Номер 640, страница 150 - гдз по алгебре 8 класс учебник Макарычев, Миндюк

Алгебра, 8 класс Учебник, авторы: Макарычев Юрий Николаевич, Миндюк Нора Григорьевна, Нешков Константин Иванович, Суворова Светлана Борисовна, издательство Просвещение, Москва, 2023, белого цвета

Авторы: Макарычев Ю. Н., Миндюк Н. Г., Нешков К. И., Суворова С. Б.

Тип: Учебник

Издательство: Просвещение

Год издания: 2023 - 2026

Уровень обучения: базовый

Цвет обложки: белый, голубой, фиолетовый

ISBN: 978-5-09-102536-1, 978-5-09-111166-8

Допущено Министерством просвещения Российской Федерации

Популярные ГДЗ в 8 классе

Глава 3. Уравнения и системы уравнений. Параграф 9. Дробные рациональные уравнения. 26. Решение дробных рациональных уравнений - номер 640, страница 150.

№640 (с. 150)
Условие. №640 (с. 150)
скриншот условия
Алгебра, 8 класс Учебник, авторы: Макарычев Юрий Николаевич, Миндюк Нора Григорьевна, Нешков Константин Иванович, Суворова Светлана Борисовна, издательство Просвещение, Москва, 2023, белого цвета, страница 150, номер 640, Условие

640. Найдите корни уравнения:

Найти корни уравнения
Решение. №640 (с. 150)
скриншот решения
Алгебра, 8 класс Учебник, авторы: Макарычев Юрий Николаевич, Миндюк Нора Григорьевна, Нешков Константин Иванович, Суворова Светлана Борисовна, издательство Просвещение, Москва, 2023, белого цвета, страница 150, номер 640, Решение
Алгебра, 8 класс Учебник, авторы: Макарычев Юрий Николаевич, Миндюк Нора Григорьевна, Нешков Константин Иванович, Суворова Светлана Борисовна, издательство Просвещение, Москва, 2023, белого цвета, страница 150, номер 640, Решение (продолжение 2)
Алгебра, 8 класс Учебник, авторы: Макарычев Юрий Николаевич, Миндюк Нора Григорьевна, Нешков Константин Иванович, Суворова Светлана Борисовна, издательство Просвещение, Москва, 2023, белого цвета, страница 150, номер 640, Решение (продолжение 3)

а) 21x+1=16x261   /·xx+1x2 21xx2=16xx+16x+1x2 21x242x=16x2+16x6x2-2x+x2 21x242x=16x2+16x6x2+6x+12 21x242x=10x2+22x+12 11x264x12=0 D=6424·11·12=4096+528=4624 x=64±462422; x=64±6822 x=6илиx=422  x=211

Если x=6 x = 6 , то xx+1x2=6·6+1·620 x(x+1)(x-2) = 6 \cdot (6+1) \cdot (6-2) \neq 0 ,

если x=211 x = - \frac{2}{11} , то xx+1x2=211211+121120 x(x+1)(x-2) = - \frac{2}{11} (-\frac{2}{11} + 1) (-\frac{2}{11} - 2) \neq 0

Other: 211; 6

б) 2y23y1y3=5y39y 2yy21y3=5yy29 2yy21y3=5yy3y+3  /·yy3y+3 2y+3yy+3=5 2y+6y2-3y-5=0 -y2y+1=0 D=124·1·1=1+4=5 y=1±5-2; y=-1±52 y=-152 или y=-1+52

