Номер 596, страница 138 - гдз по алгебре 8 класс учебник Макарычев, Миндюк

Алгебра, 8 класс Учебник, авторы: Макарычев Юрий Николаевич, Миндюк Нора Григорьевна, Нешков Константин Иванович, Суворова Светлана Борисовна, издательство Просвещение, Москва, 2019 - 2022, белого цвета

Авторы: Макарычев Ю. Н., Миндюк Н. Г., Нешков К. И., Суворова С. Б.

Тип: Учебник

Издательство: Просвещение

Год издания: 2019 - 2022

Цвет обложки: белый, голубой, фиолетовый

ISBN: 978-5-09-087569-1

Допущено Министерством просвещения Российской Федерации

Популярные ГДЗ в 8 классе

Глава 3. Квадратные уравнения. Параграф 8. Квадратное уравнение и его корни. 24. Теорема Виета - номер 596, страница 138.

№596 (с. 138)
Условие. №596 (с. 138)
скриншот условия
Алгебра, 8 класс Учебник, авторы: Макарычев Юрий Николаевич, Миндюк Нора Григорьевна, Нешков Константин Иванович, Суворова Светлана Борисовна, издательство Просвещение, Москва, 2019 - 2022, белого цвета, страница 138, номер 596, Условие

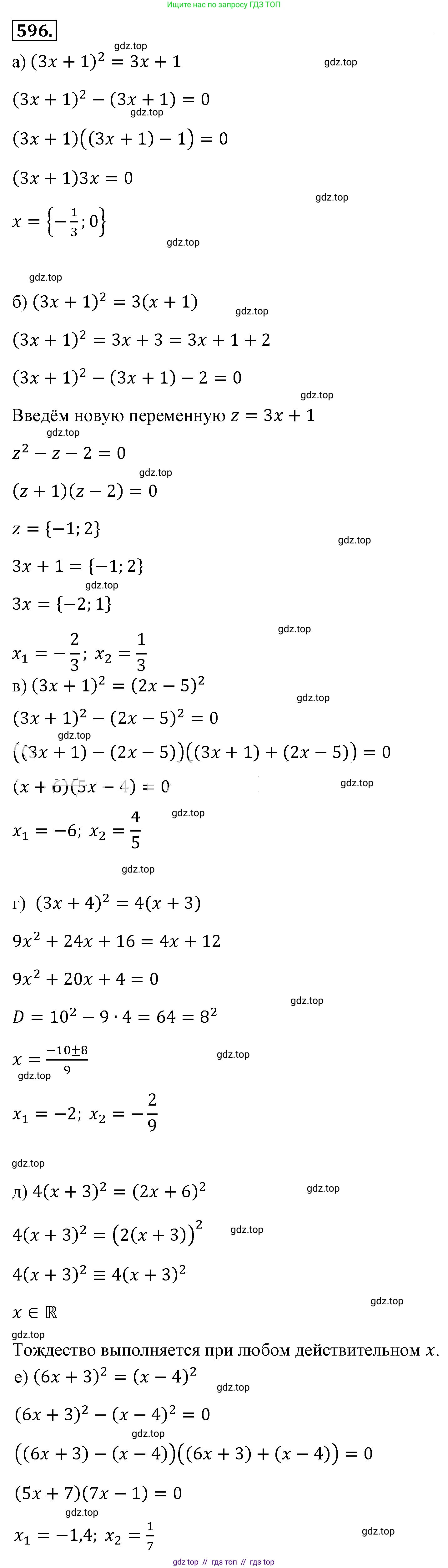
596. При каких значениях x верно равенство:

