Номер 679, страница 154 - гдз по алгебре 8 класс учебник Макарычев, Миндюк

Алгебра, 8 класс Учебник, авторы: Макарычев Юрий Николаевич, Миндюк Нора Григорьевна, Нешков Константин Иванович, Суворова Светлана Борисовна, издательство Просвещение, Москва, 2019 - 2022, белого цвета

Авторы: Макарычев Ю. Н., Миндюк Н. Г., Нешков К. И., Суворова С. Б.

Тип: Учебник

Издательство: Просвещение

Год издания: 2019 - 2022

Цвет обложки: белый, голубой, фиолетовый

ISBN: 978-5-09-087569-1

Допущено Министерством просвещения Российской Федерации

Популярные ГДЗ в 8 классе

Глава 3. Квадратные уравнения. Дополнительные упражнения к главе III. К параграфу 8 - номер 679, страница 154.

№679 (с. 154)
Условие. №679 (с. 154)
скриншот условия
Алгебра, 8 класс Учебник, авторы: Макарычев Юрий Николаевич, Миндюк Нора Григорьевна, Нешков Константин Иванович, Суворова Светлана Борисовна, издательство Просвещение, Москва, 2019 - 2022, белого цвета, страница 154, номер 679, Условие

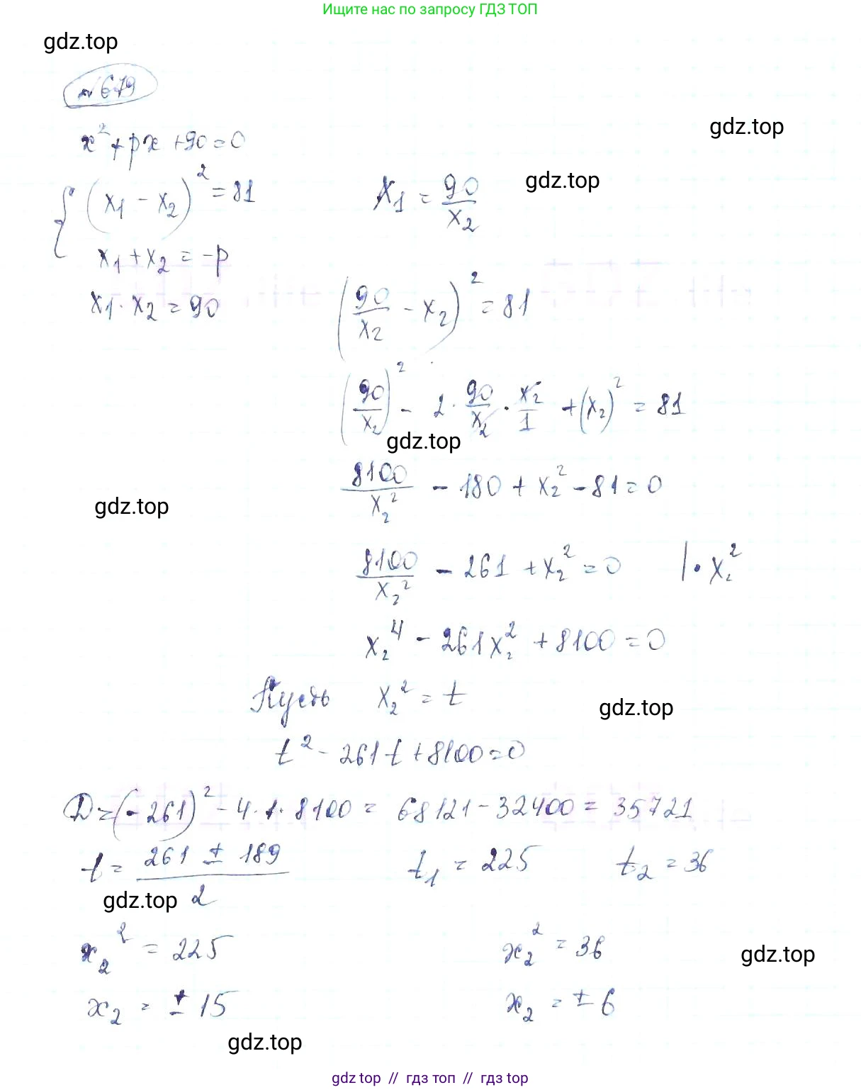
679. Квадрат разности корней уравнения $x^2 + px + 90 = 0$ равен 81.

Найдите $p$.

