Номер 1016, страница 223 - гдз по алгебре 8 класс учебник Макарычев, Миндюк

Алгебра, 8 класс Учебник, авторы: Макарычев Юрий Николаевич, Миндюк Нора Григорьевна, Нешков Константин Иванович, Суворова Светлана Борисовна, издательство Просвещение, Москва, 2019 - 2022, белого цвета

Авторы: Макарычев Ю. Н., Миндюк Н. Г., Нешков К. И., Суворова С. Б.

Тип: Учебник

Издательство: Просвещение

Год издания: 2019 - 2022

Цвет обложки: белый, голубой, фиолетовый

ISBN: 978-5-09-087569-1

Допущено Министерством просвещения Российской Федерации

Популярные ГДЗ в 8 классе

Глава 5. Степень с целым показателем. Элементы статистики. Параграф 12. Степень с целым показателем и её свойства. 39. Стандартный вид числа - номер 1016, страница 223.

№1016 (с. 223)
Условие. №1016 (с. 223)
скриншот условия
Алгебра, 8 класс Учебник, авторы: Макарычев Юрий Николаевич, Миндюк Нора Григорьевна, Нешков Константин Иванович, Суворова Светлана Борисовна, издательство Просвещение, Москва, 2019 - 2022, белого цвета, страница 223, номер 1016, Условие

1016. Представьте число в стандартном виде:

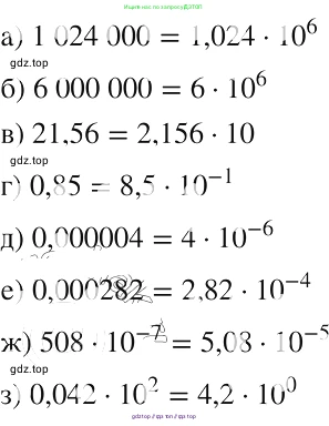
а) $1\,024\,000$;

б) $6\,000\,000$;

в) $21,56$;

г) $0,85$;

д) $0,000004$;

е) $0,000282$;

ж) $508 \cdot 10^{-7}$;

з) $0,042 \cdot 10^{2}$.

Решение 1. №1016 (с. 223)
Алгебра, 8 класс Учебник, авторы: Макарычев Юрий Николаевич, Миндюк Нора Григорьевна, Нешков Константин Иванович, Суворова Светлана Борисовна, издательство Просвещение, Москва, 2019 - 2022, белого цвета, страница 223, номер 1016, Решение 1
Алгебра, 8 класс Учебник, авторы: Макарычев Юрий Николаевич, Миндюк Нора Григорьевна, Нешков Константин Иванович, Суворова Светлана Борисовна, издательство Просвещение, Москва, 2019 - 2022, белого цвета, страница 223, номер 1016, Решение 1 (продолжение 2)
Решение 2. №1016 (с. 223)
Алгебра, 8 класс Учебник, авторы: Макарычев Юрий Николаевич, Миндюк Нора Григорьевна, Нешков Константин Иванович, Суворова Светлана Борисовна, издательство Просвещение, Москва, 2019 - 2022, белого цвета, страница 223, номер 1016, Решение 2
Решение 3. №1016 (с. 223)
Алгебра, 8 класс Учебник, авторы: Макарычев Юрий Николаевич, Миндюк Нора Григорьевна, Нешков Константин Иванович, Суворова Светлана Борисовна, издательство Просвещение, Москва, 2019 - 2022, белого цвета, страница 223, номер 1016, Решение 3
Решение 4. №1016 (с. 223)
Алгебра, 8 класс Учебник, авторы: Макарычев Юрий Николаевич, Миндюк Нора Григорьевна, Нешков Константин Иванович, Суворова Светлана Борисовна, издательство Просвещение, Москва, 2019 - 2022, белого цвета, страница 223, номер 1016, Решение 4
Решение 6. №1016 (с. 223)
Алгебра, 8 класс Учебник, авторы: Макарычев Юрий Николаевич, Миндюк Нора Григорьевна, Нешков Константин Иванович, Суворова Светлана Борисовна, издательство Просвещение, Москва, 2019 - 2022, белого цвета, страница 223, номер 1016, Решение 6
Решение 7. №1016 (с. 223)
Алгебра, 8 класс Учебник, авторы: Макарычев Юрий Николаевич, Миндюк Нора Григорьевна, Нешков Константин Иванович, Суворова Светлана Борисовна, издательство Просвещение, Москва, 2019 - 2022, белого цвета, страница 223, номер 1016, Решение 7
Решение 8. №1016 (с. 223)

а) Стандартный вид числа — это его запись в виде $a \cdot 10^n$, где $1 \le a < 10$ и $n$ — целое число. Для числа 1 024 000 нужно переместить запятую, которая по умолчанию стоит в конце числа, влево на 6 знаков, чтобы получить число 1,024. Это число удовлетворяет условию $1 \le 1,024 < 10$. Так как запятая была перенесена на 6 знаков влево, то порядок $n$ равен 6. Таким образом, число в стандартном виде будет $1,024 \cdot 10^6$.
Ответ: $1,024 \cdot 10^6$.

