Номер 165, страница 42 - гдз по алгебре 8 класс учебник Макарычев, Миндюк

Алгебра, 8 класс Учебник, авторы: Макарычев Юрий Николаевич, Миндюк Нора Григорьевна, Нешков Константин Иванович, Суворова Светлана Борисовна, издательство Просвещение, Москва, 2019 - 2022, белого цвета

Авторы: Макарычев Ю. Н., Миндюк Н. Г., Нешков К. И., Суворова С. Б.

Тип: Учебник

Издательство: Просвещение

Год издания: 2019 - 2022

Цвет обложки: белый, голубой, фиолетовый

ISBN: 978-5-09-087569-1

Допущено Министерством просвещения Российской Федерации

Популярные ГДЗ в 8 классе

Глава 1. Рациональные дроби. Параграф 3. Произведение и частное дробей. 7. Преобразование рациональных выражений - номер 165, страница 42.

№165 (с. 42)
Условие. №165 (с. 42)
скриншот условия
Алгебра, 8 класс Учебник, авторы: Макарычев Юрий Николаевич, Миндюк Нора Григорьевна, Нешков Константин Иванович, Суворова Светлана Борисовна, издательство Просвещение, Москва, 2019 - 2022, белого цвета, страница 42, номер 165, Условие

165. Представьте в виде отношения многочленов дробь:

а) $\frac{2 - \frac{a}{x}}{2 + \frac{a}{x}}$

б) $\frac{\frac{a - b}{c} + 3}{\frac{a + b}{c} - 1}$

в) $\frac{\frac{1}{x} + \frac{1}{y}}{\frac{1}{x} - \frac{1}{y}}$

г) $\frac{\frac{x}{y} - \frac{y}{x}}{\frac{y}{x} - \frac{x}{y}}$

Решение 1. №165 (с. 42)
Алгебра, 8 класс Учебник, авторы: Макарычев Юрий Николаевич, Миндюк Нора Григорьевна, Нешков Константин Иванович, Суворова Светлана Борисовна, издательство Просвещение, Москва, 2019 - 2022, белого цвета, страница 42, номер 165, Решение 1
Алгебра, 8 класс Учебник, авторы: Макарычев Юрий Николаевич, Миндюк Нора Григорьевна, Нешков Константин Иванович, Суворова Светлана Борисовна, издательство Просвещение, Москва, 2019 - 2022, белого цвета, страница 42, номер 165, Решение 1 (продолжение 2)
Решение 2. №165 (с. 42)
Алгебра, 8 класс Учебник, авторы: Макарычев Юрий Николаевич, Миндюк Нора Григорьевна, Нешков Константин Иванович, Суворова Светлана Борисовна, издательство Просвещение, Москва, 2019 - 2022, белого цвета, страница 42, номер 165, Решение 2
Решение 3. №165 (с. 42)
Алгебра, 8 класс Учебник, авторы: Макарычев Юрий Николаевич, Миндюк Нора Григорьевна, Нешков Константин Иванович, Суворова Светлана Борисовна, издательство Просвещение, Москва, 2019 - 2022, белого цвета, страница 42, номер 165, Решение 3
Решение 4. №165 (с. 42)
Алгебра, 8 класс Учебник, авторы: Макарычев Юрий Николаевич, Миндюк Нора Григорьевна, Нешков Константин Иванович, Суворова Светлана Борисовна, издательство Просвещение, Москва, 2019 - 2022, белого цвета, страница 42, номер 165, Решение 4
Решение 5. №165 (с. 42)
Алгебра, 8 класс Учебник, авторы: Макарычев Юрий Николаевич, Миндюк Нора Григорьевна, Нешков Константин Иванович, Суворова Светлана Борисовна, издательство Просвещение, Москва, 2019 - 2022, белого цвета, страница 42, номер 165, Решение 5
Решение 6. №165 (с. 42)
Алгебра, 8 класс Учебник, авторы: Макарычев Юрий Николаевич, Миндюк Нора Григорьевна, Нешков Константин Иванович, Суворова Светлана Борисовна, издательство Просвещение, Москва, 2019 - 2022, белого цвета, страница 42, номер 165, Решение 6 Алгебра, 8 класс Учебник, авторы: Макарычев Юрий Николаевич, Миндюк Нора Григорьевна, Нешков Константин Иванович, Суворова Светлана Борисовна, издательство Просвещение, Москва, 2019 - 2022, белого цвета, страница 42, номер 165, Решение 6 (продолжение 2)
Решение 7. №165 (с. 42)
Алгебра, 8 класс Учебник, авторы: Макарычев Юрий Николаевич, Миндюк Нора Григорьевна, Нешков Константин Иванович, Суворова Светлана Борисовна, издательство Просвещение, Москва, 2019 - 2022, белого цвета, страница 42, номер 165, Решение 7
Решение 8. №165 (с. 42)

а)

Чтобы представить данную многоэтажную дробь в виде отношения многочленов, необходимо упростить числитель и знаменатель, а затем выполнить деление.

