Номер 187, страница 91 - гдз по геометрии 8 класс учебник Казаков, Казакова

Геометрия, 8 класс Учебник, авторы: Казаков Валерий Владимирович, Казакова Ольга Олеговна, издательство Адукацыя i выхаванне, Минск, 2024, оранжевого цвета

Авторы: Казаков В. В., Казакова О. О.

Тип: Учебник

Издательство: Адукацыя i выхаванне

Год издания: 2024 - 2026

Цвет обложки: оранжевый

Допущено Министерством образования Республики Беларусь

Популярные ГДЗ в 8 классе

Глава 2. Площади многоугольников. Параграф 15. Площадь треугольника, прямоугольного треугольника, ромба - номер 187, страница 91.

№187 (с. 91)
Условие. №187 (с. 91)
скриншот условия
Геометрия, 8 класс Учебник, авторы: Казаков Валерий Владимирович, Казакова Ольга Олеговна, издательство Адукацыя i выхаванне, Минск, 2024, оранжевого цвета, страница 91, номер 187, Условие

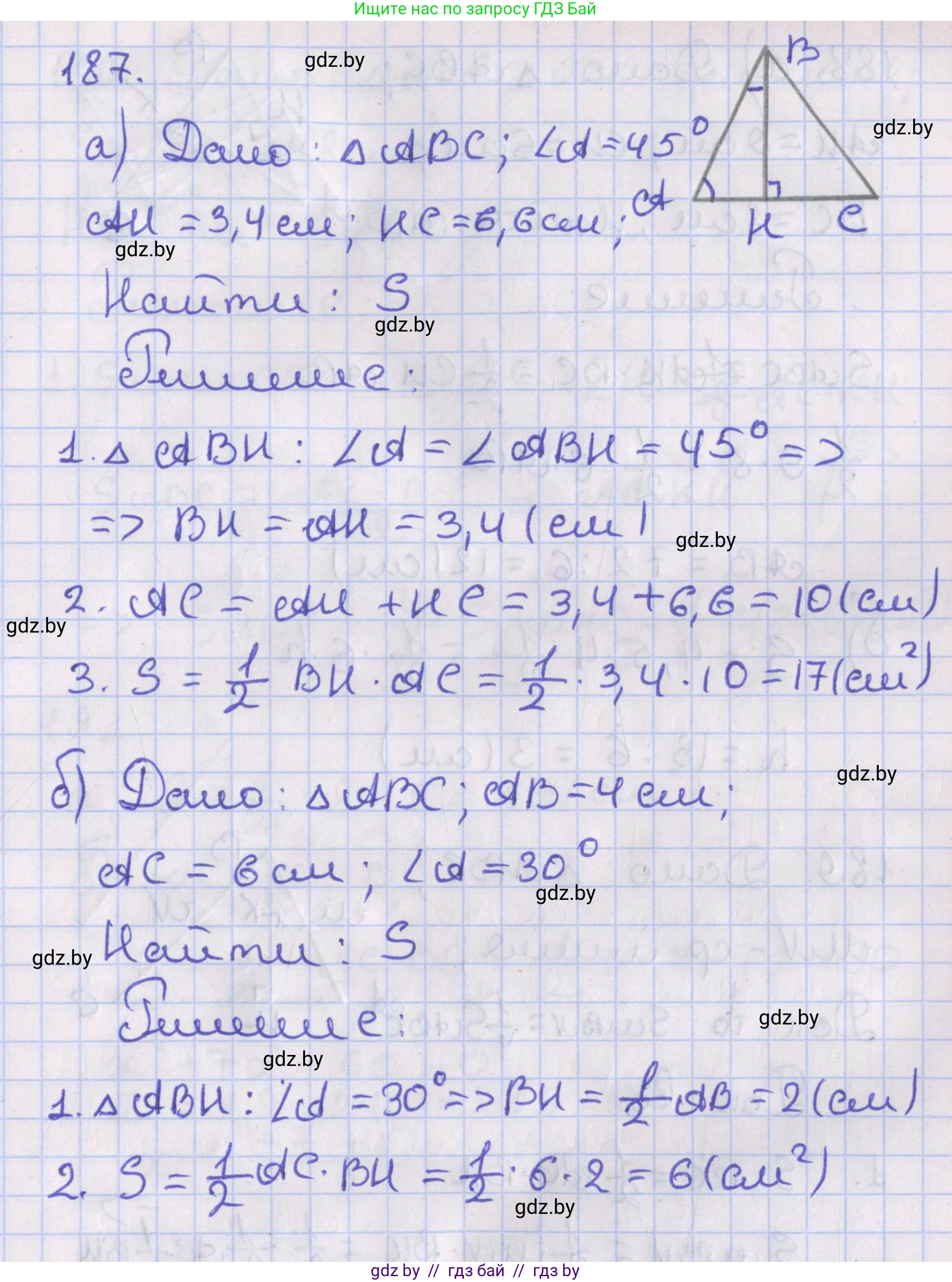
187. Найти площадь треугольника $ABC$, если:

a) его высота $BH$ делит основание $AC$ на отрезки $AH = 3,4$ см, $HC = 6,6$ см, $\angle A = 45^\circ$;

