Номер 1079, страница 249 - гдз по алгебре 8 класс учебник Макарычев, Миндюк

Алгебра, 8 класс Учебник, авторы: Макарычев Юрий Николаевич, Миндюк Нора Григорьевна, Нешков Константин Иванович, Суворова Светлана Борисовна, издательство Просвещение, Москва, 2019 - 2022, белого цвета

Авторы: Макарычев Ю. Н., Миндюк Н. Г., Нешков К. И., Суворова С. Б.

Тип: Учебник

Издательство: Просвещение

Год издания: 2019 - 2022

Цвет обложки: белый, голубой, фиолетовый

ISBN: 978-5-09-087569-1

Допущено Министерством просвещения Российской Федерации

Популярные ГДЗ в 8 классе

Глава 5. Степень с целым показателем. Элементы статистики. Дополнительные упражнения к главе V. К параграфу 12 - номер 1079, страница 249.

№1079 (с. 249)
Условие. №1079 (с. 249)
скриншот условия
Алгебра, 8 класс Учебник, авторы: Макарычев Юрий Николаевич, Миндюк Нора Григорьевна, Нешков Константин Иванович, Суворова Светлана Борисовна, издательство Просвещение, Москва, 2019 - 2022, белого цвета, страница 249, номер 1079, Условие

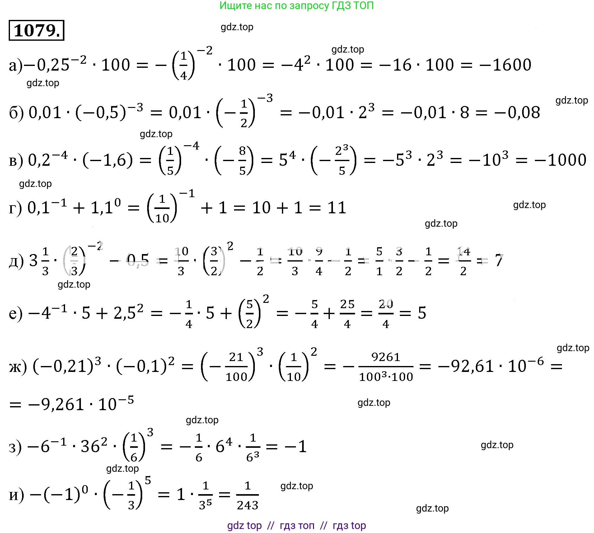
1079. Вычислите:

а) $-0,25^{-2} \cdot 100;$

б) $0,01 \cdot (-0,5)^{-3};$

в) $0,2^{-4} \cdot (-1,6);$

г) $0,1^{-1} + 1,1^0;$

д) $3\frac{1}{3} \cdot \left(\frac{2}{3}\right)^{-2} - 0,5;$

е) $-4^{-1} \cdot 5 + 2,5^2;$

ж) $(-0,2)^3 \cdot (-0,1)^2;$

з) $-6^{-1} \cdot 36^2 \cdot \left(\frac{1}{6}\right)^3;$

и) $-(-1)^0 \cdot \left(-\frac{1}{3}\right)^5.$

Решение 1. №1079 (с. 249)
Алгебра, 8 класс Учебник, авторы: Макарычев Юрий Николаевич, Миндюк Нора Григорьевна, Нешков Константин Иванович, Суворова Светлана Борисовна, издательство Просвещение, Москва, 2019 - 2022, белого цвета, страница 249, номер 1079, Решение 1
Алгебра, 8 класс Учебник, авторы: Макарычев Юрий Николаевич, Миндюк Нора Григорьевна, Нешков Константин Иванович, Суворова Светлана Борисовна, издательство Просвещение, Москва, 2019 - 2022, белого цвета, страница 249, номер 1079, Решение 1 (продолжение 2)
Решение 2. №1079 (с. 249)
Алгебра, 8 класс Учебник, авторы: Макарычев Юрий Николаевич, Миндюк Нора Григорьевна, Нешков Константин Иванович, Суворова Светлана Борисовна, издательство Просвещение, Москва, 2019 - 2022, белого цвета, страница 249, номер 1079, Решение 2
Алгебра, 8 класс Учебник, авторы: Макарычев Юрий Николаевич, Миндюк Нора Григорьевна, Нешков Константин Иванович, Суворова Светлана Борисовна, издательство Просвещение, Москва, 2019 - 2022, белого цвета, страница 249, номер 1079, Решение 2 (продолжение 2)
Решение 3. №1079 (с. 249)
Алгебра, 8 класс Учебник, авторы: Макарычев Юрий Николаевич, Миндюк Нора Григорьевна, Нешков Константин Иванович, Суворова Светлана Борисовна, издательство Просвещение, Москва, 2019 - 2022, белого цвета, страница 249, номер 1079, Решение 3
Решение 4. №1079 (с. 249)
Алгебра, 8 класс Учебник, авторы: Макарычев Юрий Николаевич, Миндюк Нора Григорьевна, Нешков Константин Иванович, Суворова Светлана Борисовна, издательство Просвещение, Москва, 2019 - 2022, белого цвета, страница 249, номер 1079, Решение 4
Решение 6. №1079 (с. 249)
Алгебра, 8 класс Учебник, авторы: Макарычев Юрий Николаевич, Миндюк Нора Григорьевна, Нешков Константин Иванович, Суворова Светлана Борисовна, издательство Просвещение, Москва, 2019 - 2022, белого цвета, страница 249, номер 1079, Решение 6
Решение 8. №1079 (с. 249)

а) Для вычисления выражения $-0,25^{-2} \cdot 100$ сначала преобразуем десятичную дробь в обыкновенную и воспользуемся свойством степени с отрицательным показателем $a^{-n} = \frac{1}{a^n}$. Обратите внимание, что минус перед числом не возводится в степень.

