Номер 4, страница 158 - гдз по геометрии 8 класс учебник Казаков, Казакова

Геометрия, 8 класс Учебник, авторы: Казаков Валерий Владимирович, Казакова Ольга Олеговна, издательство Адукацыя i выхаванне, Минск, 2024, оранжевого цвета

Авторы: Казаков В. В., Казакова О. О.

Тип: Учебник

Издательство: Адукацыя i выхаванне

Год издания: 2024 - 2026

Цвет обложки: оранжевый

Допущено Министерством образования Республики Беларусь

Популярные ГДЗ в 8 классе

Глава 3. Подобие треугольников. Подготовка к контрольной работе 3 - номер 4, страница 158.

№4 (с. 158)
Условие. №4 (с. 158)
скриншот условия
Геометрия, 8 класс Учебник, авторы: Казаков Валерий Владимирович, Казакова Ольга Олеговна, издательство Адукацыя i выхаванне, Минск, 2024, оранжевого цвета, страница 158, номер 4, Условие

4. Найдите $S_{AMK}$.

а) B

K

8

C

4 M

12

A

б) M

B

9

A

4 K

8 C

в) M

C

$\frac{4\sqrt{5}}{5}$

A

2 K

2 B

Решение. №4 (с. 158)
Геометрия, 8 класс Учебник, авторы: Казаков Валерий Владимирович, Казакова Ольга Олеговна, издательство Адукацыя i выхаванне, Минск, 2024, оранжевого цвета, страница 158, номер 4, Решение Геометрия, 8 класс Учебник, авторы: Казаков Валерий Владимирович, Казакова Ольга Олеговна, издательство Адукацыя i выхаванне, Минск, 2024, оранжевого цвета, страница 158, номер 4, Решение (продолжение 2)
Решение 2. №4 (с. 158)
Геометрия, 8 класс Учебник, авторы: Казаков Валерий Владимирович, Казакова Ольга Олеговна, издательство Адукацыя i выхаванне, Минск, 2024, оранжевого цвета, страница 158, номер 4, Решение 2
Решение 3. №4 (с. 158)

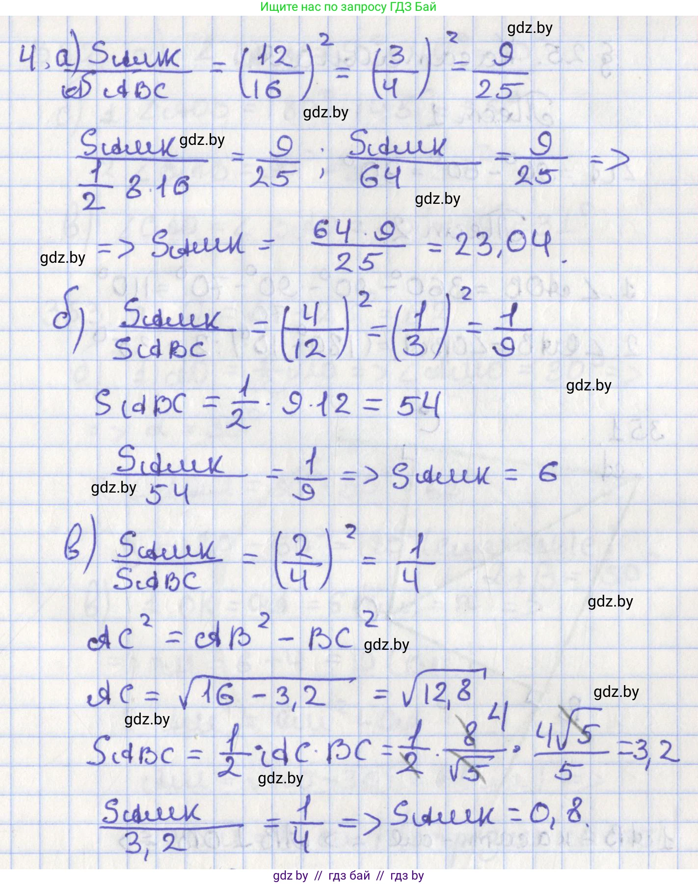
а)

Рассмотрим прямоугольный треугольник $ABC$ ( $\angle C = 90^\circ$ ). По условию, катет $BC = 8$, а катет $AC$ состоит из двух отрезков $CM=4$ и $MA=12$, следовательно, $AC = CM + MA = 4 + 12 = 16$.

На чертеже показано, что отрезок $MK$ перпендикулярен стороне $AC$. Так как катет $BC$ также перпендикулярен $AC$, то прямые $MK$ и $BC$ параллельны ( $MK \parallel BC$ ).

Поскольку $MK \parallel BC$, то треугольник $AMK$ подобен треугольнику $ACB$ по двум углам ( $\angle A$ — общий, а $\angle AMK = \angle ACB = 90^\circ$ как соответственные углы при параллельных прямых $MK$ и $BC$ и секущей $AC$).

