Номер 985, страница 220 - гдз по алгебре 8 класс учебник Макарычев, Миндюк

Алгебра, 8 класс Учебник, авторы: Макарычев Юрий Николаевич, Миндюк Нора Григорьевна, Нешков Константин Иванович, Суворова Светлана Борисовна, издательство Просвещение, Москва, 2023, белого цвета

Авторы: Макарычев Ю. Н., Миндюк Н. Г., Нешков К. И., Суворова С. Б.

Тип: Учебник

Издательство: Просвещение

Год издания: 2023 - 2026

Уровень обучения: базовый

Цвет обложки: белый, голубой, фиолетовый

ISBN: 978-5-09-102536-1, 978-5-09-111166-8

Допущено Министерством просвещения Российской Федерации

Популярные ГДЗ в 8 классе

Глава 4. Неравенства. Параграф 12. Неравенства с одной переменной и их системы. 40. Решение систем неравенств с одной переменной - номер 985, страница 220.

№985 (с. 220)
Условие. №985 (с. 220)
скриншот условия
Алгебра, 8 класс Учебник, авторы: Макарычев Юрий Николаевич, Миндюк Нора Григорьевна, Нешков Константин Иванович, Суворова Светлана Борисовна, издательство Просвещение, Москва, 2023, белого цвета, страница 220, номер 985, Условие

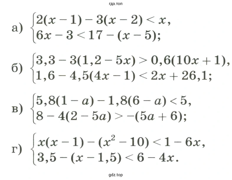
985. Решите систему неравенств:

Упражнение 985 решить систему неравенств
Решение. №985 (с. 220)
скриншот решения
Алгебра, 8 класс Учебник, авторы: Макарычев Юрий Николаевич, Миндюк Нора Григорьевна, Нешков Константин Иванович, Суворова Светлана Борисовна, издательство Просвещение, Москва, 2023, белого цвета, страница 220, номер 985, Решение
Алгебра, 8 класс Учебник, авторы: Макарычев Юрий Николаевич, Миндюк Нора Григорьевна, Нешков Константин Иванович, Суворова Светлана Борисовна, издательство Просвещение, Москва, 2023, белого цвета, страница 220, номер 985, Решение (продолжение 2)

a) 2x13x2<x6x3<17x52x23x+6<x6x3<17x+5x+4<x6x+x<22+3xx<47x<252x<4x<257x>2x<347

Рисунок а

Ответ: 2; 347(2; 3\frac{4}{7})

 

б) 3,331,25x>0,610x+11,64,54x1<2x+26,13,33,6+15x>6x+0,61,618x+4,5<2x+26,115x6x>0,6+3,63,318x2x<26,11,64,59x>0,920x<20x>0,1x>1

Рисунок б

Ответ: 0,1; +(0,1;+\infty)

 

в) 5,81a1,86a<58425a>5a+65,85,8a10,8+1,8a<588+20a>5a64a5<520a+5a>64a<1025a>6a>2,5a>625a>-2,5a>-0,24

Рисунок в

Ответ: (-0,24; +∞)

г) x(x-1)-(x2-10)<1-6x3,5-(x-1,5)<6-4x x2-x-x2+10<1-6x3,5-x+1,5<6-4x-x+6x<1-10-x+4x<6-55x<-93x<1x<-1,8x<13

Рисунок г

Ответ: (-∞; -1,8)

Решение 2. №985 (с. 220)
Алгебра, 8 класс Учебник, авторы: Макарычев Юрий Николаевич, Миндюк Нора Григорьевна, Нешков Константин Иванович, Суворова Светлана Борисовна, издательство Просвещение, Москва, 2023, белого цвета, страница 220, номер 985, Решение 2
Алгебра, 8 класс Учебник, авторы: Макарычев Юрий Николаевич, Миндюк Нора Григорьевна, Нешков Константин Иванович, Суворова Светлана Борисовна, издательство Просвещение, Москва, 2023, белого цвета, страница 220, номер 985, Решение 2 (продолжение 2)
Решение 3. №985 (с. 220)

а)

Решим систему неравенств: $ \begin{cases} 2(x - 1) - 3(x - 2) < x, \\ 6x - 3 < 17 - (x - 5); \end{cases} $

Преобразуем первое неравенство:

$2x - 2 - 3x + 6 < x$

$-x + 4 < x$

$4 < 2x$

$2 < x$, или $x > 2$.