$-0,25^{-2} \cdot 100 = -(0,25)^{-2} \cdot 100 = -(\frac{1}{4})^{-2} \cdot 100 = -(\frac{4}{1})^2 \cdot 100 = -4^2 \cdot 100 = -16 \cdot 100 = -1600$.

Ответ: $-1600$.

б) В выражении $0,01 \cdot (-0,5)^{-3}$ преобразуем десятичные дроби в обыкновенные.

$0,01 \cdot (-0,5)^{-3} = \frac{1}{100} \cdot (-\frac{1}{2})^{-3} = \frac{1}{100} \cdot (-\frac{2}{1})^3 = \frac{1}{100} \cdot (-8) = -\frac{8}{100} = -0,08$.

Ответ: $-0,08$.

в) В выражении $0,2^{-4} \cdot (-1,6)$ преобразуем десятичные дроби в обыкновенные.

$0,2^{-4} \cdot (-1,6) = (\frac{2}{10})^{-4} \cdot (-\frac{16}{10}) = (\frac{1}{5})^{-4} \cdot (-\frac{8}{5}) = 5^4 \cdot (-\frac{8}{5}) = 625 \cdot (-\frac{8}{5}) = \frac{625 \cdot (-8)}{5} = 125 \cdot (-8) = -1000$.

Ответ: $-1000$.

г) В выражении $0,1^{-1} + 1,1^0$ воспользуемся свойствами степени: $a^{-1} = \frac{1}{a}$ и $a^0=1$ для любого $a \neq 0$.

$0,1^{-1} + 1,1^0 = (\frac{1}{10})^{-1} + 1 = 10 + 1 = 11$.

Ответ: $11$.

д) Для вычисления выражения $3\frac{1}{3} \cdot (\frac{2}{3})^{-2} - 0,5$ преобразуем смешанное число и десятичную дробь в обыкновенные.

$3\frac{1}{3} \cdot (\frac{2}{3})^{-2} - 0,5 = \frac{10}{3} \cdot (\frac{3}{2})^2 - \frac{1}{2} = \frac{10}{3} \cdot \frac{9}{4} - \frac{1}{2} = \frac{10 \cdot 9}{3 \cdot 4} - \frac{1}{2} = \frac{90}{12} - \frac{1}{2} = \frac{15}{2} - \frac{1}{2} = \frac{14}{2} = 7$.

Ответ: $7$.

е) В выражении $-4^{-1} \cdot 5 + 2,5^2$ минус перед $4^{-1}$ не относится к основанию степени.

$-4^{-1} \cdot 5 + 2,5^2 = -(4^{-1}) \cdot 5 + (2,5)^2 = -\frac{1}{4} \cdot 5 + (\frac{5}{2})^2 = -\frac{5}{4} + \frac{25}{4} = \frac{-5+25}{4} = \frac{20}{4} = 5$.

Ответ: $5$.

ж) Вычислим степени, а затем их произведение.

$(-0,2)^3 = -0,008$

$(-0,1)^2 = 0,01$

$(-0,2)^3 \cdot (-0,1)^2 = -0,008 \cdot 0,01 = -0,00008$.

Ответ: $-0,00008$.

з) В выражении $-6^{-1} \cdot 36^2 \cdot (\frac{1}{6})^3$ представим все сомножители в виде степеней числа 6.

$-6^{-1} \cdot 36^2 \cdot (\frac{1}{6})^3 = -6^{-1} \cdot (6^2)^2 \cdot 6^{-3} = -6^{-1} \cdot 6^4 \cdot 6^{-3}$.

При умножении степеней с одинаковым основанием их показатели складываются: $-6^{-1+4-3} = -6^0 = -1$.

Ответ: $-1$.

и) В выражении $-(-1)^0 \cdot (-\frac{1}{3})^5$ сначала вычислим значения степеней.

$(-1)^0 = 1$.

$(-\frac{1}{3})^5 = -\frac{1^5}{3^5} = -\frac{1}{243}$.

Теперь подставим значения в выражение: $-(-1)^0 \cdot (-\frac{1}{3})^5 = -(1) \cdot (-\frac{1}{243}) = -1 \cdot (-\frac{1}{243}) = \frac{1}{243}$.

Ответ: $\frac{1}{243}$.

Помогло решение? Оставьте отзыв в комментариях ниже.

Присоединяйтесь к Телеграм-группе @top_gdz

Присоединиться

Мы подготовили для вас ответ c подробным объяснением домашего задания по алгебре за 8 класс, для упражнения номер 1079 расположенного на странице 249 к учебнику 2019 - 2022 года издания для учащихся школ и гимназий.

Теперь на нашем сайте ГДЗ.ТОП вы всегда легко и бесплатно найдёте условие с правильным ответом на вопрос «Как решить ДЗ» и «Как сделать» задание по алгебре к упражнению №1079 (с. 249), авторов: Макарычев (Юрий Николаевич), Миндюк (Нора Григорьевна), Нешков (Константин Иванович), Суворова (Светлана Борисовна), ФГОС (старый) учебного пособия издательства Просвещение.