Номер 504, страница 115 - гдз по алгебре 8 класс учебник Макарычев, Миндюк

Алгебра, 8 класс Учебник, авторы: Макарычев Юрий Николаевич, Миндюк Нора Григорьевна, Нешков Константин Иванович, Суворова Светлана Борисовна, издательство Просвещение, Москва, 2019 - 2022, белого цвета

Авторы: Макарычев Ю. Н., Миндюк Н. Г., Нешков К. И., Суворова С. Б.

Тип: Учебник

Издательство: Просвещение

Год издания: 2019 - 2022

Цвет обложки: белый, голубой, фиолетовый

ISBN: 978-5-09-087569-1

Допущено Министерством просвещения Российской Федерации

Популярные ГДЗ в 8 классе

Глава 2. Квадратные корни. Дополнительные упражнения к главе II. К параграфу 7 - номер 504, страница 115.

№504 (с. 115)
Условие. №504 (с. 115)
скриншот условия
Алгебра, 8 класс Учебник, авторы: Макарычев Юрий Николаевич, Миндюк Нора Григорьевна, Нешков Константин Иванович, Суворова Светлана Борисовна, издательство Просвещение, Москва, 2019 - 2022, белого цвета, страница 115, номер 504, Условие

504. Освободитесь от иррациональности в знаменателе дроби:

a) $\frac{1+\sqrt{a}}{\sqrt{a}};$

б) $\frac{y+b\sqrt{y}}{b\sqrt{y}};$

В) $\frac{x-\sqrt{ax}}{a\sqrt{x}};$

Г) $\frac{a\sqrt{b}+b\sqrt{a}}{\sqrt{ab}};$

Д) $\frac{2\sqrt{3}-3}{5\sqrt{3}};$

е) $\frac{2-3\sqrt{2}}{4\sqrt{2}}.$

Решение 1. №504 (с. 115)
Алгебра, 8 класс Учебник, авторы: Макарычев Юрий Николаевич, Миндюк Нора Григорьевна, Нешков Константин Иванович, Суворова Светлана Борисовна, издательство Просвещение, Москва, 2019 - 2022, белого цвета, страница 115, номер 504, Решение 1
Алгебра, 8 класс Учебник, авторы: Макарычев Юрий Николаевич, Миндюк Нора Григорьевна, Нешков Константин Иванович, Суворова Светлана Борисовна, издательство Просвещение, Москва, 2019 - 2022, белого цвета, страница 115, номер 504, Решение 1 (продолжение 2)
Решение 2. №504 (с. 115)
Алгебра, 8 класс Учебник, авторы: Макарычев Юрий Николаевич, Миндюк Нора Григорьевна, Нешков Константин Иванович, Суворова Светлана Борисовна, издательство Просвещение, Москва, 2019 - 2022, белого цвета, страница 115, номер 504, Решение 2
Решение 3. №504 (с. 115)
Алгебра, 8 класс Учебник, авторы: Макарычев Юрий Николаевич, Миндюк Нора Григорьевна, Нешков Константин Иванович, Суворова Светлана Борисовна, издательство Просвещение, Москва, 2019 - 2022, белого цвета, страница 115, номер 504, Решение 3
Решение 4. №504 (с. 115)
Алгебра, 8 класс Учебник, авторы: Макарычев Юрий Николаевич, Миндюк Нора Григорьевна, Нешков Константин Иванович, Суворова Светлана Борисовна, издательство Просвещение, Москва, 2019 - 2022, белого цвета, страница 115, номер 504, Решение 4
Решение 6. №504 (с. 115)
Алгебра, 8 класс Учебник, авторы: Макарычев Юрий Николаевич, Миндюк Нора Григорьевна, Нешков Константин Иванович, Суворова Светлана Борисовна, издательство Просвещение, Москва, 2019 - 2022, белого цвета, страница 115, номер 504, Решение 6 Алгебра, 8 класс Учебник, авторы: Макарычев Юрий Николаевич, Миндюк Нора Григорьевна, Нешков Константин Иванович, Суворова Светлана Борисовна, издательство Просвещение, Москва, 2019 - 2022, белого цвета, страница 115, номер 504, Решение 6 (продолжение 2)
Решение 7. №504 (с. 115)
Алгебра, 8 класс Учебник, авторы: Макарычев Юрий Николаевич, Миндюк Нора Григорьевна, Нешков Константин Иванович, Суворова Светлана Борисовна, издательство Просвещение, Москва, 2019 - 2022, белого цвета, страница 115, номер 504, Решение 7
Решение 8. №504 (с. 115)

