Номер 1, страница 4 - гдз по алгебре 9 класс учебник Арефьева, Пирютко

Алгебра, 9 класс Учебник, авторы: Арефьева Ирина Глебовна, Пирютко Ольга Николаевна, издательство Народная асвета, Минск, 2019, голубого цвета

Авторы: Арефьева И. Г., Пирютко О. Н.

Тип: Учебник

Издательство: Народная асвета

Год издания: 2019 - 2026

Цвет обложки: голубой, синий с графиком

ISBN: 978-985-03-3077-2

Допущено Министерством образования Республики Беларусь

Популярные ГДЗ в 9 классе

Повторение курса алгебры 7—8-х классов - номер 1, страница 4.

№1 (с. 4)
Условие. №1 (с. 4)
скриншот условия
Алгебра, 9 класс Учебник, авторы: Арефьева Ирина Глебовна, Пирютко Ольга Николаевна, издательство Народная асвета, Минск, 2019, голубого цвета, страница 4, номер 1, Условие

1. Пользуясь свойствами степени с целым показателем, вычислите:

а) $3^{-2} \cdot 3^5$;

б) $7^{-8} \cdot 7^8$;

в) $12^8 : 12^6$;

г) $5^{-9} : 5^{-7}$;

д) $(3^2)^2$;

е) $(0,1^3)^{-1}$;

ж) $18^5 \cdot (\frac{1}{9})^5$;

з) $\frac{38^4}{19^4}$;

и) $(\frac{1}{2})^{-2} \cdot 0,2^{-2}$;

к) $0,7^{-3} : 1,4^{-3}$.

1) $a^m \cdot a^n = a^{m+n}$;

2) $a^m : a^n = a^{m-n}, a \neq 0$;

3) $(a^m)^n = a^{mn}$;

4) $a^n \cdot b^n = (ab)^n$;

5) $\frac{a^n}{b^n} = (\frac{a}{b})^n, b \neq 0$;

6) $a^{-n} = \frac{1}{a^n}, a \neq 0$.

Если $a \neq 0$, то $a^0 = 1$.

Решение. №1 (с. 4)
Алгебра, 9 класс Учебник, авторы: Арефьева Ирина Глебовна, Пирютко Ольга Николаевна, издательство Народная асвета, Минск, 2019, голубого цвета, страница 4, номер 1, Решение
Решение 2. №1 (с. 4)

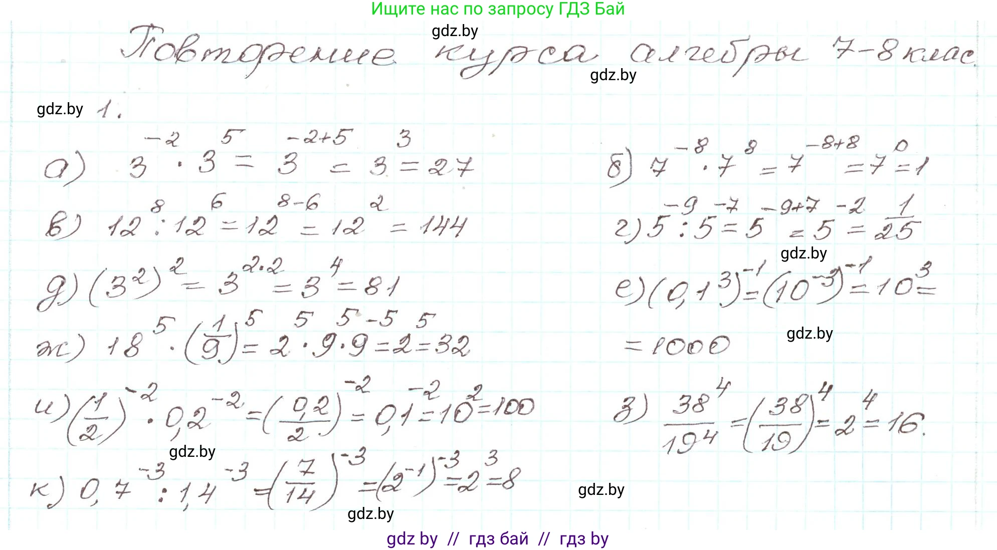
а) $3^{-2} \cdot 3^5$

При умножении степеней с одинаковым основанием их показатели складываются (согласно свойству 1: $a^m \cdot a^n = a^{m+n}$):

$3^{-2} \cdot 3^5 = 3^{-2+5} = 3^3$

Вычисляем значение:

$3^3 = 27$

Ответ: 27


б) $7^{-8} \cdot 7^8$

Используем то же свойство (свойство 1: $a^m \cdot a^n = a^{m+n}$):

$7^{-8} \cdot 7^8 = 7^{-8+8} = 7^0$

Любое ненулевое число в степени 0 равно 1 (согласно свойству $a^0=1$):