Если y=-1-52, то

yy3y+3=y(y2-9)= =-1-52-1-522-90,

Если y=-1+52, то yy29=-1+52-1+52290

Other: -152; -1+52

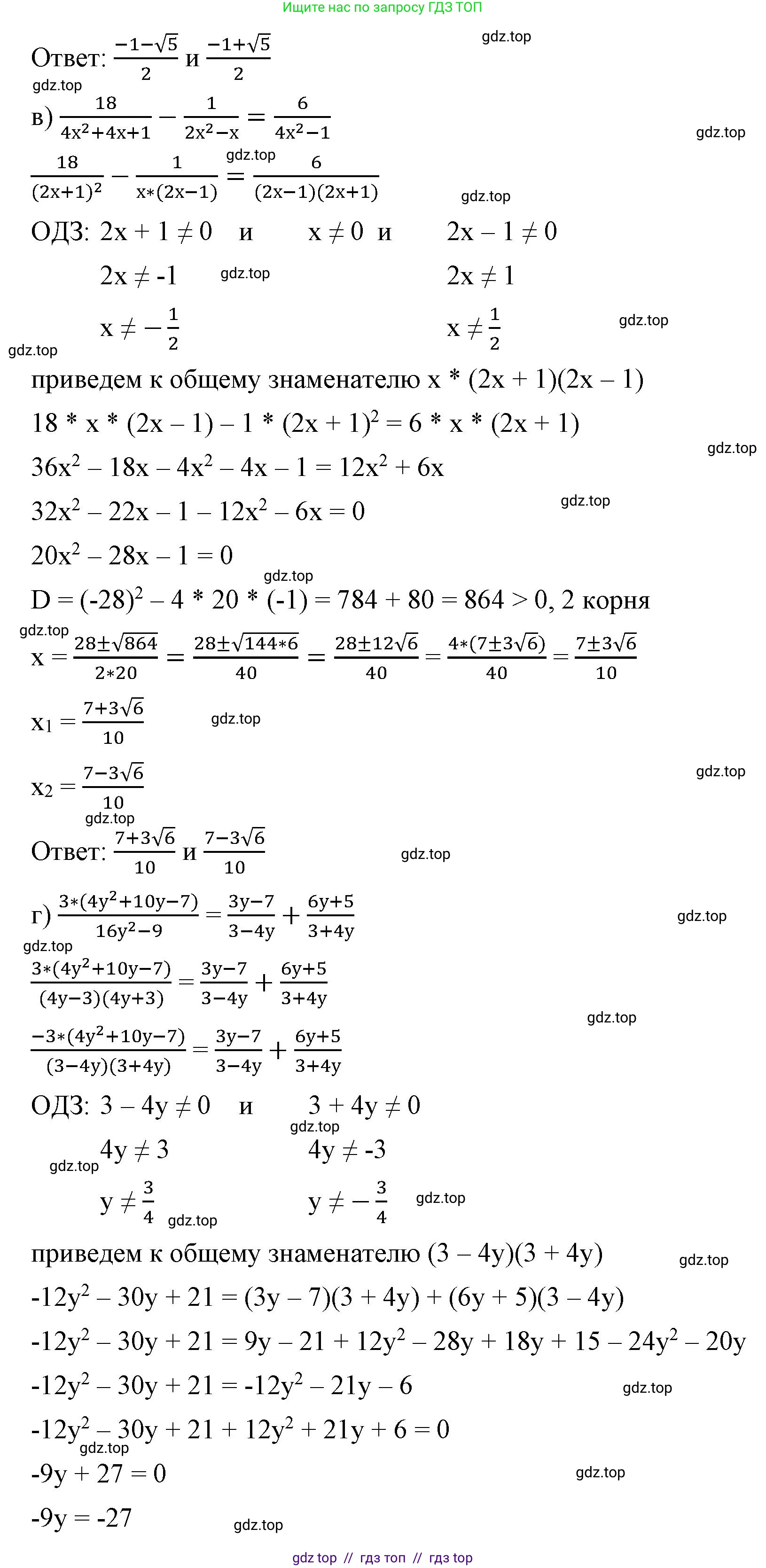
в) 184x2+4x+112x2x=64x21

182x+121x2x1=62x12x+1   /·x2x+122x1

18x2x12x+12=6x2x+1 36x218x4x2+4x+1=12x2+6x 36x218x4x24x1-12x2-6x=0 20x228x1=0 D=2824·20·1=784+80=864 x=28±86440; x=28±144·640 x=28±12640; x=47±3640 x1=7+3610; x2=73610

