Номер 134, страница 61 - гдз по геометрии 8 класс учебник Казаков, Казакова

Геометрия, 8 класс Учебник, авторы: Казаков Валерий Владимирович, Казакова Ольга Олеговна, издательство Адукацыя i выхаванне, Минск, 2024, оранжевого цвета

Авторы: Казаков В. В., Казакова О. О.

Тип: Учебник

Издательство: Адукацыя i выхаванне

Год издания: 2024 - 2026

Цвет обложки: оранжевый

Допущено Министерством образования Республики Беларусь

Популярные ГДЗ в 8 классе

Глава 1. Четырехугольники. Параграф 10. Трапеция. Средняя линия трапеции - номер 134, страница 61.

№134 (с. 61)
Условие. №134 (с. 61)
скриншот условия
Геометрия, 8 класс Учебник, авторы: Казаков Валерий Владимирович, Казакова Ольга Олеговна, издательство Адукацыя i выхаванне, Минск, 2024, оранжевого цвета, страница 61, номер 134, Условие

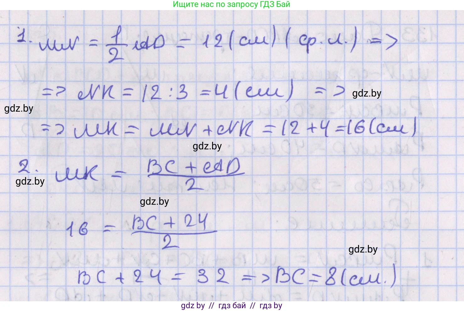
134. Диагональ BD трапеции ABCD с основаниями AD и BC, где $BC < AD$, пересекает ее среднюю линию MK в точке N, $MN : NK = 3 : 1$, $AD = 24$ см. Найдите BC.

Решение. №134 (с. 61)
Геометрия, 8 класс Учебник, авторы: Казаков Валерий Владимирович, Казакова Ольга Олеговна, издательство Адукацыя i выхаванне, Минск, 2024, оранжевого цвета, страница 61, номер 134, Решение
Решение 2. №134 (с. 61)
Геометрия, 8 класс Учебник, авторы: Казаков Валерий Владимирович, Казакова Ольга Олеговна, издательство Адукацыя i выхаванне, Минск, 2024, оранжевого цвета, страница 61, номер 134, Решение 2 Геометрия, 8 класс Учебник, авторы: Казаков Валерий Владимирович, Казакова Ольга Олеговна, издательство Адукацыя i выхаванне, Минск, 2024, оранжевого цвета, страница 61, номер 134, Решение 2 (продолжение 2)
Решение 3. №134 (с. 61)

Рассмотрим трапецию $ABCD$ с основаниями $AD$ и $BC$ и средней линией $MK$. По определению, средняя линия трапеции соединяет середины боковых сторон, то есть точка $M$ — середина $AB$, а точка $K$ — середина $CD$. Средняя линия параллельна основаниям трапеции: $MK \parallel AD$ и $MK \parallel BC$.

1. Рассмотрим треугольник $ABD$.

Отрезок $MN$ является частью средней линии $MK$, следовательно, $MN \parallel AD$. Точка $M$ является серединой стороны $AB$. По теореме о средней линии треугольника (или по теореме Фалеса), если отрезок проходит через середину одной стороны треугольника и параллелен второй стороне, то он является средней линией этого треугольника. Следовательно, $MN$ — средняя линия треугольника $ABD$.

Это означает, что точка $N$ является серединой диагонали $BD$. Длина средней линии треугольника равна половине длины основания, которому она параллельна: $MN = \frac{1}{2} AD$

2. Рассмотрим треугольник $BCD$.

Отрезок $NK$ является частью средней линии $MK$, следовательно, $NK \parallel BC$. Мы уже установили, что точка $N$ — середина стороны $BD$. Точка $K$ — середина стороны $CD$ (по определению средней линии трапеции). Следовательно, отрезок $NK$ соединяет середины двух сторон треугольника $BCD$ и является его средней линией.

Длина средней линии $NK$ равна половине длины основания $BC$: $NK = \frac{1}{2} BC$

3. Найдем длину $BC$.

По условию задачи дано соотношение $MN : NK = 3 : 1$. Это можно записать в виде дроби: $\frac{MN}{NK} = \frac{3}{1} = 3$

Подставим в это соотношение выражения для $MN$ и $NK$, которые мы нашли ранее: $\frac{\frac{1}{2} AD}{\frac{1}{2} BC} = 3$

Сократив $\frac{1}{2}$ в числителе и знаменателе, получаем: $\frac{AD}{BC} = 3$

Отсюда можно выразить $BC$: $BC = \frac{AD}{3}$

По условию $AD = 24$ см. Подставим это значение в формулу: $BC = \frac{24}{3} = 8$ см.

Ответ: 8 см.

Помогло решение? Оставьте отзыв в комментариях ниже.

Присоединяйтесь к Телеграм-группе @gdz_by_belarus

Присоединиться

Мы подготовили для вас ответ c подробным объяснением домашего задания по геометрии за 8 класс, для упражнения номер 134 расположенного на странице 61 к учебнику 2024 года издания для учащихся школ и гимназий.

Теперь на нашем сайте ГДЗ.ТОП вы всегда легко и бесплатно найдёте условие с правильным ответом на вопрос «Как решить ДЗ» и «Как сделать» задание по геометрии к упражнению №134 (с. 61), авторов: Казаков (Валерий Владимирович), Казакова (Ольга Олеговна), учебного пособия издательства Адукацыя i выхаванне.