Номер 555, страница 129 - гдз по алгебре 8 класс учебник Макарычев, Миндюк

Алгебра, 8 класс Учебник, авторы: Макарычев Юрий Николаевич, Миндюк Нора Григорьевна, Нешков Константин Иванович, Суворова Светлана Борисовна, издательство Просвещение, Москва, 2019 - 2022, белого цвета

Авторы: Макарычев Ю. Н., Миндюк Н. Г., Нешков К. И., Суворова С. Б.

Тип: Учебник

Издательство: Просвещение

Год издания: 2019 - 2022

Цвет обложки: белый, голубой, фиолетовый

ISBN: 978-5-09-087569-1

Допущено Министерством просвещения Российской Федерации

Популярные ГДЗ в 8 классе

Глава 3. Квадратные уравнения. Параграф 8. Квадратное уравнение и его корни. 22. Формула корней квадратного уравнения - номер 555, страница 129.

№555 (с. 129)
Условие. №555 (с. 129)
скриншот условия
Алгебра, 8 класс Учебник, авторы: Макарычев Юрий Николаевич, Миндюк Нора Григорьевна, Нешков Константин Иванович, Суворова Светлана Борисовна, издательство Просвещение, Москва, 2019 - 2022, белого цвета, страница 129, номер 555, Условие

555. Существует ли такое значение $a$, при котором уравнение

$x^2 - ax + a - 4 = 0:$

а) не имеет корней;

б) имеет один корень;

в) имеет два корня?

Решение 1. №555 (с. 129)
Алгебра, 8 класс Учебник, авторы: Макарычев Юрий Николаевич, Миндюк Нора Григорьевна, Нешков Константин Иванович, Суворова Светлана Борисовна, издательство Просвещение, Москва, 2019 - 2022, белого цвета, страница 129, номер 555, Решение 1
Алгебра, 8 класс Учебник, авторы: Макарычев Юрий Николаевич, Миндюк Нора Григорьевна, Нешков Константин Иванович, Суворова Светлана Борисовна, издательство Просвещение, Москва, 2019 - 2022, белого цвета, страница 129, номер 555, Решение 1 (продолжение 2)
Решение 2. №555 (с. 129)
Алгебра, 8 класс Учебник, авторы: Макарычев Юрий Николаевич, Миндюк Нора Григорьевна, Нешков Константин Иванович, Суворова Светлана Борисовна, издательство Просвещение, Москва, 2019 - 2022, белого цвета, страница 129, номер 555, Решение 2
Решение 3. №555 (с. 129)
Алгебра, 8 класс Учебник, авторы: Макарычев Юрий Николаевич, Миндюк Нора Григорьевна, Нешков Константин Иванович, Суворова Светлана Борисовна, издательство Просвещение, Москва, 2019 - 2022, белого цвета, страница 129, номер 555, Решение 3
Решение 4. №555 (с. 129)
Алгебра, 8 класс Учебник, авторы: Макарычев Юрий Николаевич, Миндюк Нора Григорьевна, Нешков Константин Иванович, Суворова Светлана Борисовна, издательство Просвещение, Москва, 2019 - 2022, белого цвета, страница 129, номер 555, Решение 4
Решение 6. №555 (с. 129)
Алгебра, 8 класс Учебник, авторы: Макарычев Юрий Николаевич, Миндюк Нора Григорьевна, Нешков Константин Иванович, Суворова Светлана Борисовна, издательство Просвещение, Москва, 2019 - 2022, белого цвета, страница 129, номер 555, Решение 6 Алгебра, 8 класс Учебник, авторы: Макарычев Юрий Николаевич, Миндюк Нора Григорьевна, Нешков Константин Иванович, Суворова Светлана Борисовна, издательство Просвещение, Москва, 2019 - 2022, белого цвета, страница 129, номер 555, Решение 6 (продолжение 2)
Решение 7. №555 (с. 129)
Алгебра, 8 класс Учебник, авторы: Макарычев Юрий Николаевич, Миндюк Нора Григорьевна, Нешков Константин Иванович, Суворова Светлана Борисовна, издательство Просвещение, Москва, 2019 - 2022, белого цвета, страница 129, номер 555, Решение 7
Решение 8. №555 (с. 129)