Если x=7+3610 x = \frac{7 + 3\sqrt{6}}{10} , то

x2x+122x1=7+36102·7+3610+12× ×2·7+361010

Если x=73610 x = \frac{7 - 3\sqrt{6}}{10} , то

x2x+122x1=736102·73610+12× ×2·7361010

Ответ: 7+3610; 73610

г) 34y2+10y716y29=3y734y+6y+53+4y

34y2+10y74y34y+3=3y74y3+6y+54y+3   /·4y·34y+3

34y2+10y7=3y74y+3+6y+54y3 12y2+30y21=12y2+9y28y21+ +24y218y+20y15 12y2+30y21=12y2+19y+21+24y2+2y15 12y2+30y-21=12y2+21y+6 12y2+30y-21-12y2-21y-6=0 9y-27=0 9y=27 y=3

Если y=3, то

(4y-3)(4y+3)=16y2-9=16·32-9= =16·9-9=9(16-1)=9·15=1350

Ответ: 3

Решение 2. №640 (с. 150)
Алгебра, 8 класс Учебник, авторы: Макарычев Юрий Николаевич, Миндюк Нора Григорьевна, Нешков Константин Иванович, Суворова Светлана Борисовна, издательство Просвещение, Москва, 2023, белого цвета, страница 150, номер 640, Решение 2
Алгебра, 8 класс Учебник, авторы: Макарычев Юрий Николаевич, Миндюк Нора Григорьевна, Нешков Константин Иванович, Суворова Светлана Борисовна, издательство Просвещение, Москва, 2023, белого цвета, страница 150, номер 640, Решение 2 (продолжение 2)
Решение 3. №640 (с. 150)

а) $ \frac{21}{x+1} = \frac{16}{x-2} - \frac{6}{x} $

Найдем область допустимых значений (ОДЗ). Знаменатели не могут быть равны нулю:

$x+1 \neq 0 \Rightarrow x \neq -1$

$x-2 \neq 0 \Rightarrow x \neq 2$

$x \neq 0$

ОДЗ: $x \in (-\infty; -1) \cup (-1; 0) \cup (0; 2) \cup (2; +\infty)$.

Приведем дроби в правой части к общему знаменателю $x(x-2)$:

$ \frac{21}{x+1} = \frac{16x - 6(x-2)}{x(x-2)} $

$ \frac{21}{x+1} = \frac{16x - 6x + 12}{x(x-2)} $

$ \frac{21}{x+1} = \frac{10x + 12}{x(x-2)} $

Воспользуемся свойством пропорции (умножим крест-накрест):

$ 21 \cdot x(x-2) = (10x + 12)(x+1) $

Раскроем скобки:

$ 21x^2 - 42x = 10x^2 + 10x + 12x + 12 $

$ 21x^2 - 42x = 10x^2 + 22x + 12 $

Перенесем все члены в левую часть и приведем подобные слагаемые:

$ 21x^2 - 10x^2 - 42x - 22x - 12 = 0 $

$ 11x^2 - 64x - 12 = 0 $

Решим полученное квадратное уравнение через дискриминант:

$ D = b^2 - 4ac = (-64)^2 - 4 \cdot 11 \cdot (-12) = 4096 + 528 = 4624 $

$ \sqrt{D} = \sqrt{4624} = 68 $

$ x_1 = \frac{-b + \sqrt{D}}{2a} = \frac{64 + 68}{2 \cdot 11} = \frac{132}{22} = 6 $

$ x_2 = \frac{-b - \sqrt{D}}{2a} = \frac{64 - 68}{2 \cdot 11} = \frac{-4}{22} = -\frac{2}{11} $

Оба корня удовлетворяют ОДЗ.

