Номер 264, страница 126 - гдз по геометрии 8 класс учебник Казаков, Казакова

Геометрия, 8 класс Учебник, авторы: Казаков Валерий Владимирович, Казакова Ольга Олеговна, издательство Адукацыя i выхаванне, Минск, 2024, оранжевого цвета

Авторы: Казаков В. В., Казакова О. О.

Тип: Учебник

Издательство: Адукацыя i выхаванне

Год издания: 2024 - 2026

Цвет обложки: оранжевый

Допущено Министерством образования Республики Беларусь

Популярные ГДЗ в 8 классе

Глава 3. Подобие треугольников. Параграф 19. Обобщенная теорема Фалеса - номер 264, страница 126.

№264 (с. 126)
Условие. №264 (с. 126)
скриншот условия
Геометрия, 8 класс Учебник, авторы: Казаков Валерий Владимирович, Казакова Ольга Олеговна, издательство Адукацыя i выхаванне, Минск, 2024, оранжевого цвета, страница 126, номер 264, Условие Геометрия, 8 класс Учебник, авторы: Казаков Валерий Владимирович, Казакова Ольга Олеговна, издательство Адукацыя i выхаванне, Минск, 2024, оранжевого цвета, страница 126, номер 264, Условие (продолжение 2)

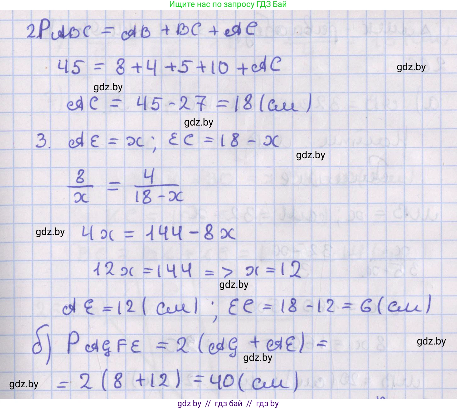
264. На рисунке 248 $AGFE$ — параллелограмм, $GB = 4$ см, $BF = 5$ см, $FC = 10$ см. Периметр треугольника $ABC$ равен 45 см. Найдите:

а) отрезки $AG$, $AC$, $AE$;

б) периметр параллелограмма $AGFE$.

Рис. 248

Решение. №264 (с. 126)
Геометрия, 8 класс Учебник, авторы: Казаков Валерий Владимирович, Казакова Ольга Олеговна, издательство Адукацыя i выхаванне, Минск, 2024, оранжевого цвета, страница 126, номер 264, Решение
Решение 2. №264 (с. 126)
Геометрия, 8 класс Учебник, авторы: Казаков Валерий Владимирович, Казакова Ольга Олеговна, издательство Адукацыя i выхаванне, Минск, 2024, оранжевого цвета, страница 126, номер 264, Решение 2 Геометрия, 8 класс Учебник, авторы: Казаков Валерий Владимирович, Казакова Ольга Олеговна, издательство Адукацыя i выхаванне, Минск, 2024, оранжевого цвета, страница 126, номер 264, Решение 2 (продолжение 2)
Решение 3. №264 (с. 126)

а) отрезки AG, AC, AE;

Поскольку по условию AGFE — параллелограмм, его противолежащие стороны параллельны. В частности, сторона $GF \parallel AE$. Так как точка E лежит на отрезке AC, то прямая AE является частью прямой AC, следовательно, $GF \parallel AC$.

Рассмотрим треугольник ABC. Прямая GF, параллельная стороне AC, отсекает от него подобный треугольник GBF. Таким образом, $△GBF \sim △ABC$.

Из подобия треугольников следует, что их стороны пропорциональны:

$\frac{GB}{AB} = \frac{BF}{BC} = \frac{GF}{AC}$

Найдем длину стороны BC, которая состоит из отрезков BF и FC:

$BC = BF + FC = 5 \text{ см} + 10 \text{ см} = 15 \text{ см}$.

Теперь найдем длину отрезка AG. Воспользуемся соотношением $\frac{GB}{AB} = \frac{BF}{BC}$. Длина стороны AB равна сумме длин отрезков AG и GB. Пусть $AG = x$ см, тогда $AB = x + GB = x + 4$ см. Подставим известные значения в пропорцию:

$\frac{4}{x + 4} = \frac{5}{15}$

Сократим дробь в правой части:

$\frac{4}{x + 4} = \frac{1}{3}$

По основному свойству пропорции (произведение крайних членов равно произведению средних) имеем:

$4 \cdot 3 = 1 \cdot (x + 4)$

$12 = x + 4$

$x = 12 - 4 = 8$

Следовательно, $AG = 8$ см. Теперь мы можем найти полную длину стороны AB: $AB = AG + GB = 8 + 4 = 12$ см.

Далее найдем длину стороны AC. Периметр треугольника ABC известен и равен 45 см. Периметр — это сумма длин всех его сторон $P_{ABC} = AB + BC + AC$.

$45 = 12 + 15 + AC$

$45 = 27 + AC$

$AC = 45 - 27 = 18$ см.

Осталось найти длину отрезка AE. В параллелограмме AGFE противолежащие стороны равны, поэтому $AE = GF$. Длину GF найдем из той же пропорции подобия треугольников:

$\frac{GF}{AC} = \frac{BF}{BC}$

$\frac{GF}{18} = \frac{5}{15}$

$\frac{GF}{18} = \frac{1}{3}$

$GF = \frac{18}{3} = 6$ см.

Таким образом, $AE = 6$ см.

Ответ: $AG = 8$ см, $AC = 18$ см, $AE = 6$ см.

б) периметр параллелограмма AGFE.

Периметр параллелограмма вычисляется как удвоенная сумма длин его смежных сторон. Для параллелограмма AGFE смежными сторонами являются AG и AE (или GF).

Из пункта а) мы знаем их длины:

$AG = 8$ см

$AE = 6$ см

Вычислим периметр $P_{AGFE}$:

$P_{AGFE} = 2 \cdot (AG + AE) = 2 \cdot (8 + 6) = 2 \cdot 14 = 28$ см.

Ответ: $28$ см.

Помогло решение? Оставьте отзыв в комментариях ниже.

Присоединяйтесь к Телеграм-группе @gdz_by_belarus

Присоединиться

Мы подготовили для вас ответ c подробным объяснением домашего задания по геометрии за 8 класс, для упражнения номер 264 расположенного на странице 126 к учебнику 2024 года издания для учащихся школ и гимназий.

Теперь на нашем сайте ГДЗ.ТОП вы всегда легко и бесплатно найдёте условие с правильным ответом на вопрос «Как решить ДЗ» и «Как сделать» задание по геометрии к упражнению №264 (с. 126), авторов: Казаков (Валерий Владимирович), Казакова (Ольга Олеговна), учебного пособия издательства Адукацыя i выхаванне.