Номер 236, страница 56 - гдз по алгебре 8 класс учебник Макарычев, Миндюк

Алгебра, 8 класс Учебник, авторы: Макарычев Юрий Николаевич, Миндюк Нора Григорьевна, Нешков Константин Иванович, Суворова Светлана Борисовна, издательство Просвещение, Москва, 2019 - 2022, белого цвета

Авторы: Макарычев Ю. Н., Миндюк Н. Г., Нешков К. И., Суворова С. Б.

Тип: Учебник

Издательство: Просвещение

Год издания: 2019 - 2022

Цвет обложки: белый, голубой, фиолетовый

ISBN: 978-5-09-087569-1

Допущено Министерством просвещения Российской Федерации

Популярные ГДЗ в 8 классе

Глава 1. Рациональные дроби. Дополнительные упражнения к главе 1. К параграфу 2 - номер 236, страница 56.

№236 (с. 56)
Условие. №236 (с. 56)
скриншот условия
Алгебра, 8 класс Учебник, авторы: Макарычев Юрий Николаевич, Миндюк Нора Григорьевна, Нешков Константин Иванович, Суворова Светлана Борисовна, издательство Просвещение, Москва, 2019 - 2022, белого цвета, страница 56, номер 236, Условие

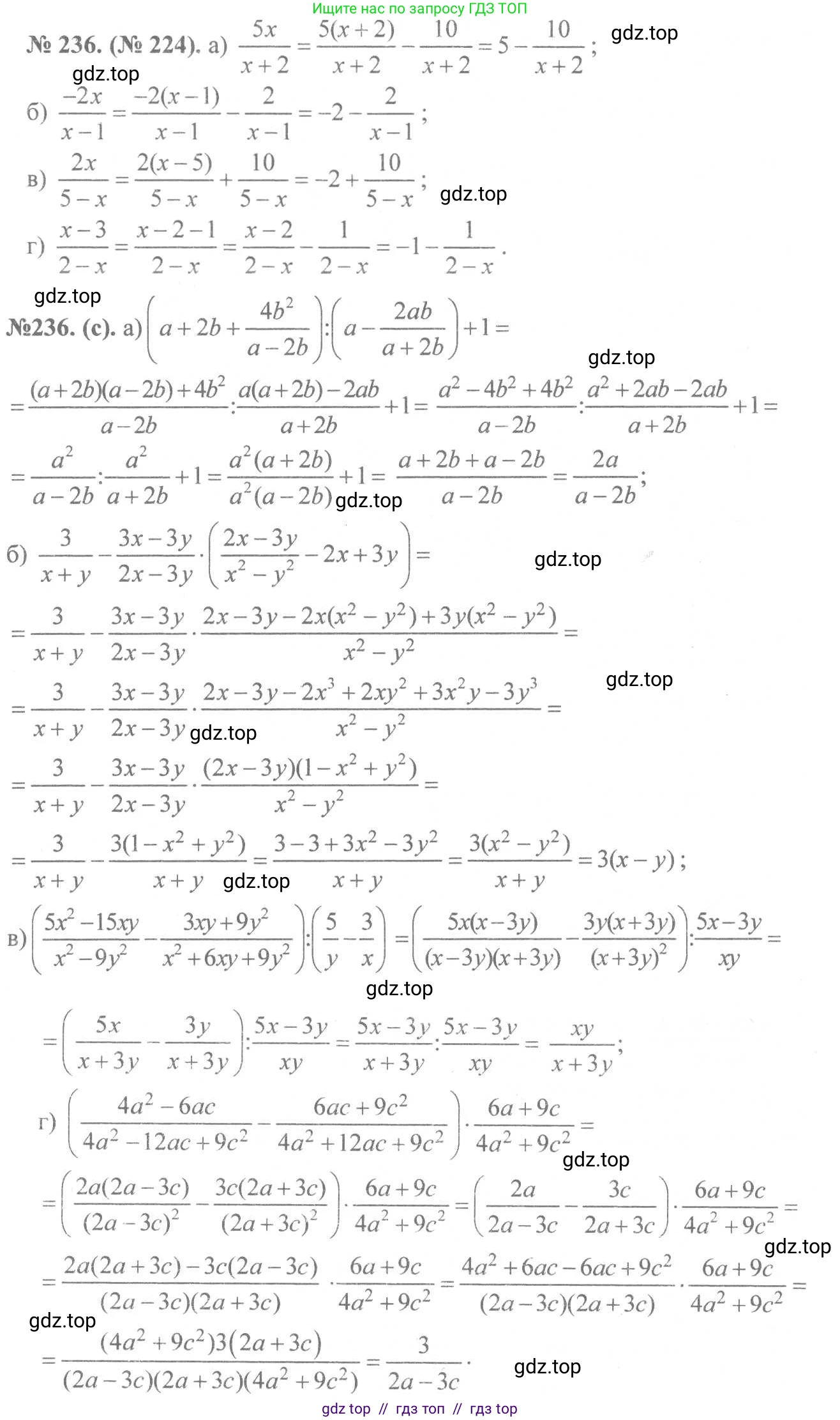
236. Представьте дробь в виде суммы или разности целого выражения и дроби:

