Номер 401, страница 96 - гдз по алгебре 8 класс учебник Макарычев, Миндюк

Алгебра, 8 класс Учебник, авторы: Макарычев Юрий Николаевич, Миндюк Нора Григорьевна, Нешков Константин Иванович, Суворова Светлана Борисовна, издательство Просвещение, Москва, 2019 - 2022, белого цвета

Авторы: Макарычев Ю. Н., Миндюк Н. Г., Нешков К. И., Суворова С. Б.

Тип: Учебник

Издательство: Просвещение

Год издания: 2019 - 2022

Цвет обложки: белый, голубой, фиолетовый

ISBN: 978-5-09-087569-1

Допущено Министерством просвещения Российской Федерации

Популярные ГДЗ в 8 классе

Глава 2. Квадратные корни. Параграф 6. Свойства арифметического квадратного корня. 17. Квадратный корень из степени - номер 401, страница 96.

№401 (с. 96)
Условие. №401 (с. 96)
скриншот условия
Алгебра, 8 класс Учебник, авторы: Макарычев Юрий Николаевич, Миндюк Нора Григорьевна, Нешков Константин Иванович, Суворова Светлана Борисовна, издательство Просвещение, Москва, 2019 - 2022, белого цвета, страница 96, номер 401, Условие

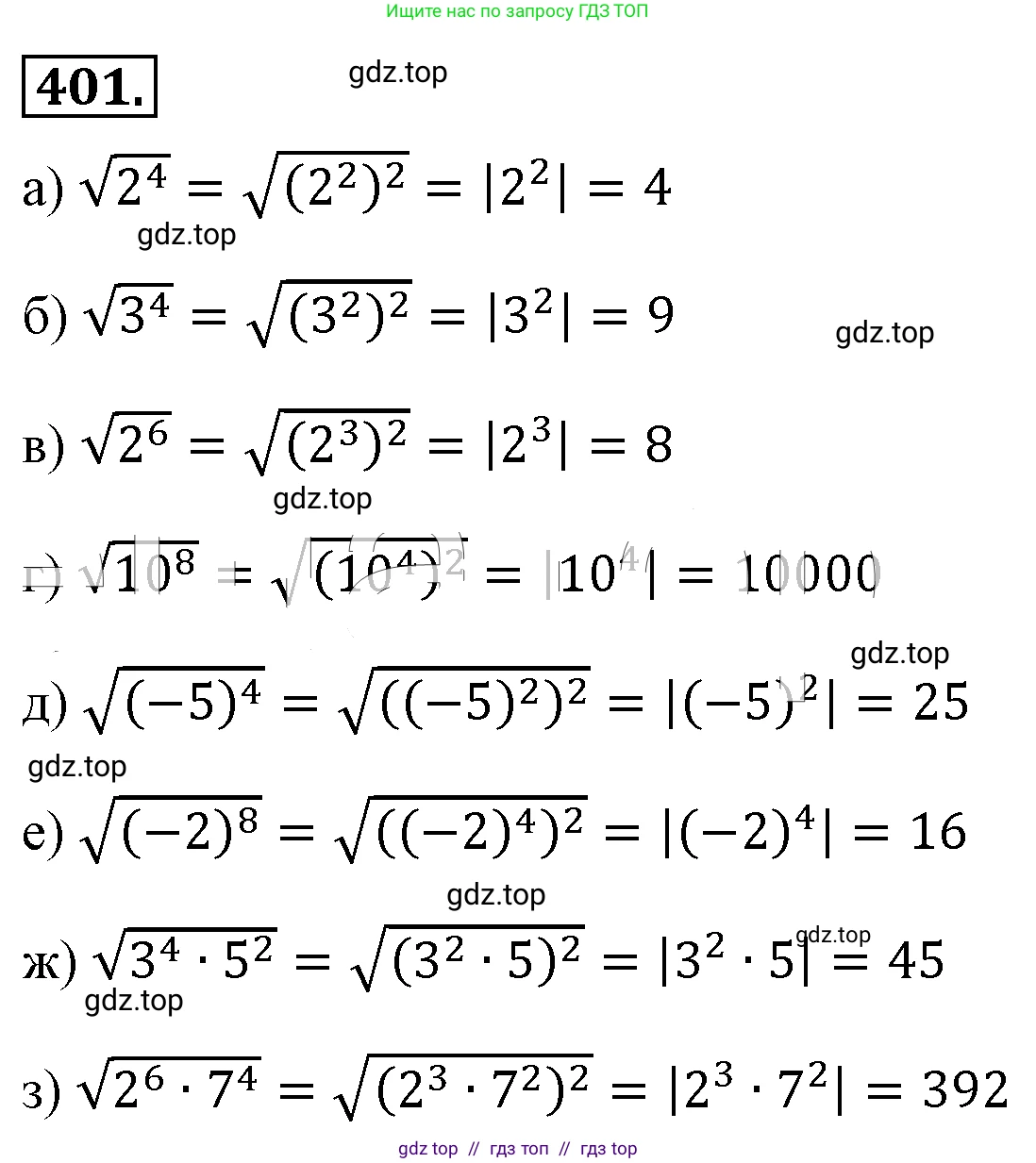
401. Найдите значение корня:

