x + 5$ (учитывая ОДЗ):
$2x - 5 = 4(x + 5)$
$2x - 5 = 4x + 20$
$2x - 4x = 20 + 5$
$-2x = 25$
$x = -\frac{25}{2} = -12.5$.
Полученное значение $x = -12.5$ удовлетворяет условию ОДЗ ($x \neq -5$).
Ответ: -12.5.

б)
Исходное уравнение: $\frac{12}{7 - x} = x$.
ОДЗ: $7 - x \neq 0$, откуда $x \neq 7$.
Умножим обе части уравнения на $7 - x$ (при условии $x \neq 7$):
$12 = x(7 - x)$
$12 = 7x - x^2$
Перенесем все члены в левую часть, чтобы получить квадратное уравнение:
$x^2 - 7x + 12 = 0$.
Решим это уравнение. По теореме Виета: сумма корней $x_1 + x_2 = 7$, произведение корней $x_1 \cdot x_2 = 12$. Корни: $x_1 = 3$ и $x_2 = 4$.
Либо через дискриминант: $D = (-7)^2 - 4 \cdot 1 \cdot 12 = 49 - 48 = 1$.
$x_{1,2} = \frac{7 \pm \sqrt{1}}{2}$.
$x_1 = \frac{7 - 1}{2} = 3$.
$x_2 = \frac{7 + 1}{2} = 4$.
Оба корня, 3 и 4, удовлетворяют ОДЗ ($x \neq 7$).
Ответ: 3; 4.

в)
Исходное уравнение: $\frac{x^2 - 4}{4x} = \frac{3x - 2}{2x}$.
ОДЗ: знаменатели не должны быть равны нулю, $4x \neq 0$, что дает условие $x \neq 0$.
Приведем дроби к общему знаменателю $4x$. Для этого умножим числитель и знаменатель второй дроби на 2:
$\frac{x^2 - 4}{4x} = \frac{2(3x - 2)}{4x}$.
Так как знаменатели равны и не равны нулю, мы можем приравнять числители:
$x^2 - 4 = 2(3x - 2)$
$x^2 - 4 = 6x - 4$
$x^2 - 6x = 0$
Вынесем $x$ за скобки: $x(x - 6) = 0$.
Отсюда получаем два возможных корня: $x_1 = 0$ или $x - 6 = 0 \implies x_2 = 6$.
Проверяем корни по ОДЗ ($x \neq 0$). Корень $x_1 = 0$ является посторонним. Корень $x_2 = 6$ удовлетворяет ОДЗ.
Ответ: 6.

г)
Исходное уравнение: $\frac{10}{2x - 3} = x - 1$.
ОДЗ: $2x - 3 \neq 0$, откуда $2x \neq 3$, $x \neq 1.5$.
Умножим обе части уравнения на $2x - 3$ (при условии $x \neq 1.5$):
$10 = (x - 1)(2x - 3)$
$10 = 2x^2 - 3x - 2x + 3$
$10 = 2x^2 - 5x + 3$
Приведем к стандартному квадратному уравнению:
$2x^2 - 5x + 3 - 10 = 0$
$2x^2 - 5x - 7 = 0$.
Решим через дискриминант: $D = (-5)^2 - 4 \cdot 2 \cdot (-7) = 25 + 56 = 81 = 9^2$.
$x_{1,2} = \frac{-(-5) \pm 9}{2 \cdot 2} = \frac{5 \pm 9}{4}$.
$x_1 = \frac{5 - 9}{4} = \frac{-4}{4} = -1$.
$x_2 = \frac{5 + 9}{4} = \frac{14}{4} = \frac{7}{2} = 3.5$.
Оба корня, -1 и 3.5, удовлетворяют ОДЗ ($x \neq 1.5$).
Ответ: -1; 3.5.

д)
Исходное уравнение: $\frac{8}{x} = 3x + 2$.
ОДЗ: $x \neq 0$.
Умножим обе части на $x$ (при $x \neq 0$):
$8 = x(3x + 2)$
$8 = 3x^2 + 2x$
$3x^2 + 2x - 8 = 0$.
Решим квадратное уравнение через дискриминант: $D = 2^2 - 4 \cdot 3 \cdot (-8) = 4 + 96 = 100 = 10^2$.
$x_{1,2} = \frac{-2 \pm 10}{2 \cdot 3} = \frac{-2 \pm 10}{6}$.
$x_1 = \frac{-2 - 10}{6} = \frac{-12}{6} = -2$.
$x_2 = \frac{-2 + 10}{6} = \frac{8}{6} = \frac{4}{3}$.
Оба корня, -2 и $\frac{4}{3}$, удовлетворяют ОДЗ ($x \neq 0$).
Ответ: -2; $\frac{4}{3}$.