а) $\frac{5x}{x+2}$;

б) $\frac{-2x}{x-1}$;

в) $\frac{2x}{5-x}$;

г) $\frac{x-3}{2-x}$.

Решение 1. №236 (с. 56)
Алгебра, 8 класс Учебник, авторы: Макарычев Юрий Николаевич, Миндюк Нора Григорьевна, Нешков Константин Иванович, Суворова Светлана Борисовна, издательство Просвещение, Москва, 2019 - 2022, белого цвета, страница 56, номер 236, Решение 1
Алгебра, 8 класс Учебник, авторы: Макарычев Юрий Николаевич, Миндюк Нора Григорьевна, Нешков Константин Иванович, Суворова Светлана Борисовна, издательство Просвещение, Москва, 2019 - 2022, белого цвета, страница 56, номер 236, Решение 1 (продолжение 2)
Решение 2. №236 (с. 56)
Алгебра, 8 класс Учебник, авторы: Макарычев Юрий Николаевич, Миндюк Нора Григорьевна, Нешков Константин Иванович, Суворова Светлана Борисовна, издательство Просвещение, Москва, 2019 - 2022, белого цвета, страница 56, номер 236, Решение 2
Решение 3. №236 (с. 56)
Алгебра, 8 класс Учебник, авторы: Макарычев Юрий Николаевич, Миндюк Нора Григорьевна, Нешков Константин Иванович, Суворова Светлана Борисовна, издательство Просвещение, Москва, 2019 - 2022, белого цвета, страница 56, номер 236, Решение 3
Решение 6. №236 (с. 56)
Алгебра, 8 класс Учебник, авторы: Макарычев Юрий Николаевич, Миндюк Нора Григорьевна, Нешков Константин Иванович, Суворова Светлана Борисовна, издательство Просвещение, Москва, 2019 - 2022, белого цвета, страница 56, номер 236, Решение 6
Решение 7. №236 (с. 56)
Алгебра, 8 класс Учебник, авторы: Макарычев Юрий Николаевич, Миндюк Нора Григорьевна, Нешков Константин Иванович, Суворова Светлана Борисовна, издательство Просвещение, Москва, 2019 - 2022, белого цвета, страница 56, номер 236, Решение 7
Решение 8. №236 (с. 56)

а) Чтобы представить дробь в виде суммы или разности целого выражения и дроби, нужно выделить целую часть. Для этого преобразуем числитель так, чтобы в нем содержалось выражение, кратное знаменателю.