а) $\sqrt{2^4}$;

б) $\sqrt{3^4}$;

в) $\sqrt{2^6}$;

г) $\sqrt{10^8}$;

д) $\sqrt{(-5)^4}$;

е) $\sqrt{(-2)^8}$;

ж) $\sqrt{3^4 \cdot 5^2}$;

з) $\sqrt{2^6 \cdot 7^4}$.

Решение 1. №401 (с. 96)
Алгебра, 8 класс Учебник, авторы: Макарычев Юрий Николаевич, Миндюк Нора Григорьевна, Нешков Константин Иванович, Суворова Светлана Борисовна, издательство Просвещение, Москва, 2019 - 2022, белого цвета, страница 96, номер 401, Решение 1
Алгебра, 8 класс Учебник, авторы: Макарычев Юрий Николаевич, Миндюк Нора Григорьевна, Нешков Константин Иванович, Суворова Светлана Борисовна, издательство Просвещение, Москва, 2019 - 2022, белого цвета, страница 96, номер 401, Решение 1 (продолжение 2)
Решение 2. №401 (с. 96)
Алгебра, 8 класс Учебник, авторы: Макарычев Юрий Николаевич, Миндюк Нора Григорьевна, Нешков Константин Иванович, Суворова Светлана Борисовна, издательство Просвещение, Москва, 2019 - 2022, белого цвета, страница 96, номер 401, Решение 2
Решение 3. №401 (с. 96)
Алгебра, 8 класс Учебник, авторы: Макарычев Юрий Николаевич, Миндюк Нора Григорьевна, Нешков Константин Иванович, Суворова Светлана Борисовна, издательство Просвещение, Москва, 2019 - 2022, белого цвета, страница 96, номер 401, Решение 3
Решение 4. №401 (с. 96)
Алгебра, 8 класс Учебник, авторы: Макарычев Юрий Николаевич, Миндюк Нора Григорьевна, Нешков Константин Иванович, Суворова Светлана Борисовна, издательство Просвещение, Москва, 2019 - 2022, белого цвета, страница 96, номер 401, Решение 4
Решение 5. №401 (с. 96)
Алгебра, 8 класс Учебник, авторы: Макарычев Юрий Николаевич, Миндюк Нора Григорьевна, Нешков Константин Иванович, Суворова Светлана Борисовна, издательство Просвещение, Москва, 2019 - 2022, белого цвета, страница 96, номер 401, Решение 5
Решение 6. №401 (с. 96)
Алгебра, 8 класс Учебник, авторы: Макарычев Юрий Николаевич, Миндюк Нора Григорьевна, Нешков Константин Иванович, Суворова Светлана Борисовна, издательство Просвещение, Москва, 2019 - 2022, белого цвета, страница 96, номер 401, Решение 6 Алгебра, 8 класс Учебник, авторы: Макарычев Юрий Николаевич, Миндюк Нора Григорьевна, Нешков Константин Иванович, Суворова Светлана Борисовна, издательство Просвещение, Москва, 2019 - 2022, белого цвета, страница 96, номер 401, Решение 6 (продолжение 2)
Решение 7. №401 (с. 96)
Алгебра, 8 класс Учебник, авторы: Макарычев Юрий Николаевич, Миндюк Нора Григорьевна, Нешков Константин Иванович, Суворова Светлана Борисовна, издательство Просвещение, Москва, 2019 - 2022, белого цвета, страница 96, номер 401, Решение 7
Решение 8. №401 (с. 96)