а) $(3x + 1)^2 = 3x + 1;$

б) $(3x + 1)^2 = 3(x + 1);$

в) $(3x + 1)^2 = (2x - 5)^2;$

г) $(3x + 4)^2 = 4(x + 3);$

д) $4(x + 3)^2 = (2x + 6)^2;$

е) $(6x + 3)^2 = (x - 4)^2?$

Решение 1. №596 (с. 138)
Алгебра, 8 класс Учебник, авторы: Макарычев Юрий Николаевич, Миндюк Нора Григорьевна, Нешков Константин Иванович, Суворова Светлана Борисовна, издательство Просвещение, Москва, 2019 - 2022, белого цвета, страница 138, номер 596, Решение 1
Алгебра, 8 класс Учебник, авторы: Макарычев Юрий Николаевич, Миндюк Нора Григорьевна, Нешков Константин Иванович, Суворова Светлана Борисовна, издательство Просвещение, Москва, 2019 - 2022, белого цвета, страница 138, номер 596, Решение 1 (продолжение 2)
Решение 2. №596 (с. 138)
Алгебра, 8 класс Учебник, авторы: Макарычев Юрий Николаевич, Миндюк Нора Григорьевна, Нешков Константин Иванович, Суворова Светлана Борисовна, издательство Просвещение, Москва, 2019 - 2022, белого цвета, страница 138, номер 596, Решение 2
Алгебра, 8 класс Учебник, авторы: Макарычев Юрий Николаевич, Миндюк Нора Григорьевна, Нешков Константин Иванович, Суворова Светлана Борисовна, издательство Просвещение, Москва, 2019 - 2022, белого цвета, страница 138, номер 596, Решение 2 (продолжение 2)
Решение 3. №596 (с. 138)
Алгебра, 8 класс Учебник, авторы: Макарычев Юрий Николаевич, Миндюк Нора Григорьевна, Нешков Константин Иванович, Суворова Светлана Борисовна, издательство Просвещение, Москва, 2019 - 2022, белого цвета, страница 138, номер 596, Решение 3
Решение 4. №596 (с. 138)
Алгебра, 8 класс Учебник, авторы: Макарычев Юрий Николаевич, Миндюк Нора Григорьевна, Нешков Константин Иванович, Суворова Светлана Борисовна, издательство Просвещение, Москва, 2019 - 2022, белого цвета, страница 138, номер 596, Решение 4
Решение 6. №596 (с. 138)
Алгебра, 8 класс Учебник, авторы: Макарычев Юрий Николаевич, Миндюк Нора Григорьевна, Нешков Константин Иванович, Суворова Светлана Борисовна, издательство Просвещение, Москва, 2019 - 2022, белого цвета, страница 138, номер 596, Решение 6
Решение 7. №596 (с. 138)
Алгебра, 8 класс Учебник, авторы: Макарычев Юрий Николаевич, Миндюк Нора Григорьевна, Нешков Константин Иванович, Суворова Светлана Борисовна, издательство Просвещение, Москва, 2019 - 2022, белого цвета, страница 138, номер 596, Решение 7
Решение 8. №596 (с. 138)

а) Решим уравнение $(3x + 1)^2 = 3x + 1$.
Это уравнение можно решить, перенеся все члены в левую часть и разложив на множители.
$(3x + 1)^2 - (3x + 1) = 0$
Вынесем общий множитель $(3x + 1)$ за скобки:
$(3x + 1)((3x + 1) - 1) = 0$
$(3x + 1)(3x) = 0$
Произведение равно нулю тогда и только тогда, когда хотя бы один из множителей равен нулю.
1) $3x + 1 = 0 \implies 3x = -1 \implies x = -1/3$.
2) $3x = 0 \implies x = 0$.
Ответ: $x = -1/3$, $x = 0$.

б) Решим уравнение $(3x + 1)^2 = 3(x + 1)$.
Раскроем скобки в обеих частях уравнения. В левой части применим формулу квадрата суммы:
$(3x)^2 + 2 \cdot 3x \cdot 1 + 1^2 = 3x + 3$
$9x^2 + 6x + 1 = 3x + 3$
Перенесем все члены в левую часть и приведем подобные слагаемые, чтобы получить стандартное квадратное уравнение:
$9x^2 + 6x - 3x + 1 - 3 = 0$
$9x^2 + 3x - 2 = 0$
Решим это уравнение с помощью дискриминанта $D = b^2 - 4ac$:
$D = 3^2 - 4 \cdot 9 \cdot (-2) = 9 + 72 = 81$
$x_{1,2} = \frac{-b \pm \sqrt{D}}{2a}$
$x_1 = \frac{-3 + \sqrt{81}}{2 \cdot 9} = \frac{-3 + 9}{18} = \frac{6}{18} = 1/3$.
$x_2 = \frac{-3 - \sqrt{81}}{2 \cdot 9} = \frac{-3 - 9}{18} = \frac{-12}{18} = -2/3$.
Ответ: $x = -2/3$, $x = 1/3$.