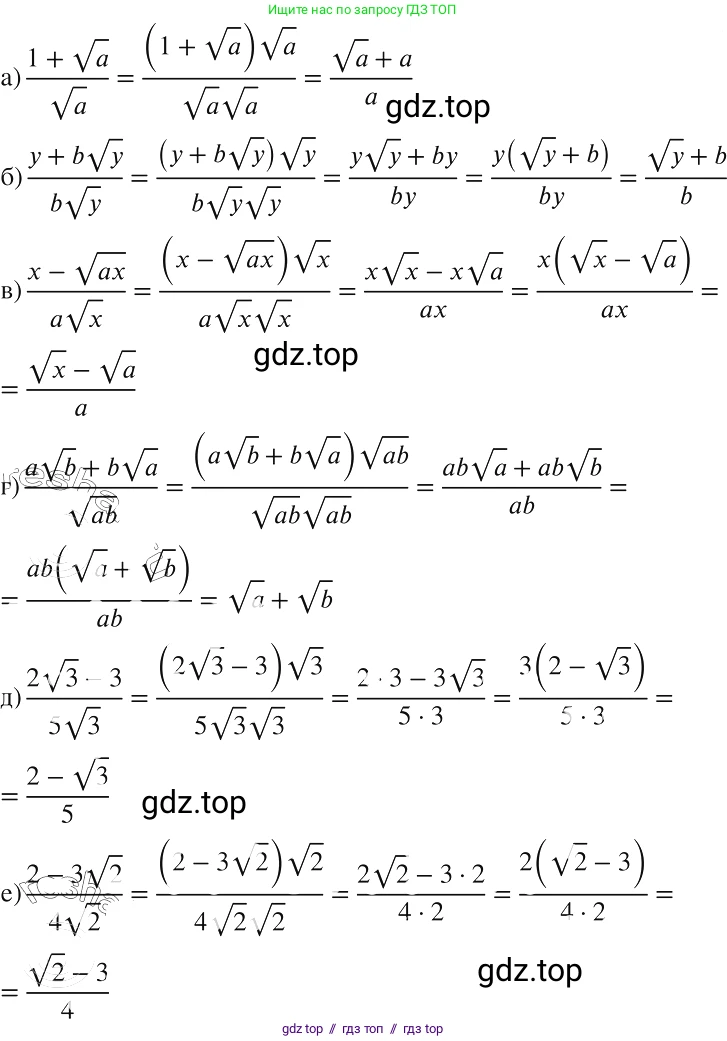
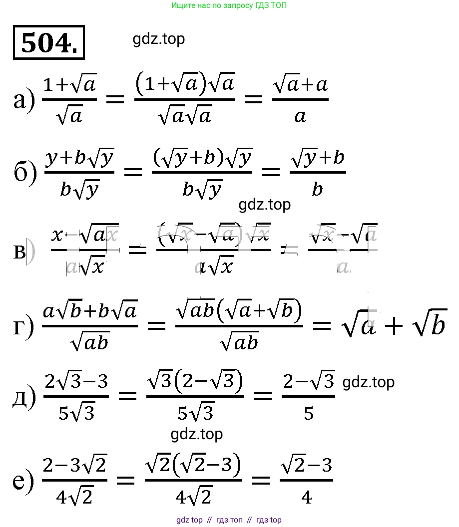
а) Чтобы избавиться от иррациональности в знаменателе дроби $\frac{1+\sqrt{a}}{\sqrt{a}}$, необходимо умножить числитель и знаменатель этой дроби на $\sqrt{a}$:

$\frac{1+\sqrt{a}}{\sqrt{a}} = \frac{(1+\sqrt{a}) \cdot \sqrt{a}}{\sqrt{a} \cdot \sqrt{a}} = \frac{1 \cdot \sqrt{a} + \sqrt{a} \cdot \sqrt{a}}{(\sqrt{a})^2} = \frac{\sqrt{a} + a}{a}$.

Ответ: $\frac{\sqrt{a} + a}{a}$.

б) Умножим числитель и знаменатель дроби $\frac{y+b\sqrt{y}}{b\sqrt{y}}$ на $\sqrt{y}$, чтобы убрать корень из знаменателя:

$\frac{y+b\sqrt{y}}{b\sqrt{y}} = \frac{(y+b\sqrt{y}) \cdot \sqrt{y}}{b\sqrt{y} \cdot \sqrt{y}} = \frac{y\sqrt{y} + b(\sqrt{y})^2}{b(\sqrt{y})^2} = \frac{y\sqrt{y} + by}{by}$.

Теперь вынесем общий множитель $y$ в числителе и сократим дробь:

$\frac{y(\sqrt{y} + b)}{by} = \frac{\sqrt{y} + b}{b}$.

Ответ: $\frac{\sqrt{y} + b}{b}$.