а) Для нахождения значения корня воспользуемся свойством $\sqrt{a^{2k}} = a^k$ для $a \ge 0$. В данном случае подкоренное выражение $2^4$ можно представить как $(2^2)^2$.
$\sqrt{2^4} = \sqrt{(2^2)^2} = 2^2 = 4$.
Ответ: 4

б) Аналогично предыдущему примеру, представим $3^4$ как квадрат выражения $3^2$.
$\sqrt{3^4} = \sqrt{(3^2)^2} = 3^2 = 9$.
Ответ: 9

в) Представим подкоренное выражение $2^6$ в виде квадрата числа. Так как $6 = 3 \cdot 2$, то $2^6 = (2^3)^2$.
$\sqrt{2^6} = \sqrt{(2^3)^2} = 2^3 = 8$.
Ответ: 8

г) Представим $10^8$ как квадрат выражения $10^4$, так как $8 = 4 \cdot 2$.
$\sqrt{10^8} = \sqrt{(10^4)^2} = 10^4 = 10000$.
Ответ: 10000

д) Сначала упростим подкоренное выражение. Так как показатель степени $4$ является четным числом, то $(-5)^4 = 5^4$.
$\sqrt{(-5)^4} = \sqrt{5^4} = \sqrt{(5^2)^2} = 5^2 = 25$.
Можно также использовать свойство $\sqrt{a^2} = |a|$. Тогда $\sqrt{(-5)^4} = \sqrt{((-5)^2)^2} = |(-5)^2| = |25| = 25$.
Ответ: 25

е) Показатель степени $8$ является четным, поэтому $(-2)^8 = 2^8$.
$\sqrt{(-2)^8} = \sqrt{2^8} = \sqrt{(2^4)^2} = 2^4 = 16$.
По другому, $\sqrt{(-2)^8} = \sqrt{((-2)^4)^2} = |(-2)^4| = |16| = 16$.
Ответ: 16

ж) Воспользуемся свойством корня из произведения: $\sqrt{a \cdot b} = \sqrt{a} \cdot \sqrt{b}$ для $a, b \ge 0$.
$\sqrt{3^4 \cdot 5^2} = \sqrt{3^4} \cdot \sqrt{5^2} = 3^2 \cdot 5 = 9 \cdot 5 = 45$.
Другой способ — сгруппировать множители под корнем: $\sqrt{3^4 \cdot 5^2} = \sqrt{(3^2)^2 \cdot 5^2} = \sqrt{(3^2 \cdot 5)^2} = 3^2 \cdot 5 = 9 \cdot 5 = 45$.
Ответ: 45

з) Используем свойство корня из произведения.
$\sqrt{2^6 \cdot 7^4} = \sqrt{2^6} \cdot \sqrt{7^4} = 2^3 \cdot 7^2 = 8 \cdot 49 = 392$.
Или сгруппируем под корнем: $\sqrt{2^6 \cdot 7^4} = \sqrt{(2^3)^2 \cdot (7^2)^2} = \sqrt{(2^3 \cdot 7^2)^2} = 2^3 \cdot 7^2 = 8 \cdot 49 = 392$.
Ответ: 392

Помогло решение? Оставьте отзыв в комментариях ниже.

Присоединяйтесь к Телеграм-группе @top_gdz

Присоединиться

Мы подготовили для вас ответ c подробным объяснением домашего задания по алгебре за 8 класс, для упражнения номер 401 расположенного на странице 96 к учебнику 2019 - 2022 года издания для учащихся школ и гимназий.

Теперь на нашем сайте ГДЗ.ТОП вы всегда легко и бесплатно найдёте условие с правильным ответом на вопрос «Как решить ДЗ» и «Как сделать» задание по алгебре к упражнению №401 (с. 96), авторов: Макарычев (Юрий Николаевич), Миндюк (Нора Григорьевна), Нешков (Константин Иванович), Суворова (Светлана Борисовна), ФГОС (старый) учебного пособия издательства Просвещение.