е)
Исходное уравнение: $\frac{x^2 + 4x}{x + 2} = \frac{2x}{3}$.
ОДЗ: $x + 2 \neq 0$, откуда $x \neq -2$.
Используем основное свойство пропорции (перекрестное умножение):
$3(x^2 + 4x) = 2x(x + 2)$
$3x^2 + 12x = 2x^2 + 4x$
Перенесем все члены в левую часть:
$3x^2 - 2x^2 + 12x - 4x = 0$
$x^2 + 8x = 0$
Вынесем $x$ за скобки: $x(x + 8) = 0$.
Отсюда получаем два возможных корня: $x_1 = 0$ или $x + 8 = 0 \implies x_2 = -8$.
Оба корня, 0 и -8, удовлетворяют ОДЗ ($x \neq -2$).
Ответ: -8; 0.

ж)
Исходное уравнение: $\frac{2x^2 - 5x + 3}{10x - 5} = 0$.
Дробь равна нулю тогда и только тогда, когда ее числитель равен нулю, а знаменатель отличен от нуля.
1. Найдем ОДЗ (условие, при котором знаменатель не равен нулю):
$10x - 5 \neq 0 \implies 10x \neq 5 \implies x \neq \frac{5}{10} \implies x \neq 0.5$.
2. Приравняем числитель к нулю:
$2x^2 - 5x + 3 = 0$.
Решим это квадратное уравнение. Дискриминант: $D = (-5)^2 - 4 \cdot 2 \cdot 3 = 25 - 24 = 1$.
$x_{1,2} = \frac{5 \pm \sqrt{1}}{2 \cdot 2} = \frac{5 \pm 1}{4}$.
$x_1 = \frac{5 - 1}{4} = \frac{4}{4} = 1$.
$x_2 = \frac{5 + 1}{4} = \frac{6}{4} = \frac{3}{2} = 1.5$.
3. Проверим, удовлетворяют ли найденные корни ОДЗ ($x \neq 0.5$). Оба корня ($1$ и $1.5$) удовлетворяют этому условию.
Ответ: 1; 1.5.

з)
Исходное уравнение: $\frac{4x^3 - 9x}{x + 1.5} = 0$.
Дробь равна нулю тогда и только тогда, когда ее числитель равен нулю, а знаменатель отличен от нуля.
1. Найдем ОДЗ: $x + 1.5 \neq 0 \implies x \neq -1.5$.
2. Приравняем числитель к нулю:
$4x^3 - 9x = 0$.
Вынесем общий множитель $x$ за скобки:
$x(4x^2 - 9) = 0$.
Выражение в скобках является разностью квадратов: $x((2x)^2 - 3^2) = x(2x - 3)(2x + 3) = 0$.
Произведение равно нулю, если один из множителей равен нулю:
$x_1 = 0$
$2x - 3 = 0 \implies 2x = 3 \implies x_2 = 1.5$
$2x + 3 = 0 \implies 2x = -3 \implies x_3 = -1.5$
3. Проверим, удовлетворяют ли найденные корни ОДЗ ($x \neq -1.5$).
$x_1 = 0$ (удовлетворяет).
$x_2 = 1.5$ (удовлетворяет).
$x_3 = -1.5$ (не удовлетворяет ОДЗ, является посторонним корнем).
Ответ: 0; 1.5.

Помогло решение? Оставьте отзыв в комментариях ниже.

Присоединяйтесь к Телеграм-группе @top_gdz

Присоединиться

Мы подготовили для вас ответ c подробным объяснением домашего задания по алгебре за 8 класс, для упражнения номер 632 расположенного на странице 148 к учебнику 2023 года издания для учащихся школ и гимназий.

Теперь на нашем сайте ГДЗ.ТОП вы всегда легко и бесплатно найдёте условие с правильным ответом на вопрос «Как решить ДЗ» и «Как сделать» задание по алгебре к упражнению №632 (с. 148), авторов: Макарычев (Юрий Николаевич), Миндюк (Нора Григорьевна), Нешков (Константин Иванович), Суворова (Светлана Борисовна), ФГОС (новый, красный) базовый уровень обучения учебного пособия издательства Просвещение.