б) $AB = 4$ см, $AC = 6$ см, $\angle A = 30^\circ$.

Решение. №187 (с. 91)
Геометрия, 8 класс Учебник, авторы: Казаков Валерий Владимирович, Казакова Ольга Олеговна, издательство Адукацыя i выхаванне, Минск, 2024, оранжевого цвета, страница 91, номер 187, Решение
Решение 2. №187 (с. 91)
Геометрия, 8 класс Учебник, авторы: Казаков Валерий Владимирович, Казакова Ольга Олеговна, издательство Адукацыя i выхаванне, Минск, 2024, оранжевого цвета, страница 91, номер 187, Решение 2
Решение 3. №187 (с. 91)

а)

Площадь треугольника вычисляется по формуле $S = \frac{1}{2} \cdot a \cdot h$, где $a$ – основание треугольника, а $h$ – высота, проведенная к этому основанию. В данном случае в качестве основания возьмем сторону $AC$, а в качестве высоты – $BH$.

1. Найдем длину основания $AC$. По условию, высота $BH$ делит основание $AC$ на два отрезка: $AH = 3,4$ см и $HC = 6,6$ см.
Длина всего основания равна сумме длин этих отрезков:
$AC = AH + HC = 3,4 + 6,6 = 10$ см.

2. Найдем длину высоты $BH$. Рассмотрим треугольник $ABH$. Так как $BH$ является высотой, то $\angle BHA = 90^\circ$. Таким образом, треугольник $ABH$ – прямоугольный.
По условию, $\angle A = 45^\circ$. Сумма острых углов в прямоугольном треугольнике равна $90^\circ$, значит $\angle ABH = 90^\circ - \angle A = 90^\circ - 45^\circ = 45^\circ$.
Поскольку углы при гипотенузе $AB$ равны ($\angle A = \angle ABH$), треугольник $ABH$ является равнобедренным, и его катеты равны: $BH = AH$.
Так как $AH = 3,4$ см, то и $BH = 3,4$ см.

3. Вычислим площадь треугольника $ABC$.
$S_{ABC} = \frac{1}{2} \cdot AC \cdot BH = \frac{1}{2} \cdot 10 \cdot 3,4 = 5 \cdot 3,4 = 17$ см$^2$.

Ответ: $17$ см$^2$.

б)

Для нахождения площади треугольника можно использовать формулу, включающую две стороны и угол между ними: $S = \frac{1}{2}ab \sin \gamma$, где $a$ и $b$ – стороны треугольника, а $\gamma$ – угол между ними.

По условию нам даны стороны $AB = 4$ см, $AC = 6$ см и угол между ними $\angle A = 30^\circ$.

Подставим эти значения в формулу:

$S_{ABC} = \frac{1}{2} \cdot AB \cdot AC \cdot \sin(\angle A)$
$S_{ABC} = \frac{1}{2} \cdot 4 \cdot 6 \cdot \sin(30^\circ)$

Значение синуса $30^\circ$ равно $\frac{1}{2}$.

Проведем вычисления:
$S_{ABC} = \frac{1}{2} \cdot 4 \cdot 6 \cdot \frac{1}{2} = \frac{4 \cdot 6}{4} = 6$ см$^2$.

Ответ: $6$ см$^2$.

Помогло решение? Оставьте отзыв в комментариях ниже.

Присоединяйтесь к Телеграм-группе @gdz_by_belarus

Присоединиться

Мы подготовили для вас ответ c подробным объяснением домашего задания по геометрии за 8 класс, для упражнения номер 187 расположенного на странице 91 к учебнику 2024 года издания для учащихся школ и гимназий.

Теперь на нашем сайте ГДЗ.ТОП вы всегда легко и бесплатно найдёте условие с правильным ответом на вопрос «Как решить ДЗ» и «Как сделать» задание по геометрии к упражнению №187 (с. 91), авторов: Казаков (Валерий Владимирович), Казакова (Ольга Олеговна), учебного пособия издательства Адукацыя i выхаванне.