Номер 711, страница 158 - гдз по алгебре 8 класс учебник Макарычев, Миндюк

Алгебра, 8 класс Учебник, авторы: Макарычев Юрий Николаевич, Миндюк Нора Григорьевна, Нешков Константин Иванович, Суворова Светлана Борисовна, издательство Просвещение, Москва, 2019 - 2022, белого цвета

Авторы: Макарычев Ю. Н., Миндюк Н. Г., Нешков К. И., Суворова С. Б.

Тип: Учебник

Издательство: Просвещение

Год издания: 2019 - 2022

Цвет обложки: белый, голубой, фиолетовый

ISBN: 978-5-09-087569-1

Допущено Министерством просвещения Российской Федерации

Популярные ГДЗ в 8 классе

Глава 3. Квадратные уравнения. Дополнительные упражнения к главе III. К параграфу 9 - номер 711, страница 158.

№711 (с. 158)
Условие. №711 (с. 158)
скриншот условия
Алгебра, 8 класс Учебник, авторы: Макарычев Юрий Николаевич, Миндюк Нора Григорьевна, Нешков Константин Иванович, Суворова Светлана Борисовна, издательство Просвещение, Москва, 2019 - 2022, белого цвета, страница 158, номер 711, Условие

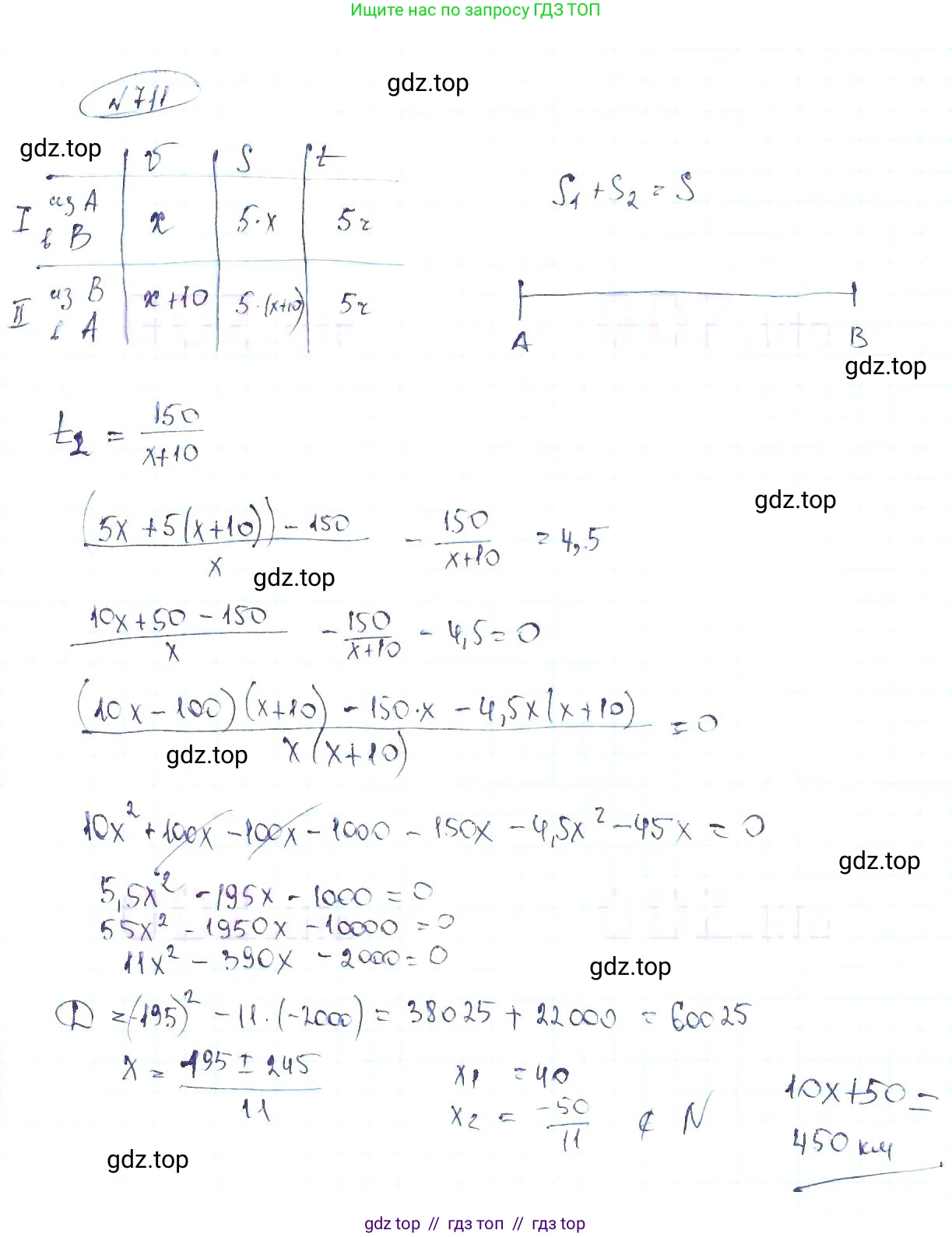
711. Из двух городов А и В выходят одновременно два автомобиля и встречаются через 5 ч. Скорость автомобиля, выходящего из А, на 10 км/ч меньше скорости другого автомобиля. Если бы первый автомобиль вышел из А на $4\frac{1}{2}$ ч раньше второго, то встреча произошла бы в 150 км от В. Найдите расстояние между городами А и В.