в) Для дроби $\frac{x-\sqrt{ax}}{a\sqrt{x}}$ умножим числитель и знаменатель на $\sqrt{x}$:

$\frac{x-\sqrt{ax}}{a\sqrt{x}} = \frac{(x-\sqrt{ax}) \cdot \sqrt{x}}{a\sqrt{x} \cdot \sqrt{x}} = \frac{x\sqrt{x} - \sqrt{ax}\sqrt{x}}{a(\sqrt{x})^2} = \frac{x\sqrt{x} - \sqrt{ax^2}}{ax}$.

Упростим числитель (при $x>0$, $\sqrt{ax^2} = x\sqrt{a}$) и сократим полученную дробь:

$\frac{x\sqrt{x} - x\sqrt{a}}{ax} = \frac{x(\sqrt{x} - \sqrt{a})}{ax} = \frac{\sqrt{x} - \sqrt{a}}{a}$.

Ответ: $\frac{\sqrt{x} - \sqrt{a}}{a}$.

г) Для дроби $\frac{a\sqrt{b}+b\sqrt{a}}{\sqrt{ab}}$ умножим числитель и знаменатель на $\sqrt{ab}$:

$\frac{a\sqrt{b}+b\sqrt{a}}{\sqrt{ab}} = \frac{(a\sqrt{b}+b\sqrt{a}) \cdot \sqrt{ab}}{(\sqrt{ab})^2} = \frac{a\sqrt{b}\sqrt{ab} + b\sqrt{a}\sqrt{ab}}{ab} = \frac{a\sqrt{ab^2} + b\sqrt{a^2b}}{ab}$.

Упростим выражение в числителе (при $a>0, b>0$, $\sqrt{ab^2} = b\sqrt{a}$ и $\sqrt{a^2b} = a\sqrt{b}$):

$\frac{a(b\sqrt{a}) + b(a\sqrt{b})}{ab} = \frac{ab\sqrt{a} + ab\sqrt{b}}{ab} = \frac{ab(\sqrt{a}+\sqrt{b})}{ab} = \sqrt{a}+\sqrt{b}$.

Ответ: $\sqrt{a}+\sqrt{b}$.

д) Для дроби $\frac{2\sqrt{3}-3}{5\sqrt{3}}$ умножим числитель и знаменатель на $\sqrt{3}$:

$\frac{2\sqrt{3}-3}{5\sqrt{3}} = \frac{(2\sqrt{3}-3) \cdot \sqrt{3}}{5\sqrt{3} \cdot \sqrt{3}} = \frac{2(\sqrt{3})^2 - 3\sqrt{3}}{5(\sqrt{3})^2} = \frac{2 \cdot 3 - 3\sqrt{3}}{5 \cdot 3} = \frac{6 - 3\sqrt{3}}{15}$.

Вынесем общий множитель 3 в числителе и сократим дробь:

$\frac{3(2-\sqrt{3})}{15} = \frac{2-\sqrt{3}}{5}$.

Ответ: $\frac{2-\sqrt{3}}{5}$.

е) Для дроби $\frac{2-3\sqrt{2}}{4\sqrt{2}}$ умножим числитель и знаменатель на $\sqrt{2}$:

$\frac{2-3\sqrt{2}}{4\sqrt{2}} = \frac{(2-3\sqrt{2}) \cdot \sqrt{2}}{4\sqrt{2} \cdot \sqrt{2}} = \frac{2\sqrt{2} - 3(\sqrt{2})^2}{4(\sqrt{2})^2} = \frac{2\sqrt{2} - 3 \cdot 2}{4 \cdot 2} = \frac{2\sqrt{2} - 6}{8}$.

Вынесем общий множитель 2 в числителе и сократим дробь:

$\frac{2(\sqrt{2}-3)}{8} = \frac{\sqrt{2}-3}{4}$.

Ответ: $\frac{\sqrt{2}-3}{4}$.

Помогло решение? Оставьте отзыв в комментариях ниже.

Присоединяйтесь к Телеграм-группе @top_gdz

Присоединиться

Мы подготовили для вас ответ c подробным объяснением домашего задания по алгебре за 8 класс, для упражнения номер 504 расположенного на странице 115 к учебнику 2019 - 2022 года издания для учащихся школ и гимназий.

Теперь на нашем сайте ГДЗ.ТОП вы всегда легко и бесплатно найдёте условие с правильным ответом на вопрос «Как решить ДЗ» и «Как сделать» задание по алгебре к упражнению №504 (с. 115), авторов: Макарычев (Юрий Николаевич), Миндюк (Нора Григорьевна), Нешков (Константин Иванович), Суворова (Светлана Борисовна), ФГОС (старый) учебного пособия издательства Просвещение.