в) Решим уравнение $(3x + 1)^2 = (2x - 5)^2$.
Уравнение вида $A^2 = B^2$ равносильно совокупности двух уравнений: $A = B$ или $A = -B$.
1) $3x + 1 = 2x - 5$
$3x - 2x = -5 - 1$
$x = -6$.
2) $3x + 1 = -(2x - 5)$
$3x + 1 = -2x + 5$
$3x + 2x = 5 - 1$
$5x = 4$
$x = 4/5$.
Ответ: $x = -6$, $x = 4/5$.

г) Решим уравнение $(3x + 4)^2 = 4(x + 3)$.
Раскроем скобки в обеих частях:
$9x^2 + 2 \cdot 3x \cdot 4 + 4^2 = 4x + 12$
$9x^2 + 24x + 16 = 4x + 12$
Перенесем все в левую часть:
$9x^2 + 24x - 4x + 16 - 12 = 0$
$9x^2 + 20x + 4 = 0$
Найдем дискриминант:
$D = 20^2 - 4 \cdot 9 \cdot 4 = 400 - 144 = 256$
Найдем корни:
$x_1 = \frac{-20 + \sqrt{256}}{2 \cdot 9} = \frac{-20 + 16}{18} = \frac{-4}{18} = -2/9$.
$x_2 = \frac{-20 - \sqrt{256}}{2 \cdot 9} = \frac{-20 - 16}{18} = \frac{-36}{18} = -2$.
Ответ: $x = -2$, $x = -2/9$.

д) Решим уравнение $4(x + 3)^2 = (2x + 6)^2$.
Преобразуем правую часть уравнения, вынеся общий множитель 2 за скобки:
$(2x + 6)^2 = (2(x + 3))^2 = 2^2(x + 3)^2 = 4(x + 3)^2$.
Уравнение принимает вид:
$4(x + 3)^2 = 4(x + 3)^2$.
Это равенство является тождеством, так как левая часть всегда равна правой. Следовательно, оно верно при любом значении $x$.
Ответ: $x$ – любое число.

е) Решим уравнение $(6x + 3)^2 = (x - 4)^2$.
Это уравнение вида $A^2 = B^2$, которое равносильно $A = B$ или $A = -B$.
1) $6x + 3 = x - 4$
$6x - x = -4 - 3$
$5x = -7$
$x = -7/5$.
2) $6x + 3 = -(x - 4)$
$6x + 3 = -x + 4$
$6x + x = 4 - 3$
$7x = 1$
$x = 1/7$.
Ответ: $x = -7/5$, $x = 1/7$.

Помогло решение? Оставьте отзыв в комментариях ниже.

Присоединяйтесь к Телеграм-группе @top_gdz

Присоединиться

Мы подготовили для вас ответ c подробным объяснением домашего задания по алгебре за 8 класс, для упражнения номер 596 расположенного на странице 138 к учебнику 2019 - 2022 года издания для учащихся школ и гимназий.

Теперь на нашем сайте ГДЗ.ТОП вы всегда легко и бесплатно найдёте условие с правильным ответом на вопрос «Как решить ДЗ» и «Как сделать» задание по алгебре к упражнению №596 (с. 138), авторов: Макарычев (Юрий Николаевич), Миндюк (Нора Григорьевна), Нешков (Константин Иванович), Суворова (Светлана Борисовна), ФГОС (старый) учебного пособия издательства Просвещение.