Номер 883, страница 199 - гдз по алгебре 8 класс учебник Макарычев, Миндюк

Алгебра, 8 класс Учебник, авторы: Макарычев Юрий Николаевич, Миндюк Нора Григорьевна, Нешков Константин Иванович, Суворова Светлана Борисовна, издательство Просвещение, Москва, 2019 - 2022, белого цвета

Авторы: Макарычев Ю. Н., Миндюк Н. Г., Нешков К. И., Суворова С. Б.

Тип: Учебник

Издательство: Просвещение

Год издания: 2019 - 2022

Цвет обложки: белый, голубой, фиолетовый

ISBN: 978-5-09-087569-1

Допущено Министерством просвещения Российской Федерации

Популярные ГДЗ в 8 классе

Глава 4. Неравенства. Параграф 11. Неравенства с одной переменной и их системы. 35. Решение систем неравенств с одной переменной - номер 883, страница 199.

№883 (с. 199)
Условие. №883 (с. 199)
скриншот условия
Алгебра, 8 класс Учебник, авторы: Макарычев Юрий Николаевич, Миндюк Нора Григорьевна, Нешков Константин Иванович, Суворова Светлана Борисовна, издательство Просвещение, Москва, 2019 - 2022, белого цвета, страница 199, номер 883, Условие

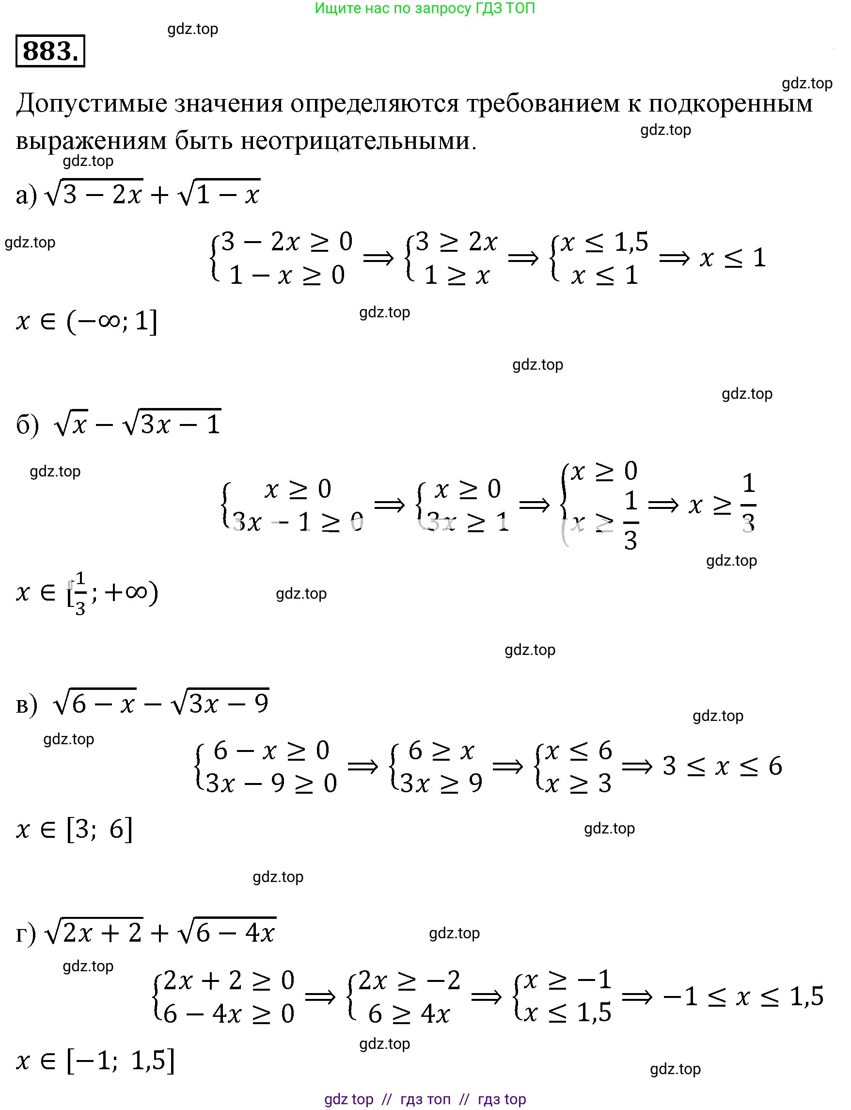
883. Укажите допустимые значения переменной:

а) $\sqrt{3-2x} + \sqrt{1-x}$;

б) $\sqrt{x} - \sqrt{3x-1}$;

в) $\sqrt{6-x} - \sqrt{3x-9}$;

г) $\sqrt{2x+2} + \sqrt{6-4x}$.

