Номер 115, страница 31 - гдз по алгебре 8 класс учебник Макарычев, Миндюк

Алгебра, 8 класс Учебник, авторы: Макарычев Юрий Николаевич, Миндюк Нора Григорьевна, Нешков Константин Иванович, Суворова Светлана Борисовна, издательство Просвещение, Москва, 2019 - 2022, белого цвета

Авторы: Макарычев Ю. Н., Миндюк Н. Г., Нешков К. И., Суворова С. Б.

Тип: Учебник

Издательство: Просвещение

Год издания: 2019 - 2022

Цвет обложки: белый, голубой, фиолетовый

ISBN: 978-5-09-087569-1

Допущено Министерством просвещения Российской Федерации

Популярные ГДЗ в 8 классе

Глава 1. Рациональные дроби. Параграф 3. Произведение и частное дробей. 5. Умножение дробей. Возведение дроби в степень - номер 115, страница 31.

№115 (с. 31)
Условие. №115 (с. 31)
скриншот условия
Алгебра, 8 класс Учебник, авторы: Макарычев Юрий Николаевич, Миндюк Нора Григорьевна, Нешков Константин Иванович, Суворова Светлана Борисовна, издательство Просвещение, Москва, 2019 - 2022, белого цвета, страница 31, номер 115, Условие

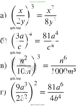
115. Возведите в степень:

а) $(\frac{x}{2y})^3;$

б) $(\frac{3a}{c})^4;$

в) $(\frac{n^2}{10m})^3;$

г) $(\frac{9a^3}{2b^2})^2.$

Решение 1. №115 (с. 31)
Алгебра, 8 класс Учебник, авторы: Макарычев Юрий Николаевич, Миндюк Нора Григорьевна, Нешков Константин Иванович, Суворова Светлана Борисовна, издательство Просвещение, Москва, 2019 - 2022, белого цвета, страница 31, номер 115, Решение 1
Алгебра, 8 класс Учебник, авторы: Макарычев Юрий Николаевич, Миндюк Нора Григорьевна, Нешков Константин Иванович, Суворова Светлана Борисовна, издательство Просвещение, Москва, 2019 - 2022, белого цвета, страница 31, номер 115, Решение 1 (продолжение 2)
Решение 2. №115 (с. 31)
Алгебра, 8 класс Учебник, авторы: Макарычев Юрий Николаевич, Миндюк Нора Григорьевна, Нешков Константин Иванович, Суворова Светлана Борисовна, издательство Просвещение, Москва, 2019 - 2022, белого цвета, страница 31, номер 115, Решение 2
Решение 3. №115 (с. 31)
Алгебра, 8 класс Учебник, авторы: Макарычев Юрий Николаевич, Миндюк Нора Григорьевна, Нешков Константин Иванович, Суворова Светлана Борисовна, издательство Просвещение, Москва, 2019 - 2022, белого цвета, страница 31, номер 115, Решение 3
Решение 4. №115 (с. 31)
Алгебра, 8 класс Учебник, авторы: Макарычев Юрий Николаевич, Миндюк Нора Григорьевна, Нешков Константин Иванович, Суворова Светлана Борисовна, издательство Просвещение, Москва, 2019 - 2022, белого цвета, страница 31, номер 115, Решение 4
Решение 5. №115 (с. 31)
Алгебра, 8 класс Учебник, авторы: Макарычев Юрий Николаевич, Миндюк Нора Григорьевна, Нешков Константин Иванович, Суворова Светлана Борисовна, издательство Просвещение, Москва, 2019 - 2022, белого цвета, страница 31, номер 115, Решение 5
Решение 6. №115 (с. 31)
Алгебра, 8 класс Учебник, авторы: Макарычев Юрий Николаевич, Миндюк Нора Григорьевна, Нешков Константин Иванович, Суворова Светлана Борисовна, издательство Просвещение, Москва, 2019 - 2022, белого цвета, страница 31, номер 115, Решение 6
Решение 7. №115 (с. 31)
Алгебра, 8 класс Учебник, авторы: Макарычев Юрий Николаевич, Миндюк Нора Григорьевна, Нешков Константин Иванович, Суворова Светлана Борисовна, издательство Просвещение, Москва, 2019 - 2022, белого цвета, страница 31, номер 115, Решение 7
Решение 8. №115 (с. 31)