Преобразуем второе неравенство:

$6x - 3 < 17 - x + 5$

$6x - 3 < 22 - x$

$7x < 25$

$x < \frac{25}{7}$.

Решением системы является пересечение промежутков $x > 2$ и $x < \frac{25}{7}$, то есть $2 < x < \frac{25}{7}$.

Ответ: $(2; \frac{25}{7})$.

б)

Решим систему неравенств: $ \begin{cases} 3,3 - 3(1,2 - 5x) > 0,6(10x + 1), \\ 1,6 - 4,5(4x - 1) < 2x + 26,1; \end{cases} $

Преобразуем первое неравенство:

$3,3 - 3,6 + 15x > 6x + 0,6$

$-0,3 + 15x > 6x + 0,6$

$15x - 6x > 0,6 + 0,3$

$9x > 0,9$

$x > 0,1$.

Преобразуем второе неравенство:

$1,6 - 18x + 4,5 < 2x + 26,1$

$6,1 - 18x < 2x + 26,1$

$6,1 - 26,1 < 2x + 18x$

$-20 < 20x$

$-1 < x$, или $x > -1$.

Решением системы является пересечение промежутков $x > 0,1$ и $x > -1$. Общим решением будет $x > 0,1$.

Ответ: $(0,1; +\infty)$.

в)

Решим систему неравенств: $ \begin{cases} 5,8(1 - a) - 1,8(6 - a) < 5, \\ 8 - 4(2 - 5a) > -(5a + 6); \end{cases} $

Преобразуем первое неравенство:

$5,8 - 5,8a - 10,8 + 1,8a < 5$

$-5 - 4a < 5$

$-4a < 10$

$a > -\frac{10}{4}$ (знак неравенства меняется, так как делим на отрицательное число)

$a > -2,5$.

Преобразуем второе неравенство:

$8 - 8 + 20a > -5a - 6$

$20a > -5a - 6$

$25a > -6$

$a > -\frac{6}{25}$

$a > -0,24$.

Решением системы является пересечение промежутков $a > -2,5$ и $a > -0,24$. Так как $-0,24 > -2,5$, общим решением будет $a > -0,24$.

Ответ: $(-0,24; +\infty)$.

г)

Решим систему неравенств: $ \begin{cases} x(x - 1) - (x^2 - 10) < 1 - 6x, \\ 3,5 - (x - 1,5) < 6 - 4x. \end{cases} $

Преобразуем первое неравенство:

$x^2 - x - x^2 + 10 < 1 - 6x$

$-x + 10 < 1 - 6x$

$5x < -9$

$x < -\frac{9}{5}$

$x < -1,8$.

Преобразуем второе неравенство:

$3,5 - x + 1,5 < 6 - 4x$

$5 - x < 6 - 4x$

$3x < 1$

$x < \frac{1}{3}$.

Решением системы является пересечение промежутков $x < -1,8$ и $x < \frac{1}{3}$. Так как $-1,8 < \frac{1}{3}$, общим решением будет $x < -1,8$.

Ответ: $(-\infty; -1,8)$.

Помогло решение? Оставьте отзыв в комментариях ниже.

Присоединяйтесь к Телеграм-группе @top_gdz

Присоединиться

Мы подготовили для вас ответ c подробным объяснением домашего задания по алгебре за 8 класс, для упражнения номер 985 расположенного на странице 220 к учебнику 2023 года издания для учащихся школ и гимназий.

Теперь на нашем сайте ГДЗ.ТОП вы всегда легко и бесплатно найдёте условие с правильным ответом на вопрос «Как решить ДЗ» и «Как сделать» задание по алгебре к упражнению №985 (с. 220), авторов: Макарычев (Юрий Николаевич), Миндюк (Нора Григорьевна), Нешков (Константин Иванович), Суворова (Светлана Борисовна), ФГОС (новый, красный) базовый уровень обучения учебного пособия издательства Просвещение.