Номер 21, страница 7 - гдз по алгебре 9 класс учебник Арефьева, Пирютко

Алгебра, 9 класс Учебник, авторы: Арефьева Ирина Глебовна, Пирютко Ольга Николаевна, издательство Народная асвета, Минск, 2019, голубого цвета

Авторы: Арефьева И. Г., Пирютко О. Н.

Тип: Учебник

Издательство: Народная асвета

Год издания: 2019 - 2026

Цвет обложки: голубой, синий с графиком

ISBN: 978-985-03-3077-2

Допущено Министерством образования Республики Беларусь

Популярные ГДЗ в 9 классе

Повторение курса алгебры 7—8-х классов - номер 21, страница 7.

№21 (с. 7)
Условие. №21 (с. 7)
скриншот условия
Алгебра, 9 класс Учебник, авторы: Арефьева Ирина Глебовна, Пирютко Ольга Николаевна, издательство Народная асвета, Минск, 2019, голубого цвета, страница 7, номер 21, Условие

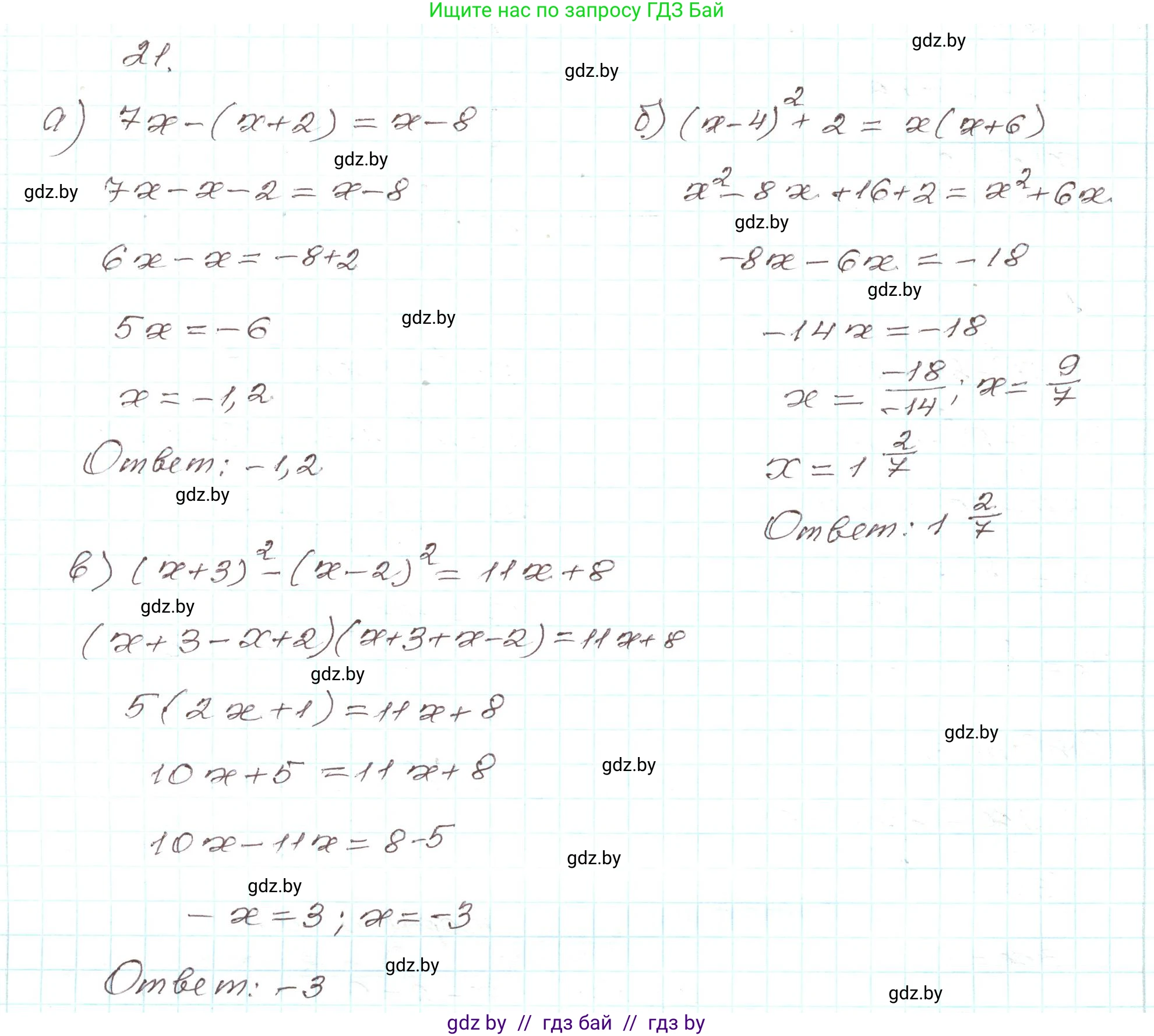
21. Решите уравнение:

а) $7x-(x+2)=x-8$;

б) $(x-4)^2+2=x(x+6)$;

в) $(x+3)^2-(x-2)^2=11x+8.