$7^0 = 1$

Ответ: 1


в) $12^8 : 12^6$

При делении степеней с одинаковым основанием их показатели вычитаются (согласно свойству 2: $a^m : a^n = a^{m-n}$):

$12^8 : 12^6 = 12^{8-6} = 12^2$

Вычисляем значение:

$12^2 = 144$

Ответ: 144


г) $5^{-9} : 5^{-7}$

Используем свойство деления степеней (свойство 2: $a^m : a^n = a^{m-n}$):

$5^{-9} : 5^{-7} = 5^{-9 - (-7)} = 5^{-9+7} = 5^{-2}$

Используем свойство отрицательной степени (свойство 6: $a^{-n} = \frac{1}{a^n}$):

$5^{-2} = \frac{1}{5^2} = \frac{1}{25}$

Ответ: $\frac{1}{25}$


д) $(3^2)^2$

При возведении степени в степень показатели перемножаются (согласно свойству 3: $(a^m)^n = a^{mn}$):

$(3^2)^2 = 3^{2 \cdot 2} = 3^4$

Вычисляем значение:

$3^4 = 81$

Ответ: 81


е) $(0,1^3)^{-1}$

Используем свойство возведения степени в степень (свойство 3: $(a^m)^n = a^{mn}$):

$(0,1^3)^{-1} = 0,1^{3 \cdot (-1)} = 0,1^{-3}$

Используем свойство отрицательной степени: $a^{-n} = \frac{1}{a^n}$. Представим 0,1 как $\frac{1}{10}$:

$0,1^{-3} = (\frac{1}{10})^{-3} = (\frac{10}{1})^3 = 10^3 = 1000$

Ответ: 1000


ж) $18^5 \cdot (\frac{1}{9})^5$

При умножении степеней с одинаковым показателем их основания перемножаются (согласно свойству 4: $a^n \cdot b^n = (ab)^n$):

$18^5 \cdot (\frac{1}{9})^5 = (18 \cdot \frac{1}{9})^5 = (\frac{18}{9})^5 = 2^5$

Вычисляем значение:

$2^5 = 32$

Ответ: 32


з) $\frac{38^4}{19^4}$

При делении степеней с одинаковым показателем их основания делятся (согласно свойству 5: $\frac{a^n}{b^n} = (\frac{a}{b})^n$):

$\frac{38^4}{19^4} = (\frac{38}{19})^4 = 2^4$

Вычисляем значение:

$2^4 = 16$

Ответ: 16


и) $(\frac{1}{2})^{-2} \cdot 0,2^{-2}$

Используем свойство умножения степеней с одинаковым показателем (свойство 4: $a^n \cdot b^n = (ab)^n$):

$(\frac{1}{2})^{-2} \cdot 0,2^{-2} = (\frac{1}{2} \cdot 0,2)^{-2}$

Представим 0,2 в виде обыкновенной дроби: $0,2 = \frac{2}{10} = \frac{1}{5}$.

$(\frac{1}{2} \cdot \frac{1}{5})^{-2} = (\frac{1}{10})^{-2}$

Используем свойство отрицательной степени для дроби $(\frac{a}{b})^{-n} = (\frac{b}{a})^n$:

$(\frac{1}{10})^{-2} = (\frac{10}{1})^2 = 10^2 = 100$

Ответ: 100


к) $0,7^{-3} : 1,4^{-3}$

Выражение можно записать в виде дроби $\frac{0,7^{-3}}{1,4^{-3}}$. Используем свойство деления степеней с одинаковым показателем (свойство 5: $\frac{a^n}{b^n} = (\frac{a}{b})^n$):

$(\frac{0,7}{1,4})^{-3} = (\frac{7}{14})^{-3} = (\frac{1}{2})^{-3}$

Используем свойство отрицательной степени для дроби $(\frac{a}{b})^{-n} = (\frac{b}{a})^n$:

$(\frac{1}{2})^{-3} = (\frac{2}{1})^3 = 2^3 = 8$

Ответ: 8

Помогло решение? Оставьте отзыв в комментариях ниже.

Присоединяйтесь к Телеграм-группе @gdz_by_belarus

Присоединиться

Мы подготовили для вас ответ c подробным объяснением домашего задания по алгебре за 9 класс, для упражнения номер 1 расположенного на странице 4 к учебнику 2019 года издания для учащихся школ и гимназий.

Теперь на нашем сайте ГДЗ.ТОП вы всегда легко и бесплатно найдёте условие с правильным ответом на вопрос «Как решить ДЗ» и «Как сделать» задание по алгебре к упражнению №1 (с. 4), авторов: Арефьева (Ирина Глебовна), Пирютко (Ольга Николаевна), учебного пособия издательства Народная асвета.