Решение 1. №883 (с. 199)
Алгебра, 8 класс Учебник, авторы: Макарычев Юрий Николаевич, Миндюк Нора Григорьевна, Нешков Константин Иванович, Суворова Светлана Борисовна, издательство Просвещение, Москва, 2019 - 2022, белого цвета, страница 199, номер 883, Решение 1
Алгебра, 8 класс Учебник, авторы: Макарычев Юрий Николаевич, Миндюк Нора Григорьевна, Нешков Константин Иванович, Суворова Светлана Борисовна, издательство Просвещение, Москва, 2019 - 2022, белого цвета, страница 199, номер 883, Решение 1 (продолжение 2)
Решение 2. №883 (с. 199)
Алгебра, 8 класс Учебник, авторы: Макарычев Юрий Николаевич, Миндюк Нора Григорьевна, Нешков Константин Иванович, Суворова Светлана Борисовна, издательство Просвещение, Москва, 2019 - 2022, белого цвета, страница 199, номер 883, Решение 2
Решение 3. №883 (с. 199)
Алгебра, 8 класс Учебник, авторы: Макарычев Юрий Николаевич, Миндюк Нора Григорьевна, Нешков Константин Иванович, Суворова Светлана Борисовна, издательство Просвещение, Москва, 2019 - 2022, белого цвета, страница 199, номер 883, Решение 3
Решение 4. №883 (с. 199)
Алгебра, 8 класс Учебник, авторы: Макарычев Юрий Николаевич, Миндюк Нора Григорьевна, Нешков Константин Иванович, Суворова Светлана Борисовна, издательство Просвещение, Москва, 2019 - 2022, белого цвета, страница 199, номер 883, Решение 4
Решение 6. №883 (с. 199)
Алгебра, 8 класс Учебник, авторы: Макарычев Юрий Николаевич, Миндюк Нора Григорьевна, Нешков Константин Иванович, Суворова Светлана Борисовна, издательство Просвещение, Москва, 2019 - 2022, белого цвета, страница 199, номер 883, Решение 6
Решение 7. №883 (с. 199)
Алгебра, 8 класс Учебник, авторы: Макарычев Юрий Николаевич, Миндюк Нора Григорьевна, Нешков Константин Иванович, Суворова Светлана Борисовна, издательство Просвещение, Москва, 2019 - 2022, белого цвета, страница 199, номер 883, Решение 7
Решение 8. №883 (с. 199)

а)

Область допустимых значений переменной для выражения $\sqrt{3-2x} + \sqrt{1-x}$ находится из условия, что оба подкоренных выражения должны быть неотрицательными. Это приводит к системе неравенств:

$$\begin{cases} 3 - 2x \ge 0 \\ 1 - x \ge 0\end{cases}$$

Решим первое неравенство:
$3 - 2x \ge 0$
$-2x \ge -3$
$x \le \frac{3}{2}$

Решим второе неравенство:
$1 - x \ge 0$
$-x \ge -1$
$x \le 1$

Пересечением множеств решений $x \le \frac{3}{2}$ и $x \le 1$ является множество значений $x \le 1$.

Ответ: $x \le 1$.

б)

Область допустимых значений переменной для выражения $\sqrt{x} - \sqrt{3x-1}$ находится из условия, что оба подкоренных выражения должны быть неотрицательными. Это приводит к системе неравенств:

$$\begin{cases} x \ge 0 \\ 3x - 1 \ge 0\end{cases}$$

Первое неравенство $x \ge 0$ уже решено.

Решим второе неравенство:
$3x - 1 \ge 0$
$3x \ge 1$
$x \ge \frac{1}{3}$

Пересечением множеств решений $x \ge 0$ и $x \ge \frac{1}{3}$ является множество значений $x \ge \frac{1}{3}$.

Ответ: $x \ge \frac{1}{3}$.

в)

Область допустимых значений переменной для выражения $\sqrt{6-x} - \sqrt{3x-9}$ находится из условия, что оба подкоренных выражения должны быть неотрицательными. Это приводит к системе неравенств:

$$\begin{cases} 6 - x \ge 0 \\ 3x - 9 \ge 0\end{cases}$$

Решим первое неравенство:
$6 - x \ge 0$
$-x \ge -6$
$x \le 6$

Решим второе неравенство:
$3x - 9 \ge 0$
$3x \ge 9$
$x \ge 3$

Пересечением множеств решений $x \le 6$ и $x \ge 3$ является множество значений $3 \le x \le 6$.

Ответ: $3 \le x \le 6$.

г)

Область допустимых значений переменной для выражения $\sqrt{2x+2} + \sqrt{6-4x}$ находится из условия, что оба подкоренных выражения должны быть неотрицательными. Это приводит к системе неравенств:

$$\begin{cases} 2x + 2 \ge 0 \\ 6 - 4x \ge 0\end{cases}$$

Решим первое неравенство:
$2x + 2 \ge 0$
$2x \ge -2$
$x \ge -1$

Решим второе неравенство:
$6 - 4x \ge 0$
$-4x \ge -6$
$x \le \frac{6}{4}$
$x \le \frac{3}{2}$

Пересечением множеств решений $x \ge -1$ и $x \le \frac{3}{2}$ является множество значений $-1 \le x \le \frac{3}{2}$.

Ответ: $-1 \le x \le \frac{3}{2}$.

Помогло решение? Оставьте отзыв в комментариях ниже.

Присоединяйтесь к Телеграм-группе @top_gdz

Присоединиться

Мы подготовили для вас ответ c подробным объяснением домашего задания по алгебре за 8 класс, для упражнения номер 883 расположенного на странице 199 к учебнику 2019 - 2022 года издания для учащихся школ и гимназий.

Теперь на нашем сайте ГДЗ.ТОП вы всегда легко и бесплатно найдёте условие с правильным ответом на вопрос «Как решить ДЗ» и «Как сделать» задание по алгебре к упражнению №883 (с. 199), авторов: Макарычев (Юрий Николаевич), Миндюк (Нора Григорьевна), Нешков (Константин Иванович), Суворова (Светлана Борисовна), ФГОС (старый) учебного пособия издательства Просвещение.