Решение 1. №679 (с. 154)
Алгебра, 8 класс Учебник, авторы: Макарычев Юрий Николаевич, Миндюк Нора Григорьевна, Нешков Константин Иванович, Суворова Светлана Борисовна, издательство Просвещение, Москва, 2019 - 2022, белого цвета, страница 154, номер 679, Решение 1
Решение 2. №679 (с. 154)
Алгебра, 8 класс Учебник, авторы: Макарычев Юрий Николаевич, Миндюк Нора Григорьевна, Нешков Константин Иванович, Суворова Светлана Борисовна, издательство Просвещение, Москва, 2019 - 2022, белого цвета, страница 154, номер 679, Решение 2
Решение 3. №679 (с. 154)
Алгебра, 8 класс Учебник, авторы: Макарычев Юрий Николаевич, Миндюк Нора Григорьевна, Нешков Константин Иванович, Суворова Светлана Борисовна, издательство Просвещение, Москва, 2019 - 2022, белого цвета, страница 154, номер 679, Решение 3
Решение 4. №679 (с. 154)
Алгебра, 8 класс Учебник, авторы: Макарычев Юрий Николаевич, Миндюк Нора Григорьевна, Нешков Константин Иванович, Суворова Светлана Борисовна, издательство Просвещение, Москва, 2019 - 2022, белого цвета, страница 154, номер 679, Решение 4
Решение 6. №679 (с. 154)
Алгебра, 8 класс Учебник, авторы: Макарычев Юрий Николаевич, Миндюк Нора Григорьевна, Нешков Константин Иванович, Суворова Светлана Борисовна, издательство Просвещение, Москва, 2019 - 2022, белого цвета, страница 154, номер 679, Решение 6 Алгебра, 8 класс Учебник, авторы: Макарычев Юрий Николаевич, Миндюк Нора Григорьевна, Нешков Константин Иванович, Суворова Светлана Борисовна, издательство Просвещение, Москва, 2019 - 2022, белого цвета, страница 154, номер 679, Решение 6 (продолжение 2)
Решение 8. №679 (с. 154)

Дано квадратное уравнение $x^2 + px + 90 = 0$. Пусть $x_1$ и $x_2$ — корни этого уравнения. По условию задачи, квадрат разности корней равен 81, то есть $(x_1 - x_2)^2 = 81$.

Для решения задачи воспользуемся теоремой Виета. Для приведенного квадратного уравнения вида $x^2 + bx + c = 0$ справедливы соотношения:

  • Сумма корней: $x_1 + x_2 = -b$
  • Произведение корней: $x_1 \cdot x_2 = c$

В нашем случае коэффициенты равны $b=p$ и $c=90$. Таким образом, по теореме Виета:

  • $x_1 + x_2 = -p$
  • $x_1 \cdot x_2 = 90$

Теперь преобразуем выражение для квадрата разности корней, чтобы выразить его через сумму и произведение корней. Используем известное тождество: $(x_1 - x_2)^2 = (x_1 + x_2)^2 - 4x_1x_2$.

Подставим в это тождество известные нам значения:

  • $(x_1 - x_2)^2 = 81$ (из условия)
  • $x_1 + x_2 = -p$
  • $x_1 \cdot x_2 = 90$

Получаем уравнение относительно $p$:
$81 = (-p)^2 - 4 \cdot 90$
$81 = p^2 - 360$
$p^2 = 81 + 360$
$p^2 = 441$
$p = \pm\sqrt{441}$
$p = \pm 21$

Оба значения $p$ являются решением. Убедимся, что при этих значениях $p$ уравнение имеет действительные корни, проверив знак дискриминанта $D = p^2 - 4ac$. $D = p^2 - 4 \cdot 1 \cdot 90 = 441 - 360 = 81$. Так как $D = 81 > 0$, уравнение имеет два различных действительных корня при $p=21$ и $p=-21$.

Ответ: $p = 21$ или $p = -21$.

Помогло решение? Оставьте отзыв в комментариях ниже.

Присоединяйтесь к Телеграм-группе @top_gdz

Присоединиться

Мы подготовили для вас ответ c подробным объяснением домашего задания по алгебре за 8 класс, для упражнения номер 679 расположенного на странице 154 к учебнику 2019 - 2022 года издания для учащихся школ и гимназий.

Теперь на нашем сайте ГДЗ.ТОП вы всегда легко и бесплатно найдёте условие с правильным ответом на вопрос «Как решить ДЗ» и «Как сделать» задание по алгебре к упражнению №679 (с. 154), авторов: Макарычев (Юрий Николаевич), Миндюк (Нора Григорьевна), Нешков (Константин Иванович), Суворова (Светлана Борисовна), ФГОС (старый) учебного пособия издательства Просвещение.