Решение 1. №711 (с. 158)
Алгебра, 8 класс Учебник, авторы: Макарычев Юрий Николаевич, Миндюк Нора Григорьевна, Нешков Константин Иванович, Суворова Светлана Борисовна, издательство Просвещение, Москва, 2019 - 2022, белого цвета, страница 158, номер 711, Решение 1
Решение 2. №711 (с. 158)
Алгебра, 8 класс Учебник, авторы: Макарычев Юрий Николаевич, Миндюк Нора Григорьевна, Нешков Константин Иванович, Суворова Светлана Борисовна, издательство Просвещение, Москва, 2019 - 2022, белого цвета, страница 158, номер 711, Решение 2
Решение 3. №711 (с. 158)
Алгебра, 8 класс Учебник, авторы: Макарычев Юрий Николаевич, Миндюк Нора Григорьевна, Нешков Константин Иванович, Суворова Светлана Борисовна, издательство Просвещение, Москва, 2019 - 2022, белого цвета, страница 158, номер 711, Решение 3
Решение 6. №711 (с. 158)
Алгебра, 8 класс Учебник, авторы: Макарычев Юрий Николаевич, Миндюк Нора Григорьевна, Нешков Константин Иванович, Суворова Светлана Борисовна, издательство Просвещение, Москва, 2019 - 2022, белого цвета, страница 158, номер 711, Решение 6
Решение 7. №711 (с. 158)
Алгебра, 8 класс Учебник, авторы: Макарычев Юрий Николаевич, Миндюк Нора Григорьевна, Нешков Константин Иванович, Суворова Светлана Борисовна, издательство Просвещение, Москва, 2019 - 2022, белого цвета, страница 158, номер 711, Решение 7
Решение 8. №711 (с. 158)

Пусть $v$ км/ч — скорость автомобиля, выехавшего из города А. Тогда, согласно условию, скорость автомобиля, выехавшего из города В, равна $(v + 10)$ км/ч.

Согласно первому условию, автомобили выехали одновременно и встретились через 5 часов. За это время они совместно преодолели всё расстояние $S$ между городами. Суммарное расстояние, пройденное обоими автомобилями, равно произведению их скорости сближения на время в пути. Скорость сближения равна $v + (v + 10) = 2v + 10$ км/ч. Таким образом, расстояние между городами можно выразить формулой:

$S = (2v + 10) \cdot 5 = 10v + 50$

Далее рассмотрим второе условие. Если бы автомобиль из А выехал на $4\frac{1}{2} = 4.5$ часа раньше, встреча произошла бы в 150 км от города В. Это означает, что автомобиль, выехавший из В, проехал 150 км. Время, которое он затратил на этот путь, составляет:

$t_B = \frac{150}{v + 10}$ часов.

Автомобиль из А был в пути на 4.5 часа дольше, то есть его время в пути $t_A = t_B + 4.5 = \frac{150}{v + 10} + 4.5$ часов. За это время он проехал расстояние, равное $S - 150$ км. Составим уравнение:

$S - 150 = v \cdot \left(\frac{150}{v + 10} + 4.5\right)$

Теперь у нас есть система из двух уравнений. Подставим выражение для $S$ из первого уравнения ($S = 10v + 50$) во второе:

$(10v + 50) - 150 = v \cdot \left(\frac{150}{v + 10} + 4.5\right)$

$10v - 100 = \frac{150v}{v + 10} + 4.5v$

Приведем подобные слагаемые:

$5.5v - 100 = \frac{150v}{v + 10}$

Умножим обе части уравнения на $(v + 10)$ (скорость $v$ положительна, поэтому $v+10 \ne 0$):

$(5.5v - 100)(v + 10) = 150v$

$5.5v^2 + 55v - 100v - 1000 = 150v$

$5.5v^2 - 45v - 1000 - 150v = 0$

$5.5v^2 - 195v - 1000 = 0$

Для удобства умножим все уравнение на 2, чтобы избавиться от дробного коэффициента:

$11v^2 - 390v - 2000 = 0$

Решим полученное квадратное уравнение через дискриминант $D = b^2 - 4ac$:

$D = (-390)^2 - 4 \cdot 11 \cdot (-2000) = 152100 + 88000 = 240100$

Корень из дискриминанта: $\sqrt{D} = \sqrt{240100} = 490$.

Найдем корни уравнения:

$v_1 = \frac{-(-390) + 490}{2 \cdot 11} = \frac{390 + 490}{22} = \frac{880}{22} = 40$

$v_2 = \frac{-(-390) - 490}{2 \cdot 11} = \frac{390 - 490}{22} = -\frac{100}{22}$

Поскольку скорость не может быть отрицательной, второй корень не является решением задачи. Следовательно, скорость автомобиля из А равна $v = 40$ км/ч.

Зная скорость $v$, найдем искомое расстояние $S$ между городами А и В, используя выведенную ранее формулу:

$S = 10v + 50 = 10 \cdot 40 + 50 = 400 + 50 = 450$ км.

Ответ: 450 км.

Помогло решение? Оставьте отзыв в комментариях ниже.

Присоединяйтесь к Телеграм-группе @top_gdz

Присоединиться

Мы подготовили для вас ответ c подробным объяснением домашего задания по алгебре за 8 класс, для упражнения номер 711 расположенного на странице 158 к учебнику 2019 - 2022 года издания для учащихся школ и гимназий.

Теперь на нашем сайте ГДЗ.ТОП вы всегда легко и бесплатно найдёте условие с правильным ответом на вопрос «Как решить ДЗ» и «Как сделать» задание по алгебре к упражнению №711 (с. 158), авторов: Макарычев (Юрий Николаевич), Миндюк (Нора Григорьевна), Нешков (Константин Иванович), Суворова (Светлана Борисовна), ФГОС (старый) учебного пособия издательства Просвещение.