б) Для числа 6 000 000 переместим запятую влево на 6 знаков, чтобы получить число 6. Так как $1 \le 6 < 10$, это и есть наша мантисса. Поскольку запятая была перенесена на 6 знаков влево, порядок $n$ равен 6. Стандартный вид числа: $6 \cdot 10^6$.
Ответ: $6 \cdot 10^6$.

в) Для числа 21,56 переместим запятую влево на 1 знак, чтобы получить число 2,156. Условие $1 \le 2,156 < 10$ выполняется. Так как мы сдвинули запятую на 1 знак влево, порядок $n$ равен 1. Стандартный вид числа: $2,156 \cdot 10^1$.
Ответ: $2,156 \cdot 10^1$.

г) Для числа 0,85 переместим запятую вправо на 1 знак, чтобы получить число 8,5. Условие $1 \le 8,5 < 10$ выполняется. Так как мы сдвинули запятую на 1 знак вправо, порядок $n$ будет отрицательным и равным -1. Стандартный вид числа: $8,5 \cdot 10^{-1}$.
Ответ: $8,5 \cdot 10^{-1}$.

д) Для числа 0,000004 переместим запятую вправо на 6 знаков, чтобы получить число 4. Условие $1 \le 4 < 10$ выполняется. Так как мы сдвинули запятую на 6 знаков вправо, порядок $n$ равен -6. Стандартный вид числа: $4 \cdot 10^{-6}$.
Ответ: $4 \cdot 10^{-6}$.

е) Для числа 0,000282 переместим запятую вправо на 4 знака, чтобы получить число 2,82. Условие $1 \le 2,82 < 10$ выполняется. Так как мы сдвинули запятую на 4 знака вправо, порядок $n$ равен -4. Стандартный вид числа: $2,82 \cdot 10^{-4}$.
Ответ: $2,82 \cdot 10^{-4}$.

ж) Число дано в виде $508 \cdot 10^{-7}$. Сначала представим число 508 в стандартном виде. Перемещаем запятую на 2 знака влево, получаем $5,08 \cdot 10^2$. Теперь подставим это в исходное выражение: $(5,08 \cdot 10^2) \cdot 10^{-7}$. При умножении степеней с одинаковым основанием их показатели складываются: $10^2 \cdot 10^{-7} = 10^{2+(-7)} = 10^{-5}$. Таким образом, получаем $5,08 \cdot 10^{-5}$.
Ответ: $5,08 \cdot 10^{-5}$.

з) Число дано в виде $0,042 \cdot 10^2$. Сначала представим число 0,042 в стандартном виде. Перемещаем запятую на 2 знака вправо, получаем $4,2 \cdot 10^{-2}$. Теперь подставим это в исходное выражение: $(4,2 \cdot 10^{-2}) \cdot 10^2$. Складываем показатели степеней: $10^{-2} \cdot 10^2 = 10^{-2+2} = 10^0$. Таким образом, получаем $4,2 \cdot 10^0$. (Также можно было сначала вычислить $0,042 \cdot 100 = 4,2$, а затем записать в стандартном виде).
Ответ: $4,2 \cdot 10^0$.

Помогло решение? Оставьте отзыв в комментариях ниже.

Присоединяйтесь к Телеграм-группе @top_gdz

Присоединиться

Мы подготовили для вас ответ c подробным объяснением домашего задания по алгебре за 8 класс, для упражнения номер 1016 расположенного на странице 223 к учебнику 2019 - 2022 года издания для учащихся школ и гимназий.

Теперь на нашем сайте ГДЗ.ТОП вы всегда легко и бесплатно найдёте условие с правильным ответом на вопрос «Как решить ДЗ» и «Как сделать» задание по алгебре к упражнению №1016 (с. 223), авторов: Макарычев (Юрий Николаевич), Миндюк (Нора Григорьевна), Нешков (Константин Иванович), Суворова (Светлана Борисовна), ФГОС (старый) учебного пособия издательства Просвещение.