Ответ: $6; -\frac{2}{11}$.

б) $ \frac{2}{y^2 - 3y} - \frac{1}{y - 3} = \frac{5}{y^3 - 9y} $

Разложим знаменатели на множители и определим ОДЗ:

$y^2 - 3y = y(y - 3)$

$y^3 - 9y = y(y^2 - 9) = y(y-3)(y+3)$

Знаменатели не должны быть равны нулю, поэтому:

$y \neq 0; \quad y-3 \neq 0 \Rightarrow y \neq 3; \quad y+3 \neq 0 \Rightarrow y \neq -3$.

ОДЗ: $y \in (-\infty; -3) \cup (-3; 0) \cup (0; 3) \cup (3; +\infty)$.

Перепишем уравнение с разложенными знаменателями:

$ \frac{2}{y(y-3)} - \frac{1}{y-3} = \frac{5}{y(y-3)(y+3)} $

Общий знаменатель: $y(y-3)(y+3)$. Умножим обе части уравнения на него:

$ 2(y+3) - 1 \cdot y(y+3) = 5 $

Раскроем скобки и упростим:

$ 2y + 6 - y^2 - 3y = 5 $

$ -y^2 - y + 6 - 5 = 0 $

$ -y^2 - y + 1 = 0 $

Умножим на -1, чтобы получить стандартный вид квадратного уравнения:

$ y^2 + y - 1 = 0 $

Решим уравнение через дискриминант:

$ D = b^2 - 4ac = 1^2 - 4 \cdot 1 \cdot (-1) = 1 + 4 = 5 $

$ \sqrt{D} = \sqrt{5} $

$ y_1 = \frac{-1 + \sqrt{5}}{2} $

$ y_2 = \frac{-1 - \sqrt{5}}{2} $

Оба корня не равны 0, 3 или -3, следовательно, удовлетворяют ОДЗ.

Ответ: $ \frac{-1 \pm \sqrt{5}}{2} $.

в) $ \frac{18}{4x^2 + 4x + 1} - \frac{1}{2x^2 - x} = \frac{6}{4x^2 - 1} $

Разложим знаменатели на множители и найдем ОДЗ:

$4x^2 + 4x + 1 = (2x+1)^2$

$2x^2 - x = x(2x-1)$

$4x^2 - 1 = (2x-1)(2x+1)$

Из ОДЗ исключаются значения x, при которых знаменатели равны нулю:

$2x+1 \neq 0 \Rightarrow x \neq -1/2$

$x \neq 0$

$2x-1 \neq 0 \Rightarrow x \neq 1/2$

ОДЗ: $x \in (-\infty; -1/2) \cup (-1/2; 0) \cup (0; 1/2) \cup (1/2; +\infty)$.

Перепишем уравнение:

$ \frac{18}{(2x+1)^2} - \frac{1}{x(2x-1)} = \frac{6}{(2x-1)(2x+1)} $

Общий знаменатель: $x(2x-1)(2x+1)^2$. Умножим обе части уравнения на него:

$ 18x(2x-1) - 1(2x+1)^2 = 6x(2x+1) $

Раскроем скобки:

$ 36x^2 - 18x - (4x^2 + 4x + 1) = 12x^2 + 6x $

$ 36x^2 - 18x - 4x^2 - 4x - 1 = 12x^2 + 6x $

$ 32x^2 - 22x - 1 = 12x^2 + 6x $

Перенесем все в левую часть:

$ 32x^2 - 12x^2 - 22x - 6x - 1 = 0 $

$ 20x^2 - 28x - 1 = 0 $

Решим квадратное уравнение:

$ D = b^2 - 4ac = (-28)^2 - 4 \cdot 20 \cdot (-1) = 784 + 80 = 864 $

$ \sqrt{D} = \sqrt{864} = \sqrt{144 \cdot 6} = 12\sqrt{6} $

$ x_1 = \frac{28 + 12\sqrt{6}}{2 \cdot 20} = \frac{28 + 12\sqrt{6}}{40} = \frac{4(7 + 3\sqrt{6})}{40} = \frac{7 + 3\sqrt{6}}{10} $