Знаменатель дроби $\frac{5x}{x+2}$ равен $x+2$. Представим числитель $5x$ следующим образом: добавим и вычтем такое число, чтобы можно было вынести за скобку множитель 5 и получить в скобках выражение $x+2$.

$5x = 5x + 10 - 10 = 5(x+2) - 10$

Теперь подставим это выражение обратно в дробь и разделим ее на две части:

$\frac{5x}{x+2} = \frac{5(x+2) - 10}{x+2} = \frac{5(x+2)}{x+2} - \frac{10}{x+2}$

После сокращения первой дроби получаем:

$5 - \frac{10}{x+2}$

Таким образом, мы представили исходную дробь в виде разности целого выражения 5 и дроби $\frac{10}{x+2}$.

Ответ: $5 - \frac{10}{x+2}$

б) Рассмотрим дробь $\frac{-2x}{x-1}$. Знаменатель равен $x-1$.

Преобразуем числитель $-2x$, чтобы выделить в нем выражение, кратное знаменателю. Для этого добавим и вычтем 2:

$-2x = -2x + 2 - 2 = -2(x-1) - 2$

Подставим полученное выражение в числитель дроби и разделим ее:

$\frac{-2x}{x-1} = \frac{-2(x-1) - 2}{x-1} = \frac{-2(x-1)}{x-1} - \frac{2}{x-1}$

Сократив первую дробь, получим:

$-2 - \frac{2}{x-1}$

Мы получили разность целого выражения $-2$ и дроби $\frac{2}{x-1}$.

Ответ: $-2 - \frac{2}{x-1}$

в) Рассмотрим дробь $\frac{2x}{5-x}$. Знаменатель равен $5-x$.

Выделим в числителе $2x$ выражение, кратное знаменателю. Заметим, что $-2(5-x) = -10 + 2x$. Отсюда можно выразить $2x$:

$2x = -2(5-x) + 10$

Подставим это выражение в числитель и разделим дробь:

$\frac{2x}{5-x} = \frac{-2(5-x) + 10}{5-x} = \frac{-2(5-x)}{5-x} + \frac{10}{5-x}$

После сокращения получаем:

$-2 + \frac{10}{5-x}$

В результате мы представили дробь в виде суммы целого выражения $-2$ и дроби $\frac{10}{5-x}$.

Ответ: $-2 + \frac{10}{5-x}$

г) Рассмотрим дробь $\frac{x-3}{2-x}$. Знаменатель равен $2-x$.

Преобразуем числитель $x-3$ так, чтобы выделить в нем знаменатель $2-x$. Для этого представим числитель в следующем виде:

$x - 3 = x - 2 - 1 = -(2-x) - 1$

Подставим это выражение в дробь:

$\frac{x-3}{2-x} = \frac{-(2-x) - 1}{2-x}$

Разделим почленно числитель на знаменатель:

$\frac{-(2-x)}{2-x} - \frac{1}{2-x} = -1 - \frac{1}{2-x}$

Таким образом, мы представили дробь в виде разности целого выражения $-1$ и дроби $\frac{1}{2-x}$.

Ответ: $-1 - \frac{1}{2-x}$

Помогло решение? Оставьте отзыв в комментариях ниже.

Присоединяйтесь к Телеграм-группе @top_gdz

Присоединиться

Мы подготовили для вас ответ c подробным объяснением домашего задания по алгебре за 8 класс, для упражнения номер 236 расположенного на странице 56 к учебнику 2019 - 2022 года издания для учащихся школ и гимназий.

Теперь на нашем сайте ГДЗ.ТОП вы всегда легко и бесплатно найдёте условие с правильным ответом на вопрос «Как решить ДЗ» и «Как сделать» задание по алгебре к упражнению №236 (с. 56), авторов: Макарычев (Юрий Николаевич), Миндюк (Нора Григорьевна), Нешков (Константин Иванович), Суворова (Светлана Борисовна), ФГОС (старый) учебного пособия издательства Просвещение.