Исходное выражение: $\frac{2 - \frac{a}{x}}{2 + \frac{a}{x}}$

1. Приведем к общему знаменателю выражение в числителе:

$2 - \frac{a}{x} = \frac{2x}{x} - \frac{a}{x} = \frac{2x - a}{x}$

2. Приведем к общему знаменателю выражение в знаменателе:

$2 + \frac{a}{x} = \frac{2x}{x} + \frac{a}{x} = \frac{2x + a}{x}$

3. Подставим полученные выражения обратно в дробь и выполним деление:

$\frac{\frac{2x - a}{x}}{\frac{2x + a}{x}} = \frac{2x - a}{x} \cdot \frac{x}{2x + a}$

4. Сократим общий множитель $x$:

$\frac{2x - a}{2x + a}$

Альтернативный способ решения — умножить числитель и знаменатель исходной дроби на наименьший общий знаменатель всех малых дробей, то есть на $x$:

$\frac{(2 - \frac{a}{x}) \cdot x}{(2 + \frac{a}{x}) \cdot x} = \frac{2 \cdot x - \frac{a}{x} \cdot x}{2 \cdot x + \frac{a}{x} \cdot x} = \frac{2x - a}{2x + a}$

Ответ: $\frac{2x - a}{2x + a}$

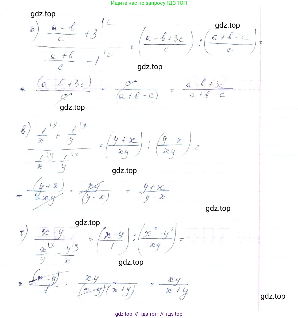
б)

Исходное выражение: $\frac{\frac{a-b}{c} + 3}{\frac{a+b}{c} - 1}$

1. Упростим числитель, приведя его к общему знаменателю $c$:

$\frac{a-b}{c} + 3 = \frac{a-b}{c} + \frac{3c}{c} = \frac{a-b+3c}{c}$

2. Упростим знаменатель, приведя его к общему знаменателю $c$:

$\frac{a+b}{c} - 1 = \frac{a+b}{c} - \frac{c}{c} = \frac{a+b-c}{c}$

3. Разделим полученный числитель на знаменатель:

$\frac{\frac{a-b+3c}{c}}{\frac{a+b-c}{c}} = \frac{a-b+3c}{c} \cdot \frac{c}{a+b-c}$

4. Сократим общий множитель $c$:

$\frac{a-b+3c}{a+b-c}$

Ответ: $\frac{a-b+3c}{a+b-c}$

в)

Исходное выражение: $\frac{\frac{1}{x} + \frac{1}{y}}{\frac{1}{x} - \frac{1}{y}}$

1. Упростим числитель, приведя дроби к общему знаменателю $xy$:

$\frac{1}{x} + \frac{1}{y} = \frac{y}{xy} + \frac{x}{xy} = \frac{y+x}{xy}$

2. Упростим знаменатель, приведя дроби к общему знаменателю $xy$:

$\frac{1}{x} - \frac{1}{y} = \frac{y}{xy} - \frac{x}{xy} = \frac{y-x}{xy}$

3. Выполним деление:

$\frac{\frac{y+x}{xy}}{\frac{y-x}{xy}} = \frac{y+x}{xy} \cdot \frac{xy}{y-x}$

4. Сократим общий множитель $xy$:

$\frac{y+x}{y-x}$

Ответ: $\frac{y+x}{y-x}$

г)

Исходное выражение: $\frac{x-y}{\frac{x}{y}-\frac{y}{x}}$

1. Числитель $x-y$ уже является многочленом. Упростим знаменатель, приведя дроби к общему знаменателю $xy$:

$\frac{x}{y} - \frac{y}{x} = \frac{x \cdot x}{xy} - \frac{y \cdot y}{xy} = \frac{x^2 - y^2}{xy}$

2. Подставим упрощенный знаменатель в исходное выражение:

$\frac{x-y}{\frac{x^2 - y^2}{xy}}$

3. Выполним деление, умножив числитель на дробь, обратную знаменателю:

$(x-y) \cdot \frac{xy}{x^2 - y^2}$

4. Используем формулу разности квадратов $a^2 - b^2 = (a-b)(a+b)$ для знаменателя $x^2 - y^2$:

$(x-y) \cdot \frac{xy}{(x-y)(x+y)}$

5. Сократим общий множитель $(x-y)$:

$\frac{xy}{x+y}$

Ответ: $\frac{xy}{x+y}$

Помогло решение? Оставьте отзыв в комментариях ниже.

Присоединяйтесь к Телеграм-группе @top_gdz

Присоединиться

Мы подготовили для вас ответ c подробным объяснением домашего задания по алгебре за 8 класс, для упражнения номер 165 расположенного на странице 42 к учебнику 2019 - 2022 года издания для учащихся школ и гимназий.

Теперь на нашем сайте ГДЗ.ТОП вы всегда легко и бесплатно найдёте условие с правильным ответом на вопрос «Как решить ДЗ» и «Как сделать» задание по алгебре к упражнению №165 (с. 42), авторов: Макарычев (Юрий Николаевич), Миндюк (Нора Григорьевна), Нешков (Константин Иванович), Суворова (Светлана Борисовна), ФГОС (старый) учебного пособия издательства Просвещение.