$ x_2 = \frac{28 - 12\sqrt{6}}{2 \cdot 20} = \frac{28 - 12\sqrt{6}}{40} = \frac{4(7 - 3\sqrt{6})}{40} = \frac{7 - 3\sqrt{6}}{10} $

Найденные корни не совпадают с ограничениями ОДЗ ($x \neq 0, \pm 1/2$).

Ответ: $ \frac{7 \pm 3\sqrt{6}}{10} $.

г) $ \frac{3(4y^2 + 10y - 7)}{16y^2 - 9} = \frac{3y-7}{3-4y} + \frac{6y+5}{3+4y} $

Разложим знаменатели на множители и найдем ОДЗ:

$16y^2 - 9 = (4y-3)(4y+3)$

$3-4y = -(4y-3)$

$3+4y = 4y+3$

ОДЗ: $4y-3 \neq 0 \Rightarrow y \neq 3/4$ и $4y+3 \neq 0 \Rightarrow y \neq -3/4$.

Преобразуем уравнение, приведя знаменатели к одному виду:

$ \frac{3(4y^2 + 10y - 7)}{(4y-3)(4y+3)} = -\frac{3y-7}{4y-3} + \frac{6y+5}{4y+3} $

Приведем правую часть к общему знаменателю $(4y-3)(4y+3)$:

$ \frac{3(4y^2 + 10y - 7)}{(4y-3)(4y+3)} = \frac{-(3y-7)(4y+3) + (6y+5)(4y-3)}{(4y-3)(4y+3)} $

Так как знаменатели равны и не равны нулю (согласно ОДЗ), мы можем приравнять числители:

$ 3(4y^2 + 10y - 7) = -(3y-7)(4y+3) + (6y+5)(4y-3) $

Раскроем скобки:

$ 12y^2 + 30y - 21 = -(12y^2 + 9y - 28y - 21) + (24y^2 - 18y + 20y - 15) $

$ 12y^2 + 30y - 21 = -(12y^2 - 19y - 21) + (24y^2 + 2y - 15) $

$ 12y^2 + 30y - 21 = -12y^2 + 19y + 21 + 24y^2 + 2y - 15 $

Приведем подобные слагаемые в правой части:

$ 12y^2 + 30y - 21 = (24y^2 - 12y^2) + (19y + 2y) + (21 - 15) $

$ 12y^2 + 30y - 21 = 12y^2 + 21y + 6 $

Сократим $12y^2$ с обеих сторон:

$ 30y - 21 = 21y + 6 $

Перенесем переменные в одну сторону, а константы в другую:

$ 30y - 21y = 6 + 21 $

$ 9y = 27 $

$ y = \frac{27}{9} = 3 $

Корень $y=3$ удовлетворяет ОДЗ ($y \neq \pm 3/4$).

Ответ: $3$.

Помогло решение? Оставьте отзыв в комментариях ниже.

Присоединяйтесь к Телеграм-группе @top_gdz

Присоединиться

Мы подготовили для вас ответ c подробным объяснением домашего задания по алгебре за 8 класс, для упражнения номер 640 расположенного на странице 150 к учебнику 2023 года издания для учащихся школ и гимназий.

Теперь на нашем сайте ГДЗ.ТОП вы всегда легко и бесплатно найдёте условие с правильным ответом на вопрос «Как решить ДЗ» и «Как сделать» задание по алгебре к упражнению №640 (с. 150), авторов: Макарычев (Юрий Николаевич), Миндюк (Нора Григорьевна), Нешков (Константин Иванович), Суворова (Светлана Борисовна), ФГОС (новый, красный) базовый уровень обучения учебного пособия издательства Просвещение.