Из подобия треугольников следует пропорциональность их сторон:

$\frac{AM}{AC} = \frac{MK}{BC}$

Подставим известные значения в пропорцию:

$\frac{12}{16} = \frac{MK}{8}$

Отсюда найдем длину отрезка $MK$:

$MK = 8 \cdot \frac{12}{16} = 8 \cdot \frac{3}{4} = 6$

Площадь треугольника $AMK$ можно найти по формуле площади прямоугольного треугольника, где $AM$ и $MK$ являются катетами:

$S_{AMK} = \frac{1}{2} \cdot AM \cdot MK = \frac{1}{2} \cdot 12 \cdot 6 = 36$

Ответ: 36

б)

Рассмотрим прямоугольный треугольник $ABC$ с прямым углом $C$. Катет $BC = 9$. Катет $AC$ состоит из отрезков $AK=4$ и $KC=8$, поэтому $AC = AK + KC = 4 + 8 = 12$.

Отрезок $MK$ перпендикулярен $AC$, так же как и $BC$ перпендикулярен $AC$. Это означает, что $MK \parallel BC$.

Вследствие параллельности прямых, треугольник $AKM$ подобен треугольнику $ACB$ ( $\angle A$ — общий, $\angle AKM = \angle ACB = 90^\circ$ ).

Запишем соотношение соответственных сторон подобных треугольников:

$\frac{AK}{AC} = \frac{MK}{BC}$

Подставим известные значения:

$\frac{4}{12} = \frac{MK}{9}$

Выразим и вычислим $MK$:

$MK = 9 \cdot \frac{4}{12} = 9 \cdot \frac{1}{3} = 3$

Треугольник $AMK$ имеет основание $AK$ и высоту $MK$. Его площадь равна:

$S_{AMK} = \frac{1}{2} \cdot AK \cdot MK = \frac{1}{2} \cdot 4 \cdot 3 = 6$

Ответ: 6

в)

Дан прямоугольный треугольник $ABC$ ( $\angle C = 90^\circ$ ). Его гипотенуза $AB$ равна сумме отрезков $AK$ и $KB$: $AB = 2 + 2 = 4$. Длина катета $BC = \frac{4\sqrt{5}}{5}$.

Требуется найти площадь треугольника $AMK$. Из чертежа видно, что $MK \perp AB$, следовательно, треугольник $AMK$ является прямоугольным с прямым углом $K$. Его площадь вычисляется по формуле $S_{AMK} = \frac{1}{2} \cdot AK \cdot MK$. Мы знаем $AK=2$, осталось найти $MK$.

Рассмотрим два прямоугольных треугольника: $\triangle ABC$ (с прямым углом $C$) и $\triangle AMK$ (с прямым углом $K$). У них есть общий острый угол $\angle A$. Следовательно, треугольники $\triangle AMK$ и $\triangle ABC$ подобны по острому углу. Соответствие вершин: $A \leftrightarrow A$, $K \leftrightarrow C$, $M \leftrightarrow B$, то есть $\triangle AKM \sim \triangle ACB$.

Для нахождения $MK$ можно использовать тригонометрические функции угла $A$.

В треугольнике $\triangle ABC$ найдем катет $AC$ по теореме Пифагора:

$AC = \sqrt{AB^2 - BC^2} = \sqrt{4^2 - \left(\frac{4\sqrt{5}}{5}\right)^2} = \sqrt{16 - \frac{16 \cdot 5}{25}} = \sqrt{16 - \frac{16}{5}} = \sqrt{\frac{80 - 16}{5}} = \sqrt{\frac{64}{5}} = \frac{8}{\sqrt{5}} = \frac{8\sqrt{5}}{5}$

Теперь найдем тангенс угла $A$ из треугольника $\triangle ABC$:

$\tan A = \frac{BC}{AC} = \frac{4\sqrt{5}/5}{8\sqrt{5}/5} = \frac{4}{8} = \frac{1}{2}$

Теперь рассмотрим прямоугольный треугольник $\triangle AMK$. В нем тангенс угла $A$ равен отношению противолежащего катета $MK$ к прилежащему катету $AK$:

$\tan A = \frac{MK}{AK}$

Подставим известные значения:

$\frac{1}{2} = \frac{MK}{2}$

Отсюда находим $MK = 1$.

Теперь мы можем вычислить площадь треугольника $AMK$:

$S_{AMK} = \frac{1}{2} \cdot AK \cdot MK = \frac{1}{2} \cdot 2 \cdot 1 = 1$

Ответ: 1

Помогло решение? Оставьте отзыв в комментариях ниже.

Присоединяйтесь к Телеграм-группе @gdz_by_belarus

Присоединиться

Мы подготовили для вас ответ c подробным объяснением домашего задания по геометрии за 8 класс, для упражнения номер 4 расположенного на странице 158 к учебнику 2024 года издания для учащихся школ и гимназий.

Теперь на нашем сайте ГДЗ.ТОП вы всегда легко и бесплатно найдёте условие с правильным ответом на вопрос «Как решить ДЗ» и «Как сделать» задание по геометрии к упражнению №4 (с. 158), авторов: Казаков (Валерий Владимирович), Казакова (Ольга Олеговна), учебного пособия издательства Адукацыя i выхаванне.