Чтобы возвести дробь в степень, нужно возвести в эту степень и числитель, и знаменатель дроби. Это следует из свойства степени: $(\frac{a}{b})^n = \frac{a^n}{b^n}$. Также будем использовать свойства степени для произведения $(ab)^n = a^n b^n$ и для степени в степени $(a^m)^n = a^{mn}$.

а)

Возведем в куб (третью степень) дробь $\frac{x}{2y}$. Для этого нужно возвести в куб числитель и знаменатель:

$\left(\frac{x}{2y}\right)^3 = \frac{x^3}{(2y)^3}$

Теперь возведем в куб знаменатель, используя свойство степени произведения:

$(2y)^3 = 2^3 \cdot y^3 = 8y^3$

Собираем все вместе:

$\frac{x^3}{8y^3}$

Ответ: $\frac{x^3}{8y^3}$

б)

Возведем в четвертую степень дробь $\frac{3a}{c}$. Для этого нужно возвести в четвертую степень числитель и знаменатель:

$\left(\frac{3a}{c}\right)^4 = \frac{(3a)^4}{c^4}$

Возведем в степень числитель, используя свойство степени произведения:

$(3a)^4 = 3^4 \cdot a^4 = 81a^4$

Собираем все вместе:

$\frac{81a^4}{c^4}$

Ответ: $\frac{81a^4}{c^4}$

в)

Возведем в куб (третью степень) дробь $\frac{n^2}{10m}$. Для этого возводим в куб числитель и знаменатель:

$\left(\frac{n^2}{10m}\right)^3 = \frac{(n^2)^3}{(10m)^3}$

Для числителя используем свойство возведения степени в степень:

$(n^2)^3 = n^{2 \cdot 3} = n^6$

Для знаменателя используем свойство степени произведения:

$(10m)^3 = 10^3 \cdot m^3 = 1000m^3$

Собираем все вместе:

$\frac{n^6}{1000m^3}$

Ответ: $\frac{n^6}{1000m^3}$

г)

Возведем в квадрат (вторую степень) дробь $\frac{9a^3}{2b^2}$. Для этого возводим в квадрат числитель и знаменатель:

$\left(\frac{9a^3}{2b^2}\right)^2 = \frac{(9a^3)^2}{(2b^2)^2}$

Возводим в квадрат числитель и знаменатель по отдельности, используя свойства степени произведения и возведения степени в степень:

$(9a^3)^2 = 9^2 \cdot (a^3)^2 = 81 \cdot a^{3 \cdot 2} = 81a^6$

$(2b^2)^2 = 2^2 \cdot (b^2)^2 = 4 \cdot b^{2 \cdot 2} = 4b^4$

Собираем все вместе:

$\frac{81a^6}{4b^4}$

Ответ: $\frac{81a^6}{4b^4}$

Помогло решение? Оставьте отзыв в комментариях ниже.

Присоединяйтесь к Телеграм-группе @top_gdz

Присоединиться

Мы подготовили для вас ответ c подробным объяснением домашего задания по алгебре за 8 класс, для упражнения номер 115 расположенного на странице 31 к учебнику 2019 - 2022 года издания для учащихся школ и гимназий.

Теперь на нашем сайте ГДЗ.ТОП вы всегда легко и бесплатно найдёте условие с правильным ответом на вопрос «Как решить ДЗ» и «Как сделать» задание по алгебре к упражнению №115 (с. 31), авторов: Макарычев (Юрий Николаевич), Миндюк (Нора Григорьевна), Нешков (Константин Иванович), Суворова (Светлана Борисовна), ФГОС (старый) учебного пособия издательства Просвещение.