Номер 134, страница 34 - гдз по алгебре 8 класс учебник Макарычев, Миндюк

Алгебра, 8 класс Учебник, авторы: Макарычев Юрий Николаевич, Миндюк Нора Григорьевна, Нешков Константин Иванович, Суворова Светлана Борисовна, издательство Просвещение, Москва, 2019 - 2022, белого цвета

Авторы: Макарычев Ю. Н., Миндюк Н. Г., Нешков К. И., Суворова С. Б.

Тип: Учебник

Издательство: Просвещение

Год издания: 2019 - 2022

Цвет обложки: белый, голубой, фиолетовый

ISBN: 978-5-09-087569-1

Допущено Министерством просвещения Российской Федерации

Популярные ГДЗ в 8 классе

Глава 1. Рациональные дроби. Параграф 3. Произведение и частное дробей. 6. Деление дробей - номер 134, страница 34.

№134 (с. 34)
Условие. №134 (с. 34)
скриншот условия
Алгебра, 8 класс Учебник, авторы: Макарычев Юрий Николаевич, Миндюк Нора Григорьевна, Нешков Константин Иванович, Суворова Светлана Борисовна, издательство Просвещение, Москва, 2019 - 2022, белого цвета, страница 34, номер 134, Условие

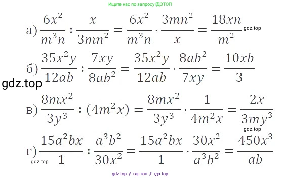
134. Выполните деление:

а) $\frac{6x^2}{m^3n} : \frac{x}{3mn^2}$;

б) $\frac{35x^2y}{12ab} : \frac{7xy}{8ab^2}$;

в) $\frac{8mx^2}{3y^3} : (4m^2x)$;

г) $15a^2bx : \frac{a^3b^2}{30x^2}$.

Решение 1. №134 (с. 34)
Алгебра, 8 класс Учебник, авторы: Макарычев Юрий Николаевич, Миндюк Нора Григорьевна, Нешков Константин Иванович, Суворова Светлана Борисовна, издательство Просвещение, Москва, 2019 - 2022, белого цвета, страница 34, номер 134, Решение 1
Алгебра, 8 класс Учебник, авторы: Макарычев Юрий Николаевич, Миндюк Нора Григорьевна, Нешков Константин Иванович, Суворова Светлана Борисовна, издательство Просвещение, Москва, 2019 - 2022, белого цвета, страница 34, номер 134, Решение 1 (продолжение 2)
Решение 2. №134 (с. 34)
Алгебра, 8 класс Учебник, авторы: Макарычев Юрий Николаевич, Миндюк Нора Григорьевна, Нешков Константин Иванович, Суворова Светлана Борисовна, издательство Просвещение, Москва, 2019 - 2022, белого цвета, страница 34, номер 134, Решение 2
Решение 3. №134 (с. 34)
Алгебра, 8 класс Учебник, авторы: Макарычев Юрий Николаевич, Миндюк Нора Григорьевна, Нешков Константин Иванович, Суворова Светлана Борисовна, издательство Просвещение, Москва, 2019 - 2022, белого цвета, страница 34, номер 134, Решение 3
Решение 4. №134 (с. 34)
Алгебра, 8 класс Учебник, авторы: Макарычев Юрий Николаевич, Миндюк Нора Григорьевна, Нешков Константин Иванович, Суворова Светлана Борисовна, издательство Просвещение, Москва, 2019 - 2022, белого цвета, страница 34, номер 134, Решение 4
Решение 5. №134 (с. 34)
Алгебра, 8 класс Учебник, авторы: Макарычев Юрий Николаевич, Миндюк Нора Григорьевна, Нешков Константин Иванович, Суворова Светлана Борисовна, издательство Просвещение, Москва, 2019 - 2022, белого цвета, страница 34, номер 134, Решение 5
Решение 6. №134 (с. 34)
Алгебра, 8 класс Учебник, авторы: Макарычев Юрий Николаевич, Миндюк Нора Григорьевна, Нешков Константин Иванович, Суворова Светлана Борисовна, издательство Просвещение, Москва, 2019 - 2022, белого цвета, страница 34, номер 134, Решение 6 Алгебра, 8 класс Учебник, авторы: Макарычев Юрий Николаевич, Миндюк Нора Григорьевна, Нешков Константин Иванович, Суворова Светлана Борисовна, издательство Просвещение, Москва, 2019 - 2022, белого цвета, страница 34, номер 134, Решение 6 (продолжение 2)
Решение 7. №134 (с. 34)
Алгебра, 8 класс Учебник, авторы: Макарычев Юрий Николаевич, Миндюк Нора Григорьевна, Нешков Константин Иванович, Суворова Светлана Борисовна, издательство Просвещение, Москва, 2019 - 2022, белого цвета, страница 34, номер 134, Решение 7
Решение 8. №134 (с. 34)

а) Чтобы разделить одну алгебраическую дробь на другую, необходимо первую дробь умножить на дробь, обратную второй (перевернуть вторую дробь). Затем выполнить умножение дробей и сократить полученный результат.