Решение. №21 (с. 7)
Алгебра, 9 класс Учебник, авторы: Арефьева Ирина Глебовна, Пирютко Ольга Николаевна, издательство Народная асвета, Минск, 2019, голубого цвета, страница 7, номер 21, Решение
Решение 2. №21 (с. 7)

а) Решим уравнение $7x - (x + 2) = x - 8$.

Сначала раскроем скобки в левой части уравнения. Так как перед скобкой стоит знак минус, знаки слагаемых внутри скобок меняются на противоположные:

$7x - x - 2 = x - 8$

Приведем подобные слагаемые в левой части:

$6x - 2 = x - 8$

Теперь перенесем слагаемые с переменной $x$ в левую часть уравнения, а постоянные члены (числа) — в правую. При переносе слагаемого из одной части уравнения в другую его знак меняется на противоположный:

$6x - x = -8 + 2$

Выполним вычисления в обеих частях:

$5x = -6$

Чтобы найти $x$, разделим обе части уравнения на коэффициент при $x$, то есть на 5:

$x = -\frac{6}{5}$

Так как мы получили неправильную дробь, выделим из нее целую часть:

$x = -1\frac{1}{5}$

Ответ: $-1\frac{1}{5}$.

б) Решим уравнение $(x - 4)^2 + 2 = x(x + 6)$.

Раскроем скобки в обеих частях уравнения. В левой части используем формулу квадрата разности $(a - b)^2 = a^2 - 2ab + b^2$, а в правой — распределительный закон умножения:

$(x^2 - 2 \cdot x \cdot 4 + 4^2) + 2 = x \cdot x + x \cdot 6$

$x^2 - 8x + 16 + 2 = x^2 + 6x$

Приведем подобные слагаемые в левой части:

$x^2 - 8x + 18 = x^2 + 6x$

Перенесем все слагаемые в левую часть уравнения, чтобы справа остался ноль:

$x^2 - 8x + 18 - x^2 - 6x = 0$

Приведем подобные слагаемые. Обратите внимание, что $x^2$ и $-x^2$ взаимно уничтожаются:

$(x^2 - x^2) + (-8x - 6x) + 18 = 0$

$-14x + 18 = 0$

Перенесем число 18 в правую часть:

$-14x = -18$

Разделим обе части на -14:

$x = \frac{-18}{-14} = \frac{18}{14}$

Сократим полученную дробь на 2:

$x = \frac{9}{7}$

Выделим целую часть из неправильной дроби:

$x = 1\frac{2}{7}$

Ответ: $1\frac{2}{7}$.

в) Решим уравнение $(x + 3)^2 - (x - 2)^2 = 11x + 8$.

Раскроем скобки в левой части, используя формулы сокращенного умножения: квадрат суммы $(a+b)^2 = a^2+2ab+b^2$ и квадрат разности $(a-b)^2 = a^2-2ab+b^2$.

$(x^2 + 2 \cdot x \cdot 3 + 3^2) - (x^2 - 2 \cdot x \cdot 2 + 2^2) = 11x + 8$

$(x^2 + 6x + 9) - (x^2 - 4x + 4) = 11x + 8$

Теперь раскроем вторые скобки. Знак минус перед ними меняет знаки всех слагаемых внутри:

$x^2 + 6x + 9 - x^2 + 4x - 4 = 11x + 8$

Приведем подобные слагаемые в левой части уравнения:

$(x^2 - x^2) + (6x + 4x) + (9 - 4) = 11x + 8$

$10x + 5 = 11x + 8$

Перенесем слагаемые с $x$ в правую часть, а числа — в левую:

$5 - 8 = 11x - 10x$

Выполним вычисления:

$-3 = x$

Ответ: $-3$.

Помогло решение? Оставьте отзыв в комментариях ниже.

Присоединяйтесь к Телеграм-группе @gdz_by_belarus

Присоединиться

Мы подготовили для вас ответ c подробным объяснением домашего задания по алгебре за 9 класс, для упражнения номер 21 расположенного на странице 7 к учебнику 2019 года издания для учащихся школ и гимназий.

Теперь на нашем сайте ГДЗ.ТОП вы всегда легко и бесплатно найдёте условие с правильным ответом на вопрос «Как решить ДЗ» и «Как сделать» задание по алгебре к упражнению №21 (с. 7), авторов: Арефьева (Ирина Глебовна), Пирютко (Ольга Николаевна), учебного пособия издательства Народная асвета.