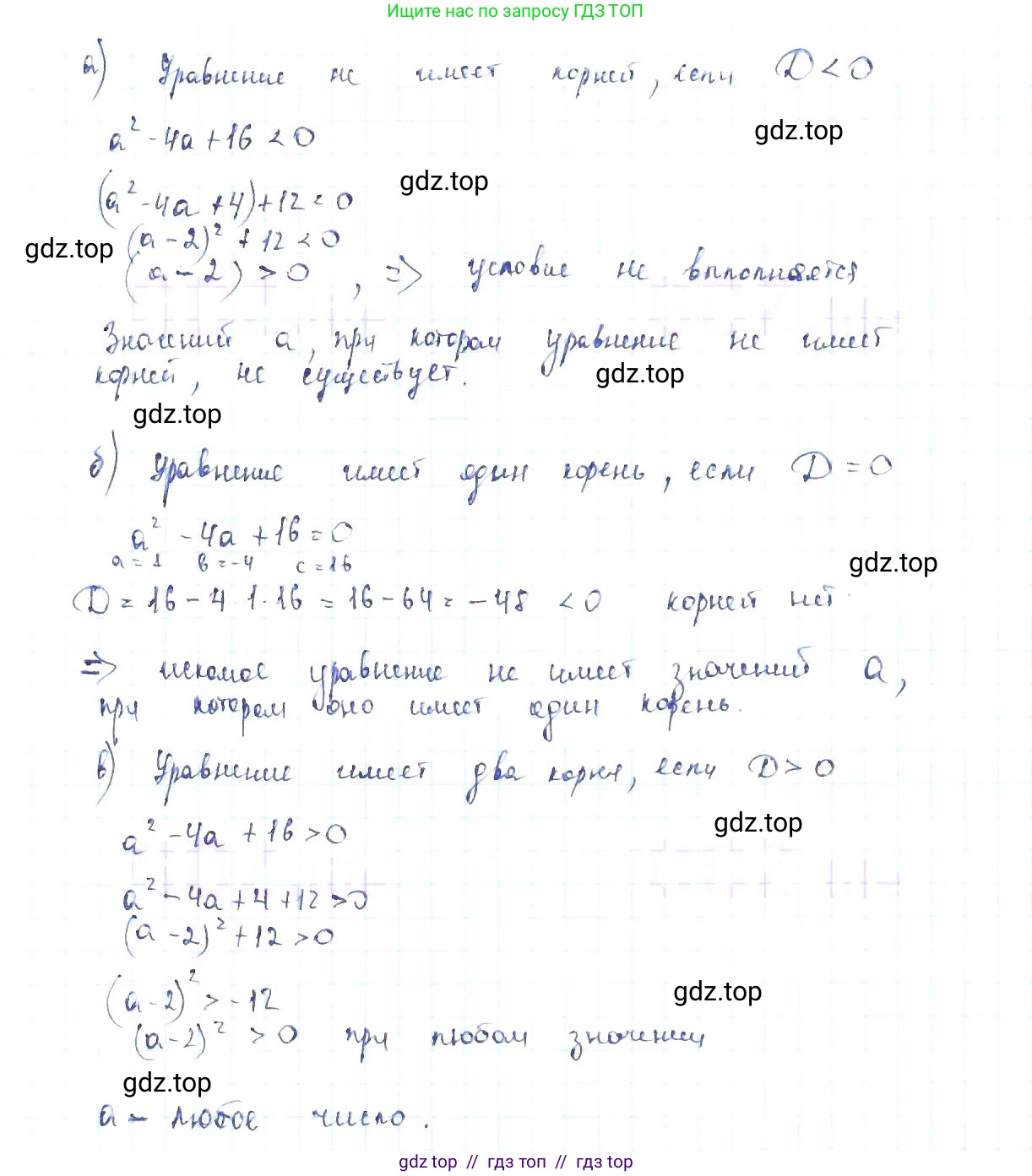
Данное уравнение является квадратным уравнением вида $Ax^2 + Bx + C = 0$. Количество корней такого уравнения зависит от знака его дискриминанта $D = B^2 - 4AC$.

  • Если $D > 0$, уравнение имеет два различных действительных корня.
  • Если $D = 0$, уравнение имеет один действительный корень (или два совпадающих).
  • Если $D < 0$, уравнение не имеет действительных корней.

Для уравнения $x^2 - ax + a - 4 = 0$ коэффициенты равны:

$A = 1$, $B = -a$, $C = a - 4$.

Найдем дискриминант:

$D = B^2 - 4AC = (-a)^2 - 4 \cdot 1 \cdot (a - 4) = a^2 - 4a + 16$.

Теперь нам нужно исследовать знак выражения $a^2 - 4a + 16$ в зависимости от параметра $a$. Это квадратичная функция относительно $a$. Мы можем проанализировать ее, выделив полный квадрат:

$a^2 - 4a + 16 = (a^2 - 4a + 4) + 12 = (a - 2)^2 + 12$.

Выражение $(a - 2)^2$ всегда неотрицательно, то есть $(a - 2)^2 \ge 0$ для любого действительного значения $a$. Следовательно, минимальное значение дискриминанта $D$ равно $12$ (при $a=2$), и в общем случае $D = (a - 2)^2 + 12 \ge 12$.

Таким образом, дискриминант $D$ всегда строго больше нуля ($D > 0$) при любом значении $a$.

Теперь ответим на вопросы задачи.

а) не имеет корней;

Уравнение не имеет корней, если $D < 0$. В нашем случае $D = (a - 2)^2 + 12$. Так как $(a - 2)^2 \ge 0$, то $D \ge 12$. Условие $D < 0$ никогда не выполняется.

Ответ: не существует такого значения $a$.

б) имеет один корень;

Уравнение имеет один корень, если $D = 0$. Так как мы выяснили, что минимальное значение дискриминанта равно 12, условие $D = 0$ никогда не выполняется.

Ответ: не существует такого значения $a$.

в) имеет два корня?

Уравнение имеет два корня, если $D > 0$. Поскольку $D = (a - 2)^2 + 12 \ge 12$, дискриминант всегда положителен при любом действительном значении $a$.

Ответ: да, существует. Уравнение имеет два различных корня при любом действительном значении $a$.

Помогло решение? Оставьте отзыв в комментариях ниже.

Присоединяйтесь к Телеграм-группе @top_gdz

Присоединиться

Мы подготовили для вас ответ c подробным объяснением домашего задания по алгебре за 8 класс, для упражнения номер 555 расположенного на странице 129 к учебнику 2019 - 2022 года издания для учащихся школ и гимназий.

Теперь на нашем сайте ГДЗ.ТОП вы всегда легко и бесплатно найдёте условие с правильным ответом на вопрос «Как решить ДЗ» и «Как сделать» задание по алгебре к упражнению №555 (с. 129), авторов: Макарычев (Юрий Николаевич), Миндюк (Нора Григорьевна), Нешков (Константин Иванович), Суворова (Светлана Борисовна), ФГОС (старый) учебного пособия издательства Просвещение.