$\frac{6x^2}{m^3n} : \frac{x}{3mn^2} = \frac{6x^2}{m^3n} \cdot \frac{3mn^2}{x}$

Умножим числитель на числитель, а знаменатель на знаменатель:

$\frac{6x^2 \cdot 3mn^2}{m^3n \cdot x} = \frac{18x^2mn^2}{m^3nx}$

Теперь сократим дробь. Сократим числовые коэффициенты, а также степени переменных с одинаковыми основаниями, вычитая показатели степеней (степень в числителе минус степень в знаменателе):

$\frac{18 \cdot x^{2-1} \cdot n^{2-1}}{m^{3-1}} = \frac{18xn}{m^2}$

Ответ: $\frac{18xn}{m^2}$.

б) Аналогично предыдущему примеру, заменяем деление на умножение на обратную дробь:

$\frac{35x^2y}{12ab} : \frac{7xy}{8ab^2} = \frac{35x^2y}{12ab} \cdot \frac{8ab^2}{7xy}$

Перемножим числители и знаменатели:

$\frac{35x^2y \cdot 8ab^2}{12ab \cdot 7xy} = \frac{35 \cdot 8 \cdot x^2yab^2}{12 \cdot 7 \cdot abxy}$

Сократим числовые коэффициенты (35 и 7 на 7; 8 и 12 на 4) и переменные:

$\frac{5 \cdot 2 \cdot x^{2-1} \cdot y^{1-1} \cdot a^{1-1} \cdot b^{2-1}}{3} = \frac{10 \cdot x^1 \cdot y^0 \cdot a^0 \cdot b^1}{3}$

Так как любое число в нулевой степени равно 1 ($y^0=1, a^0=1$), получаем:

$\frac{10xb}{3}$

Ответ: $\frac{10xb}{3}$.

в) Чтобы разделить дробь на одночлен, представим этот одночлен в виде дроби со знаменателем 1 и выполним деление дробей.

$\frac{8mx^2}{3y^3} : (4m^2x) = \frac{8mx^2}{3y^3} : \frac{4m^2x}{1} = \frac{8mx^2}{3y^3} \cdot \frac{1}{4m^2x}$

Перемножим дроби:

$\frac{8mx^2}{3y^3 \cdot 4m^2x} = \frac{8mx^2}{12m^2xy^3}$

Сократим дробь (8 и 12 на 4, а также переменные):

$\frac{2 \cdot x^{2-1}}{3 \cdot m^{2-1} \cdot y^3} = \frac{2x}{3my^3}$

Ответ: $\frac{2x}{3my^3}$.

г) Чтобы разделить одночлен на дробь, представим одночлен в виде дроби со знаменателем 1 и выполним деление.

$15a^2bx : \frac{a^3b^2}{30x^2} = \frac{15a^2bx}{1} : \frac{a^3b^2}{30x^2} = \frac{15a^2bx}{1} \cdot \frac{30x^2}{a^3b^2}$

Перемножим дроби:

$\frac{15a^2bx \cdot 30x^2}{a^3b^2} = \frac{450a^2bx^3}{a^3b^2}$

Сократим переменные:

$\frac{450x^3}{a^{3-2}b^{2-1}} = \frac{450x^3}{ab}$

Ответ: $\frac{450x^3}{ab}$.

Помогло решение? Оставьте отзыв в комментариях ниже.

Присоединяйтесь к Телеграм-группе @top_gdz

Присоединиться

Мы подготовили для вас ответ c подробным объяснением домашего задания по алгебре за 8 класс, для упражнения номер 134 расположенного на странице 34 к учебнику 2019 - 2022 года издания для учащихся школ и гимназий.

Теперь на нашем сайте ГДЗ.ТОП вы всегда легко и бесплатно найдёте условие с правильным ответом на вопрос «Как решить ДЗ» и «Как сделать» задание по алгебре к упражнению №134 (с. 34), авторов: Макарычев (Юрий Николаевич), Миндюк (Нора Григорьевна), Нешков (Константин Иванович), Суворова (Светлана Борисовна), ФГОС (старый) учебного пособия издательства Просвещение.